Dynamic compression behavior of rock and simulation of damage effects of hypervelocity kinetic energy bomb
-
摘要: 目前正在研制的超高速动能武器对地打击速度达(5~15)马赫左右, 具有侵彻机理独特, 毁伤效应倍增的特点, 现有理论难以准确描述。本文系统总结了侵爆近区岩石介质的动态可压缩性行为, 发现(5~15)马赫超高速弹侵彻近区岩石介质介于流体和固体弹塑性之间的内摩擦侧限压力状态, 创新提出流体弹塑性内摩擦侵彻理论模型, 填补了低应力弹塑区到高应力流体区之间的应力状态表征空区, 首次获得随弹体侵速变化的弹靶相互作用全过程阻抗演变公式, 界定了钻地弹固体侵彻、拟流体侵彻和流体侵彻的最小动能阈值, 系统提出了超高速动能弹打击侵深、成坑及地冲击安全厚度的计算方法。通过弹体侵速1 100~4 200 m/s的(超)高速侵彻实验, 验证了理论计算公式的准确性。Abstract: The hypervelocity kinetic energy weapon that strikes the ground at the speed from 5 Mach to 15 Mach has some unique characteristics of penetration mechanism and damage effects, which cannot be accurately described by ths existing theories.In this paper, the dynamic compressibility behavior of rock, penetration and explosion effects in the near zone is systematically summarized.It is found that the actual stress in the rock impacted under velocity of 5 Mach to 15 Mach is between fluid state and elasto-plasticity state.A theoretical model of hydro-elastoplastic-frictional penetration model is proposed, which fills the gap of stress state between elastic-plastic state and hydro-dynamic state.For the first time, the impedance formula is obtained, which can describe the stress state of whole interaction process between target and projectile.The minimum kinetic energy threshold of solid penetration, pseudofluid penetration and fluid penetration is defined.The methods for calculating hypervelocity impact effects including penetration depth, crater radius and the safety thickness of protective layer are proposed in the paper.In addition, the accuracy of the theoretical formula is verified by a series of penetration tests with the impact speed from 1 100 m/s to 4 200 m/s.
-
岩石中爆炸、侵彻以及超高速撞击等强动载效应均与冲击波的传播和介质的压缩与破坏等复杂现象相关[1-2]。冲击压缩非等熵过程可能足以导致介质的破坏、熔化、汽化、以及能量的辐射输运效应。因此, 岩石在不同加载水平和不同加载速率下的动态压缩行为, 无论对地下核爆炸工程效应和钻地武器效应与工程防护, 还是地球物理和天体物理等相关问题研究, 均具有极其重要的理论与实际价值。
地下爆炸实验表明[3-4]:在坚硬岩石中(这里的坚硬岩石是指具有纵波速度cP≈6 000 m/s, 剪切波速cS≈3 500 m/s和体积密度ρ≈2 500~2 800 kg/m3的岩石), 正常装填密度的标准炸药爆炸时, 波的传播具有如下特征:
(1) 在爆炸空腔附近(约2RZ, RZ为装药半径), 波阵面升压时间tr/t+ <0.05(tr为升压时间, t+为正压时间), 波阵面压力约为37 GPa, 波阵面传播速度约为8.2 km/s, 波具有冲击波特征, 波的压力衰减指数约为n≈2.5(球对称应力的峰值按幂函数规律衰减:σr, max∝r-n);
(2) 当波传播至(2~3)RZ~(100~120)RZ距离处, 波阵面升压时间tr/t+≈0.05~0.2, 波阵面压力降至约5~20 GPa, 波阵面传播速度降至接近纵波速度, 波具有“短波”和“弱波”特征, 波的压力衰减指数n≈1.4~1.8;
(3) 当波传播至(100~120)RZ以外的区域时, 波阵面升压时间tr/t+>0.2, 波阵面压力降至约5 GPa以下, 波阵面传播速度为纵波速度, 波具有固体中的弹塑性波特征, 波的压力衰减指数n≈1.1~1.2。
超高速撞击实验展示了相似的规律[5]:在速度vj≈10 km/s的弹体的撞击下, 弹体和岩石靶体之间形成峰值压力50 GPa以上的冲击波并向地下传播(见图 1), 波的传播规律如图 2所示, 在50 GPa以上的强冲击区, 波的压力衰减指数约为3.6, 在5~20 GPa的过渡压力范围内衰减指数约为1.4~1.8, 在小变形弹塑性变形区衰减指数约为1.1~1.2。
目前, 尚没有一种理论能完整地描述爆炸或超高速撞击问题中从近区至远区应力状态的全过程演变。例如, 对于侵彻计算理论, 大致可以分为弹塑性的空腔膨胀理论[6-7]和流体动力学的聚能射流理论[8-10]等。实验研究表明[1-2], 流体动力学模型适用于非常高的压力区(30 GPa以上, 对应侵彻速度大致在5 000 m/s以上), 此时岩石在动载作用下的行为接近于流体动力行为, 空腔膨胀模型则被证明对于动态应力幅值超过弹性限不多的情况是适用的。在中间过渡区域(5~20 GPa, 对应侵彻速度大致在1 700~5 000 m/s范围内)岩石行为的描述问题仍然是一个没有解决的问题。在该压力范围内岩石从弹性状态转到塑性状态, 甚至转到流体动力学状态。Shemyakin [3, 11-12]研究指出在爆炸作用近区岩石行为由弹性状态向塑性状态转变时, 不是转向理想的塑性状态, 而是转向显著增强的塑性状态, 这种增强的本质在于受限内摩擦。这个问题的实质是把在动力学中所采用的从弹性压缩状态过渡到流体状态的假定用更符合实际的模型来代替, 以便更好地描述在动载作用下在弹性限以外物体的动力行为。
目前正在研制的超高速动能武器对地打击速度达(5~15)马赫左右[13-15], 正处于由低应力弹塑性区至高应力流体区的过渡区范围。因此, 在建立侵彻物理力学模型时, 势必需要界定所建立计算方法的适用性范围问题以及这些范围与弹靶物理力学参数间的依赖程度的问题。本文以内摩擦理论为基础, 系统研究侵爆近区岩石动态可压缩性行为, 尝试建立超高速动能弹对地打击毁伤效应的侵深、成坑及地冲击安全厚度等设计计算方法。
1. 岩石冲击压缩行为
1.1 冲击绝热曲线及实验方法
为了解决岩石中爆炸、侵彻以及超高速撞击问题, 必须通过实验确定物质的可压缩性方程和物态方程。由于冲击波加载的持续时间非常短, 尤其对于近区强冲击波, 衰减快、距离短, 所以需要寻找新的测量方法, 以便能在高速过程条件下测量各种物理参量, 并要同时建造一些仪器。
目前已有大量的文献论述借助于爆炸或冲击加载对于固体进行动力实验的方法, 利用霍普金森杆可以实现GPa量级的中应变率(102~103 s-1)的冲击压缩加载[16], 而借助于轻气炮的飞片撞击实验(飞行速度达到几千米每秒的板的撞击)或者通过置于所研究材料的物体表面上炸药的爆炸, 则可得到压力高达103 GPa范围内的(超)高应变率的固体压缩实验资料[17-18], 以及在此基础上计算的固体状态方程。
在借助冲击波进行的固体动力实验中, 通常会得到对应于平面波的压力状态。应力和应变状态主要根据主应力σ1和σ2=σ3以及体积应变ε(ε=ε1, ε2=ε3=0)来确定, 在实验中通过测量冲击波的传播速度D和粒子的位移速度v, 然后应力σ1和应变ε借助于朗肯-雨贡纽(质量和动量守恒)方程来确定[11, 17-18]:
σ1−σ10=ρ0(D−v0)(v−v0),ε=v−v0D−v0,ε=ρ0ρ−1 (1) 式中:下标0表示冲击波阵面前的量值, 在岩石介质中, 即使是很弱的冲击波, 其峰值压力也要达到GPa量级, 因而初始压力基本可以忽略。
当物体具有接近液体的力学行为时, 可以认为σ1=σ2=σ3=p, 但对于固体介质, 在通过公式(1)确定物质的动态压缩曲线p(ε)时, 需要考虑介质的强度:
σ1−σ2=2τs,p=σ1+2σ23 (2) 从式(2)可得:
σ1p=1+43τsp,σ2σ1=1−2τsσ1 (3) 式中:τs为剪切强度, 对于理想塑性介质τs为常数, 例如[18]工业纯铁的τs≈0.375 GPa, 对于岩石, 随着压力的增加, τs也逐渐增加并最终趋近极限τp, 一般对于花岗岩[19], τp≈0.97~1.19 GPa, 这样当σ1=20 GPa时, 平均应力p与σ1的差别约为7%, 当σ1=30 GPa时, 平均应力p与σ1的差别约为5%, 当σ1=50 GPa, p与σ1的差别约为2%。
在确定固体的冲击绝热曲线时, 通常忽略其强度, 采用适用于液体的关系式[17-18]:
p−p0=p0Dv,ε=ρ0ρ−1=vD (4) 这在较强冲击波(σ1≥30 GPa)情况下是正确的。
D=a+bv (5) 但当冲击波压力低于30 GPa时, 则不能忽略固体属性材料强度的影响。在以实验中得到的σ1(ε)曲线作为岩石动态可压缩性研究的基础时, 须对依赖关系补以动力关系p(ε)(p=σ1+σ2+σ3/3), 那么就可以在固体的平面压缩实验中确定固体进入流体动力学状态的变形ε的大小。到目前为止, 关于固体从弹性(或非线性弹性)状态过渡到力学流动状态的判断基本都是建立在σ1-σ2=2τs准则基础之上的(τs≈τp=const)[11], 该式与体积压缩定律p=p(ε)构成了固体动力压缩的全部描述, 如果对体积压缩定律取最简单的形式p=Kε(K=const为体积压缩模量, 按照文献[11, 17]的实验数据, 可以在直到几个GPa的范围内取这一关系式), 则在对称的条件下(σ2=σ3)得到下列关系:
σ1=Kε+43τs,dσ1dε=K (6) 这样可以在平面压缩曲线σ1(ε)上寻找对应式(6)斜率的ε值, 并让与这一变形值相应的应力σ1作为动力流限。文献[11]指出该方法确定的动力流限比其他方法得到的值大5~10倍。
1.2 岩石动态压缩加载的实验结论
在目前已有的坚硬岩石(辉绿岩、石灰岩、花岗岩、大理石)中应力和质点速度测量数据的基础上[1, 3, 11-12, 19], 可以发现如下特点:
(1) 相对较低加载速率(约101~102 s-1)对岩石强度的影响要比“中高速”加载速率(大于103 s-1以上)强的多[9]; 随着加载速度的增加, 惯性力的影响也在增强, 岩石强度的应变率效应并不明显(见图 3), 增强的本质在于受限内摩擦;
(2) 应力幅值超过30~50 GPa的波, 可以认为是冲击波, 此时固体在动力载作用下的行为接近于流体动力学状态[11](材料强度的影响可以忽略, 应力张量退化为标量);
(3) 具有应力幅值5~20 GPa的波可以认为是弱波[1, 3, 11-12](将压力远远小于介质的体积压缩模量的波称为弱波), 在这一压力范围内, 岩石处于从弹性状态到流体动力学状态的过渡区域, 弱波在固体中以接近弹性纵波的传播速度传播(D≈cP);
(4) 文献[1, 3, 11-12]指出, 坚硬岩石中压力过渡区5~20 GPa传播的冲击波接近短波, 其与高应力流体区的冲击波或低应力弹塑性区的弹塑性波的差别在于侧向变形:在冲击波中有应变ε=ε1, ε2=ε3=0;在短应力波中有ε1»ε2=ε3≠0;在低应力弹塑性波中则有ε1+ε2+ε3=p/3K, p«K;
(5) 实验证明[1, 3, 11-12], 对短波和弱波其各向压缩与体积变形的关系可认为是弱非性形关系:
p=Kε(1+lε) (7) 式中:lε«1, l=l(p), 当l=0时, 对应弹性的体积应变关系, 当l≈1时对应弱的非线性关系。
(6) 在工程实践中, 数量级数5~20 GPa的压力范围具有重要的意义。对应于这一压力范围的有采矿和土木工程建设中的实际爆破工作、弹体撞击岩土体等, 这一压力范围对应于大约1 000 km深度范围内地球岩体压力的变化。
1.3 岩石动态压缩内摩擦机理
为了描述在冲击波压缩下固体的可能状态, 研究由密集排列且相互间胶结的“小球”组成的固体模型。在岩石中单个的晶粒或者岩石块体可以充当“小球”的角色。在压缩状态时, 既可以发生这些“小球”的体积变形, 也可以发生它们之间的相互滑移, 这时“小球”之间的联系被破坏, 出现了摩擦。
众所周知, 在应变率加载情况下, 材料的强度特性等要比准静态加载情形下要增强很多, 这可以归结为横向惯性约束, 即对于冲击波压缩的固体, 要采用受限压缩的模型。首先研究这样的介质的单轴压缩, 试样为柱状, 周围是刚性壁, 柱体的轴向应力为σ1, 而径向及环向的应力为σ2=σ3, 因此我们有ε1=ε=γ(ε1为轴向应变、ε为体积应变, γ为剪切应变)。在压缩时根据施加的外力的增加会出现如下几种情况:
(1) 弹性状态, 这种情况下粒子间的内聚力没有被破坏, 介质的晶粒“小球”之间发生压缩而产生弹性变形, 此时应力σ1及σ2由胡克定律确定:
σ2σ1=α∗=α0=ν1−ν (8) 式中:ν为泊松比, α*为侧压力系数。
(2) 松散介质状态(内摩擦状态), 当外力增大至σ1-σ2=2τe(τe为弹性极限)时, 粒子间的内聚力被破坏, 但是摩擦力不应该忽略, 此时
σ2σ1=α∗<1 (9) 式中:α*的值与摩擦角有关: α∗=1−sinφ1+sinφ, φ为内摩擦角, 随着压力的增加, φ值也在减小, 造成摩擦因数的减小。
(3) 流体动力学状态, 这种情况下粒子之间的摩擦可以忽略不计, 此时有如下关系:
σ1−σ2=2τs (10) 由于σ1»τs, 因此
σ2σ1=α∗=1−2τsσ1→1 (11) 形象地讲, 在压力升高时固体的单元从弹性状态经过松散介质状态(具有内摩擦的介质状态)转入到流体动力学状态。在α*=ν/(1-ν)时会发生从弹性状态到具有内摩擦状态的转变; 在α*→1时摩擦因数减小, 而α*=1(φ=0)对应于流体动力学状态。
在不同的加载状态, 固体具有不同的声速, 具有内摩擦的应力状态下, 介质声速为:
cP=√3Kρ(1+2α∗) (12) 当α*=ν/(1-ν)时, 有cP=ce=√Eeff/ρ=√(K+4G/3)/ρ, 这里ce为受限变形介质中弹性纵波的传播速度, 其中Eeff=K+4G/3为侧限弹性模量, G为剪切模量; 当α*=1时, 有cP=c0=√K/ρ, 这里c0为流体动力学声速。显而易见, 在声速值中反映出了固体抵抗压缩和剪切的能力。
如果在冲击压缩范围内取平均应力和平均应变的关系如公式(7)所示, 由于:
p=σ1+σ2+σ33=1+2α∗3σ1 (13) τ=σ1−σ22=1−α∗2σ1 (14) 将公式(13)代入公式(7)可以得到σ1(ε)关系:
σ1=3K1+2α∗ε(1+lε) (15) 岩石由内摩擦状态转变为塑性流动状态的边界由广义Mises屈服条件σ1-σ2=2τs来确定, 如果用形式τs=τs(p)的塑性条件代替τs=const, 就有引入摩擦力学模型的含义, 强动载下τs与静水压力p的典型关系为[20]:
ˉτs=μsˉp1+μsˉp (16) 式中: ˉτs=τs−τ0τp−τ0,ˉp=pτp−τ0,τp为介质材料达到脆塑性转换时的极限强度, 表 1中给出了不同岩石极限抗剪强度参考值。τ0为介质黏结强度, μs为介质摩擦因数。
图 4给出了如公式(16)所示的具有双曲线特征的Mohr圆包络线, 随着滑移面上法向应力(压应力)的提高, τs将变得越来越平缓直至达到极限变成水平线, 即介质不再抵抗切变的继续增大。图 4中A、B、C表征了岩体变形的三个特征点, A点时晶粒间的粘聚力破坏, B点对应内摩擦状态, C点对应流体动力学状态。
2. 流体弹塑性内摩擦侵彻理论
2.1 侵彻阻抗函数
侵彻阻抗是弹靶相互作用的函数, 侵彻阻抗函数与侵彻近区岩石的动态可压缩应力状态本质相关。体积压缩关系式(7), 本构关系(8)~(10), 强度准则(16)共同与介质守恒方程构成了流体弹塑性理论完备方程组。如果取参数τe=0.3 GPa、τ0=0.2 GPa、τp=1.5 GPa、ν=0.3、K=60 GPa、l=1为例进行计算, 可得到α*、p、σ1、τ随ε变化的曲线, 如图 5所示(由于内摩擦阶段没有准确的α*计算公式, 计算过程中, 内摩擦区域的α*采用了公式α*=f(p)=ap3+b的形式进行拟合, a、b的取值根据内摩擦区域的边界条件确定, b=0.428, a=1.9×10-3)。
从图 5可以看出, 随着体积压缩应变的增加, 爆炸或者侵彻作用近区岩石行为由弹性状态经过具有内摩擦的介质状态转入到显著增强的塑性流动状态。在塑性状态起始阶段, 岩石虽达到塑性屈服状态(σ1-σ2=2τs), 但随着体积应变(或压力)的增加, 由于受限内摩擦作用, 其强度仍在显著增强, α*也在提高(图 5(a)), 但随着应变进一步提高, α*将变得越来越平缓直至无限接近于1, 以α*接近于1的程度, 可将塑性流动状态区分为拟流体过渡区域(α*≤0.8)和流体动力学区域(α*>0.8)。在拟流体过渡区域, 岩石体积压缩关系的弱非线性开始显现(图 5(b)中p=Kε(1+lε)开始偏离线性关系), 其平面压缩曲线σ1(ε)上对应式(6)的斜率也逐步减小(图 5(c)), 在流体动力学区域, 其值接近于K, 这也说明了为什么利用公式(6)确定的动力流限比其他方法(一般情况下利用由广义Mises屈服条件σ1-σ2=2τs判断进入流限)得到的值大5~10倍的原因。在流体动力学区域, 岩石的强度τs接近τp(图 5(d))。
利用前述流体弹塑性理论完备方程组, 可以建立涵盖弹塑性—内摩擦拟流体和流体动力压力的(超)高速侵彻阻抗函数。对于动能武器的(超)高速撞击, 侵彻近区岩石受到剧烈压缩, 在岩石材料达到其极限强度τs前, 其体积应变关系为线弹性体积压缩关系, 即l=0, 考虑到在较为宽广的范围内D≈cP以及公式(1), 可以给出:
ε=v/D≈v/cP (17) 将其代入体积压缩关系式(7), 得到压力与变形的关系(弹体撞击岩石的侵彻阻抗函数):
p=Kε=ρcPc20c2Pv=ρcPκv (18) 式中: κ=c20c2P=1+2α∗3。
因受限内摩擦一维应变条件, 在介质材料达到τp时其屈服极限应变ε≈γmax= τpG, 将其代入公式(18)得到岩体达到动力流动状态时的极限压力:
p=H=KGτp=2(1+ν)3(1−2ν)τp (19) 式中:H可称为动力硬度, 通常对坚硬岩石, 泊松比ν=0.25~0.35, H=(1.67~3.0)τp。
当岩石压力p接近或超过动力硬度H时, 其体积应变关系为弱的非线性关系, 即l=l(p)≠0, 若l=1, 将其代入公式(7), 得到达到动力屈服极限后压力与变形的关系:
p=H+121+2α∗3Kε2=H+κ2ρv2 (20) 式中: κ=1+2α∗3, 可见, 在压力增加时岩石从弹性状态经过内摩擦状态转入到流体动力学状态, κ=1, φ→0对应流体动力状态。
2.2 超高速侵彻速度界定
利用公式(20)的极限关系来考察弹体侵彻的流体力学模型, Alekseevskii[22]和Tate[23-24]提出描述细长弹体高速侵彻的一维模型:
12ρj(vj−v)2+Yj=H+12ρtv2 (21) 式中:ρj和ρt分别为弹体和靶体的密度, v为弹靶接触点的运动速度, vj为弹体撞击速度, Yj为弹体的动态硬度。
当撞击速度很高导致碰弹靶接触点产生的压力远远超过弹靶的强度时, 可以忽略弹靶的强度, 最终得到流体力学模型的最终侵彻深度:
hL=vvj−v=λ,λ=√ρj/ρt (22) 式中:h为侵彻深度, L为射流长度。
当侵彻速度很高、弹靶交界面处于理想流体状态时, 流体力学模型相当好地描述了聚能射流在障碍物中的侵彻过程, 但当射流速度降低时, 就开始与实验情况存在明显的偏差, 为了得到靶体相对侵速转入流体动力学状态的最小弹体侵彻速度(动能)阈值, 忽略靶体强度影响, 给出修正的流体动力学模型:
12ρj(vj−v)2=H+κ2ρtv2 (23) 若令α=v√v2+c2,c=√2Hρt, 利用公式(23)的极限形式κ=1得到:
12ρj(vj−v)2=H+12ρtv2,v=αλ(vj−v) (24) 可见, 在H→0或v→∞的情况下, α→1, 则公式(24)变成适用于理想液体的关系式。由此可以利用α来度量流体动力学模型偏离程度, 定量得到靶体相对侵速转入流体状态的最小动能相对阈值。
由公式(24)可得:
vc=α√1−α2=Ma∗,vjc=1+λαλ√1−α2=Ma (25) 式中:Ma*=v/c, Ma=vj/c均为广义的马赫数。
根据式(25)第一个方程可知α=0.7时, v≈c, c通常称为某种侵彻临界速度, 与靶体中弹性纵波速度ce或流体动力学声速c0存在确定关系:
cce=√2HK+43G,cc0=√2HK (26) 由公式(25)可知, vjv=MaM∗a=1+1λα, 通常情况下λ=√ρj/ρt≈2.5, Ma/Ma*≈1.5, 图 6给出了Ma*=v/c与p/H、τ/H关系曲线, 可见随着Ma*的增加, p/H偏离非线性更加显著, τ/H则逐渐接近τp/H, 图 7则给出了Ma*=v/c与α的关系曲线, 随着Ma*的增加, α逐渐趋近于1, 考虑到图 6中p/H曲线偏离线性程度和τ/H接近τp/H的程度, 以及图 7中α趋近于1的程度, 可以区分原则上不同的力学现象, 将撞击速度大致分为三个区间:
(1) Ma*≤1.0(Ma≤1.5, α≤0.7)为弹塑性固体侵彻区间, 在此区间, 撞击近区介质的压缩变形在弹性范围内(l=0), 岩石介质的动态变形可以采用线弹性内摩擦压缩模型, 作用在弹体头部表面上的阻抗F(或法向应力σr)为:
F=σr=43τs+κρtcpv (27) (2) 1.0≤Ma*≤3.0(或1.5≤Ma≤4.5, 0.7≤α≤0.95)为内摩擦拟流体侵彻区间, 在此区间介质处于内摩擦向流体状态转变区, 介质压缩曲线呈现弱非线性, 可以采用修正的流体动力模型, 作用在弹体头部表面上的阻抗F为:
F=σr=H+κ2ρtv2 (28) (3) Ma*≥3.0(Ma>4.5, α>0.95)为超高速流体动力学侵彻区间, 采用流体动力学的聚能射流模型, 作用在弹体头部表面上的阻抗F为:
F=σr=H+ρtv2/2 (29) 2.3 超高速侵深计算方法
2.3.1 固体侵彻
在弹体侵彻速度较小时, 可将弹体假设为刚体, 则弹体垂直侵彻的运动方程和初始条件为[1, 25]:
{m_{\rm{j}}}\ddot h = - {\rm{ \mathsf{ π} }}r_0^2F,\;\;\;\;h\left| {_{t = 0}} \right. = 0,\;\;\;\;\dot h\left| {_{t = 0}} \right. = {v_{{\rm{j0}}}} (30) 式中:mj、F、vj0分别为弹体初始质量、弹体阻抗和弹体初始速度, r0为弹体直径, h为某时刻侵深。
引入固体侵彻阻抗函数公式(27)积分得到刚性弹固体侵彻深度计算公式:
h = \frac{{{m_{\rm{j}}}}}{{{\rm{ \mathsf{ π} }}r_0^2{\beta _{\rm{s}}}}}\left[ {{v_{{\rm{j0}}}} - \frac{{{\alpha _{\rm{s}}}}}{{{\beta _{\rm{s}}}}}\ln \left( {1 + \frac{{{\beta _{\rm{s}}}}}{{{\alpha _{\rm{s}}}}}{v_{{\rm{j0}}}}} \right)} \right] (31) 式中:αs=4τs/3, βs=κ ρtcP, 该公式具有同Bernard公式[1]相同的形式, 应当注意的是, 此处采用的是简单的平面压缩模型, 对于实际弹体侵彻, 还应当考虑弹头的形状计算作用在弹体表面的实际压力, 这会造成αs、βs实际参数的不同, 限于篇幅此处不考虑弹头形状的影响。
计算表明, 当vj0/cP≥0.1时, 公式(31)中对数项(阻抗函数公式(27)中强度项4τs/3)的影响小于5%, 侵彻阻抗主要由速度项决定, 因此公式(31)可简化成:
h = \frac{{{m_{\rm{j}}}}}{{{\rm{ \mathsf{ π} }}r_0^2{\beta _{\rm{s}}}}}{v_{{\rm{j0}}}} (32) 公式(32)从理论上说明了对于某一侵彻速度范围基本呈线性关系。
若随着弹体侵彻速度的增加, 在超过临界速度vcr出现弹体质量一定的磨蚀, 侵彻的深度随速度增加反而减小。文献[26-27]根据实验建议了下列弹体侵蚀函数:
m = \left\{ \begin{array}{l} {m_{\rm{j}}}\exp {\alpha _{\rm{e}}}\left( {\frac{{{v_{\rm{j}}} - {v_{{\rm{j0}}}}}}{{{v_{{\rm{cr}}}}}}} \right)\;\;\;\;\;\;\;\;{v_{\rm{j}}} \ge {v_{{\rm{cr}}}}\\ {m_{\rm{j}}}\exp {\alpha _{\rm{e}}}\left( {\frac{{{v_{{\rm{cr}}}} - {v_{{\rm{j0}}}}}}{{{v_{{\rm{cr}}}}}}} \right)\;\;\;\;\;\;\;{v_{\rm{j}}} < {v_{{\rm{cr}}}} \end{array} \right. (33) 式中:αe为无量纲参数, 可根据实验确定。则弹体的运动方程和阻抗函数可以写成:
m\frac{{{\rm{d}}{h^2}}}{{{\rm{d}}{t^2}}} = - {\rm{ \mathsf{ π} }}r_0^2F,\;\;\;\;F = \kappa {\rho _{\rm{t}}}{c_{\rm{P}}}v (34) 积分得到弹体侵深的解析表达式:
h = \left\{ \begin{array}{l} {\lambda _{\rm{j}}}\frac{{{m_{\rm{j}}}}}{{{\rm{ \mathsf{ π} }}r_0^2{\beta _0}}}{v_{{\rm{j0}}}}\;\;\;\;\;\;\;\;\;\;{v_{{\rm{j0}}}} \ge {v_{{\rm{cr}}}}\\ \frac{{{m_{\rm{j}}}}}{{{\rm{ \mathsf{ π} }}r_0^2{\beta _0}}}{v_{{\rm{j0}}}}\;\;\;\;\;\;\;\;\;\;\;\;\;\;{v_{{\rm{j0}}}} < {v_{{\rm{cr}}}} \end{array} \right. (35) 式中: {\lambda _{\rm{j}}} = \left\{ {1- {\rm{exp}}\left[{{\alpha _{\rm{e}}}\left( {1-{M_a}\frac{c}{{{v_{{\rm{cr}}}}}}} \right)} \right] + {\alpha _{\rm{e}}}{\rm{exp}}\left[{{\alpha _{\rm{e}}}\left( {1-{M_a}\frac{c}{{{v_{{\rm{cr}}}}}}} \right)} \right]} \right\}为质量磨蚀系数。
2.3.2 拟流体侵彻
随着弹体速度增加, 当弹速vj0/c≥1.5时, 进入拟流体侵彻阶段。在运用公式(28)研究超高速侵深问题中, 物理上是以内摩擦角φ=φ(v)变化表征弹靶状态从半流体至流体变化影响。由公式(27)可知, 以Ma≈1.5, α*=ν/1-ν作为从弹性状态到内摩擦状态的下边界, 以Ma≈4.5, α→0.95接近流体动力时, κ=1作为拟流体状态的上边界。在1.5 < Ma < 4.5区间, 由于实际缺乏φ(v)的具体函数, 可按Boltzmann函数给出κ随弹速变化的关系, Boltzmann函数的系数可根据上下限定出[25]:
\kappa = \left\{ \begin{array}{l} {\kappa _0}\;\;\;\;\;\;\;\;\;\;\;\;\;\;\;\;\;\;\;\;\;\;\;\;\;\;\;\;\;\;\;\;\;\;\;\;\;\;\;\;\;\;\;\;\;\;\;\;\;\;\;\;\;\;\;{M_a} \le 4.5\\ \frac{{2{\kappa _0} - 1 + {{\rm{e}}^{{{M'}_a}}}}}{{1 + {{\rm{e}}^{{{M'}_a}}}}},\;\;\;\;\;{{M'}_a} = \left( {\frac{{{M_a} - 1.5}}{{0.5}}} \right)\;\;\;\;\;\;\;\;\;\;1.5 < {M_a} < 4.5\\ 1\;\;\;\;\;\;\;\;\;\;\;\;\;\;\;\;\;\;\;\;\;\;\;\;\;\;\;\;\;\;\;\;\;\;\;\;\;\;\;\;\;\;\;\;\;\;\;\;\;\;\;\;\;\;\;\;\;\;{M_a} \ge 4.5 \end{array} \right. (36) 式中: {\kappa _0} = \frac{1}{3}\left( {\frac{{1 + \nu }}{{1-\nu }}} \right)。
因此, 利用公式(36)对公式(21)右项修正可得在定常状态下侵彻深度为:
\frac{h}{L} = \lambda \left( {\frac{{\lambda - \theta }}{{\lambda \theta - \kappa }}} \right) (37) 式中: \theta = \sqrt {\kappa + \frac{1}{{M_a^2}}\left( {1 - \frac{\kappa }{{{\lambda ^2}}}} \right)} , 显然, 随着Ma的增大, \theta \to \sqrt \kappa , 于是式(37)可以简化为:
\frac{h}{L} = \frac{\lambda }{{\sqrt \kappa }} (38) 若κ→1, 得到理想流体动力模型结果\frac{h}{L} = \lambda 。
2.4 超高速成坑范围计算方法
在Ma>1.5侵彻范围, 动能弹侵彻岩石介质的成坑大小(粉碎区和径向裂纹大小与侵彻深度)及形状直接影响弹丸动能辐射至岩石中地冲击的能量效率。
2.4.1 瞬时成坑范围计算
L.I.Slepyan[9]采用如图 8所示的模型研究了超高速弹体打击岩石的瞬时成坑范围, 图 8中Ⅰ为拟流体区, 该区域的破碎岩石可以视为无黏性不可压缩理想流体; Ⅱ为裂纹区, 该区域内的质点位移很小; Ⅲ为弹性区, 仍旧保持着岩石的初始物理力学特征。并作如下假设:(1)区域Ⅰ和Ⅱ的边界是由岩石类材料的动力硬度H控制, 当介质内的压力p≤H时介质处于区域Ⅱ和Ⅲ中的裂纹和弹性状态, p=H正是拟流体区与裂纹区的边界, 并且随着弹体的侵彻, 该边界不断沿着x轴移动。(2)弹体运动是在流体介质分流过程中进行的, 并且流体是有势的。以弹体为参考点, 裂纹发生的边界是以恒定速度前进的, 这是由裂纹边界压力恒值与裂纹区介质的固定不动所决定的。(3)边界Γ是无限延伸的, 尽管不能得到边界Γ的具体形状, 但是可以得到其半径R0, 也就是破碎区的半径。因此, 上述问题转化为拟流体破碎介质在Ⅰ为边界的管道中遇到弹体阻碍时的流动问题。
下面是在Slepyan提出的模型基础上, 通过对模型中流体项的修正, 得到区域Ⅰ内的伯努利方程和连续方程为:
\frac{\kappa }{2}{\rho _{\rm{t}}}{v^2} + H = \frac{\kappa }{2}{\rho _{\rm{t}}}v_\infty ^2,\;\;\;\;{\vartheta _0}\left( {R_0^2 - r_0^2} \right){v_\infty } = R_0^2v (39) 式中:v∞为向后喷射射流的速度极限, 对应于p=0的情况; {\vartheta _0} = \frac{{R_0^2-{r^2}}}{{R_0^2-r_0^2}}为破碎介质喷射的压缩射流系数, 表征了介质向后喷射过程中粒子速度的变化情况。
由式(39)得到:
{R_0} = {r_0}\sqrt {\frac{{{\vartheta _0}\delta }}{{{\vartheta _0}\delta - 1}}} ,\;\;\;\;\delta = \sqrt {1 + \frac{1}{K}{{\left( {\frac{1}{{{M_a}}}} \right)}^2}} ,\;\;\;\;{M_a} = \frac{{{v_{j0}}}}{c} (40) 公式(40)中射流系数的计算可借助Gurevich[28]的研究结果。对于弹体侵彻这类圆锥体的轴对称问题求解极其复杂, 但是实验与数值分析表明, 平面问题与轴对称问题的压缩射流系数基本相等, 可以将等效楔形体所致的压缩射流系数视为相应圆锥体的压缩射流系数。平面问题压缩射流的系数由下列公式确定:
{\vartheta _0} = \frac{{{\zeta ^x}}}{{1 - \frac{{{\zeta ^x}\sin {\rm{ \mathsf{ π} }}x}}{{\rm{ \mathsf{ π} }}}\int_0^1 {\left( {\frac{1}{{\xi + \zeta }} + \frac{\zeta }{{\xi \zeta + 1}} - \frac{2}{{\xi + 1}}} \right)\frac{{{\rm{d}}\xi }}{{{\xi ^x}}}} }} (41) 式中: {\zeta ^x} = \frac{{{M_a}}}{{\sqrt {1 + M_a^2} }}, x = \frac{{{\alpha _\theta }}}{{\rm{ \mathsf{ π} }}}, {\alpha _\theta }为楔块顶端的半角(0 < αθ≤π/2)。
2.4.2 成坑径向裂纹区半径计算
地下或表面接触爆炸研究表明[29], 辐射至地下爆炸地震波能量与形成空腔或成坑裂纹区的边界大小密切相关, 即与爆心至裂纹区构成的体积相关。因此, 无论是确定超高速动能弹对地撞击形成地冲击能量效率, 还是为防护工程设计找到等效计算方法, 均还需确定成坑径向裂纹区半径Rc的大小。
如图 8所示, 设超高速粉碎区Ⅰ(流体)半径为R0, 其边界压力为p=H, 介质的参数:杨氏模量E, Lamb系数为λ, μ(μ=G), 比表面能γ, 断裂韧度为Kc。根据文献[30]可得裂纹区内表面位移u(R0)为:
u\left( {{R_0}} \right) = \frac{{p{R_0}}}{{\left( {3\lambda + 2\mu } \right)b}}\left[ {\frac{1}{{1 - d}}\left( {\frac{{3\lambda + 2\mu }}{{4\mu }} + d} \right) + \frac{{\lambda + \mu }}{\mu }\left( {b - 1} \right)} \right] (42) 式中: d = \frac{{R_c^3}}{{{R^3}}}, b = \frac{{{R_{\rm{c}}}}}{{{R_0}}}。
根据裂纹增长需要的能量与外力功之间的关系:
\frac{1}{2} \times 4{\rm{ \mathsf{ π} }}R_0^2p\frac{{\partial u\left( {{R_0}} \right)}}{{\partial {R_{\rm{c}}}}} = 2\gamma n{R_{\rm{c}}} (43) 化简式(43)可得:
\frac{{2{\rm{ \mathsf{ π} }}}}{n}\frac{{{p^2}{R_0}}}{E}\frac{1}{{{b^3}}}{\left[ {\frac{{2d + 1}}{{2\left( {1 - d} \right)}}} \right]^2} = 2\gamma (44) 根据裂纹稳定条件, 对式(44)求导解得:
d = \frac{{\sqrt {33} - 5}}{4} \approx 0.187,\;\;\;\;\;\frac{{{R_{\rm{c}}}}}{R} \approx 0.571 考虑到本问题为轴对称问题, 且假定ν=1/3, n=6π, 将上述值代入式(44)得:
\frac{{{R_{\rm{c}}}}}{{{R_{\rm{0}}}}} = {\left[ {\frac{{{\rm{ \mathsf{ π} }}{{\left( {d + 0.5} \right)}^2}}}{{n{{\left( {1 - d} \right)}^2}}}} \right]^{1/3}}{\left( {\frac{{{p^2}{R_0}}}{{\gamma E}}} \right)^{1/3}} (45) 根据\gamma E = \frac{{{\rm{ \mathsf{ π} }}K_c^2(1{\nu ^2})}}{2} \approx 1.5K_c^2关系, 令\Delta = \frac{{K_c^2}}{{{H^2}}}, 表征了裂纹尖端塑性区尺度。可以得到如下简单的相似关系:
\frac{{{R_{\rm{c}}}}}{{{R_{\rm{0}}}}} \approx 0.42{\left( {\frac{{{R_0}}}{\Delta }} \right)^{1/3}} (46) 由公式(46)可估算成坑径向裂纹区半径。
2.5 超高速动能弹地冲击等效计算方法
岩石介质属于脆性材料, 其抗拉强度远低于抗压强度或抗剪强度, 冲击波在自由表面产生反射拉伸波, 当反射拉伸波强度、作用时间满足一定条件时, 自由面处将发生层裂或剥离现象。岩石中超高速侵彻实验表明, 随着撞击速度的增加, 不再形成稳定侵彻弹道, 只在表面形成半球形或碟形弹坑, 撞击速度高到一定程度, 其弹坑形态呈现为浅深度、大直径的碟形或漏斗形。其成坑形状如图 9中虚线所示的锥形漏斗, 深度为h, 半径为Rl(对于坚硬岩石, Rl接近于成坑裂纹区半径Rc), 成坑半锥角的余切值:
\cot \theta = h/{R_1} (47) 根据式(46)、(37), 在Ma≥2.0时, 计算得到成坑半锥角余切值cotθ随撞击相对速度Ma增加的变化曲线, 如图 10所示。由图 10可见, 随着撞击速度的增加, 超高速成坑形状以相似于地下浅埋爆炸向接触爆炸形状趋势转变, 这为建立超高速地冲击效应等效方法提供了物理基础。此外, 除弹坑形状接近之外, 根据实验[3-5], 对于1 700~5 100 m/s左右的超高速弹撞击岩石, 实际工作中产生冲击波的压力范围与地下化学爆炸产生的压力较为接近。因此, 可以将超高速弹体撞击岩石效应, 与岩石中浅埋化学装药爆炸效应进行等效转换, 利用浅埋爆炸研究超高速动能弹地冲击效应。
将超高速撞击时形成的弹坑作为引起地冲击的震源, 基于冲击成坑深度确定等效装药埋深, 基于冲击成坑半径确定弹坑抛掷指数, 进而计算等效装药当量, 只要冲击弹坑形态与爆炸弹坑体积和形态相同(弹坑深度相同、弹坑半径相同), 即可认为二者辐射出的地冲击效应等效。因此, 以弹坑体积和形态为等效指标, 可建立超高速撞击与标准装药爆炸的能量等效关系。
岩土中爆炸弹坑计算公式, 多为半理论半经验模型, 应用最为广泛的有:列文斯顿(Livingston)漏斗计算公式、鲍列斯科夫(Боресков)公式、兰格福斯(Langefors)公式、弗拉索夫(Власов)公式、波克罗夫斯基(Покровский)公式等。这些公式很相似, 且研究方法也比较接近。超高速动能弹丸对地打击的毁伤效应接近于触地爆或浅埋爆, 其地冲击能量主要耗散在介质的变形和破坏, 因而可以忽略面力效应和重力效应, 于是弹坑装药量的计算公式[7]简化为:
Q = {k_3}{h^3}{\left[ {\left( {1 + n_{\rm{z}}^2} \right)/2} \right]^2} (48) 式中:Q为等效装药量; k3为爆破多方指数, 9#硝铵炸药爆破花岗岩取k3=1.8~2.55 kg/m3; nz=Rl/h为弹坑抛掷指数; h为弹药埋深, 这里取超高速撞击成坑深度, 按照式(37)计算; Rl为漏斗坑半径, 这里取超高速撞击成坑半径, 按照式(46)计算。
将等效装药的能量与超高速弹丸动能进行对比, 得到超高速动能弹等效装药的能量换算系数:
\eta = \frac{{Q{Q_{\rm{v}}}\delta }}{{{m_{\rm{j}}}v_{\rm{j}}^2/2}} = f\left( {{M_a}} \right) (49) 式中:Qv为炸药爆热, 9#硝铵炸药与TNT炸药的爆热均为4 184 kJ/kg; δ=1为热功当量。经过理论分析与数值计算, 发现等效装药与超高速撞击的能量换算系数, 即式(49), 可以表述为更普遍的形式:
\eta \approx {k_{\rm{a}}}{{\rm{e}}^{{M_a}}} (50) 式中:ka为多方指数, 由弹靶初始参数和边界条件确定, 当弹/靶材料、弹丸质量、长径比、弹形系数固定时, ka值恒定不变, 它代表等效装药能量与弹丸动能相同时的撞击速度。
因此, 可以算得超高速撞击弹丸的等效装药能量, 进而依据爆炸地冲击效应进行安全防护层厚度的估算。超高速武器的最小安全防护层厚度Hm主要由直接侵彻深度(即冲击成坑深度)h和地冲击不震塌厚度hs两部分构成, 可写成如下形式[3, 32-33]:
{H_{\rm{m}}} = h + {h_{\rm{s}}} (51) 地冲击不震塌厚度hs可利用超高速武器流体侵彻与浅埋爆炸的等效关系来确定[33-34]:
{h_{\rm{s}}} = {k_{\rm{c}}}{r_{\rm{e}}} = {k_{\rm{c}}}m{k_{\rm{p}}}\sqrt[3]{Q} (52) 式中:m为填塞系数; kp为破坏系数, 对中等强度岩石, kp≈0.53;对有被覆的地下工程, kc≈2.5。
3. (超)高速侵彻实验与等效计算
3.1 岩石的超高速侵彻与撞击成坑实验
为验证理论成果的准确性, 利用二级轻气炮开展了卵形长杆高强钢弹对花岗岩的侵彻效应实验。
靶体采用产自山东五莲县的花岗岩, 用圆柱形钢制套筒包裹, 并利用已有经验公式估算成坑范围和侵彻深度, 满足半无限侵彻要求。实验前测得花岗岩参数为:密度ρt=2 670 kg/m3, 体积声速c0=4 200 m/s, 单轴抗压强度约150 MPa, 岩石直剪剪切强度约50.0 MPa, 剪切模量G≈27.0 GPa, 断裂韧度Kc≈1.7 MPa·m1/2, 泊松比ν≈0.2, 动力硬度H≈3 GPa, 特征速度c≈1 500 m/s。
实验分两阶段进行, 第一阶段进行了1 100~1 800 m/s着靶速度范围内的高速侵彻实验, 采用如图 11所示的卵形长杆弹体, 弹体全长L =54 mm, 直径d0 =2r0= 10.8 mm, 弹体长径比L/d0 =5, 弹头形状系数CRH=3.0, 弹体初始质量(不含弹托)mj=32.45 g, 密度ρj=7 850 kg/m3。弹体材料采用高强合金钢30CrMnSiNi2A, 经过热处理后硬度为HRC50。
具体实验方案和过程可参阅文献[26], 图 12为实验后回收的弹体照片, 可见撞击速度越高, 弹体侵蚀越严重, 实验测得不同发射速度下弹体侵彻深度和回收弹体的质量, 如表 2所示。
表 2 第一阶段实验测试结果Table 2. Test results of the first phase序号 发射速度/(m/s) 发射速度Ma 侵彻深度h/L 弹体残余质量m/mj 1 1 196 0.798 2.200 0.975 2 1 426 0.951 2.704 0.968 3 1 430 0.953 2.885 0.965 4 1 600 1.067 3.035 0.950 5 1 654 1.103 2.481 0.950 6 1 752 1.168 1.619 0.313 7 1 789 1.193 1.539 0.288 8 1 808 1.205 1.730 0.316 第二阶段进行了1 800~4 200 m/s着靶速度范围内的超高速侵彻实验, 靶体采用与第一阶段实验相同的材料。但为提高弹体速度, 第二阶段实验缩小了弹体尺寸。其中弹体直径为7.2 mm, 弹体质量9.67 g。实验后采用视觉定性观察与三维光学扫描系统定量量测相结合的方法测试靶体破坏情况。
对于1 800 m/s以上的着靶速度范围, 实验结束后弹体均完全破坏, 弹坑底部亦无弹体残留物。弹坑边缘极不规则, 呈现显著的剥离成坑。这种不规则的弹坑边缘为应力波在表面多次反射拉伸形成。部分实验可观察到未完全与基体分离的岩石剥离层。实验中可将靶体表面弹坑尺寸视为裂纹区半径, 表 3给出了侵彻深度和靶体表面裂纹区半径的三维扫描的结果, 图 13~14则分别给出了侵彻深度、靶体表面裂纹区半径与弹体速度的关系曲线。
表 3 第二阶段实验综合量测结果Table 3. Test results of the second phase序号 发射速度/(m/s) 发射速度Ma 侵彻深度h/L 靶体表面破碎区直径Rc/d0 1 1 829.4 1.220 0.806 25.69 2 2 231.0 1.487 1.250 38.19 3 2 600.3 1.734 0.861 36.81 4 2 806.9 1.871 1.444 39.58 5 2 878.2 1.919 1.667 46.53 6 3 199.6 2.133 1.611 53.82 7 3 542.1 2.361 1.722 65.28 8 4 135.6 2.757 1.806 78.47 注:序号3实验结果异常,未列入图13中。 从实验结果(表 2~3)可清晰地看出, 对于30CrMnSiNi2A合金钢弹侵彻花岗岩, 当弹体速度vj/c≤vcr/c≈1.1时, 侵彻深度随着侵彻速度线性增加, 从回收弹体的质量来看, 侵彻速度越大, 回收弹体的质量越小, 但与弹体初始质量相比, 整个区间内弹体的质量损失小于5%, 属刚性侵彻阶段。当vj超出临界速度vcr时, 回收弹体的质量陡降, 同时伴随着侵彻深度的急剧减小, 属弹体磨蚀阶段。当弹体侵彻速度vj达到vj/c≈1.5时, 弹头被完全磨蚀, 进入拟流体侵彻阶段, 随着侵彻速度的增加, 侵深再次缓慢增大, 但增长幅度较为缓慢, 呈非线性增长, 在超过流体动力学极限一定幅值后侵深再缓慢降低, 逐渐趋向流体动力学侵彻极限。
图 13给出了固体(Ma≤1.5, 公式(35))和拟流体侵彻范围(1.5≤Ma≤4.5, 公式(37))内侵彻深度理论计算结果与花岗岩中实验的结果对比。图 14则给出了拟流体侵彻范围(1.5≤Ma≤4.5)内成坑径向裂纹区半径理论计算结果(公式(46))与花岗岩中实验结果对比。结果表明, 相较于射流模型、A-T模型, 利用内摩擦理论修正的拟流体侵彻计算模型(侵彻深度计算公式(37)与撞击成坑计算公式(46))计算结果与实验结果吻合更好。
3.2 岩石的超高速侵彻地冲击实验
与中高速钻地武器相比, 超高速武器除了产生成坑和侵彻效应, 还将以地冲击方式释放大量能量[31-33]。为揭示岩石靶中地冲击传播规律, 开展了岩石的超高速侵彻地冲击实验。
实验采用直径7.2 mm的尖卵形弹, 弹体质量9.67 g(同超高速侵彻和撞击成坑第二阶段实验)。为了布置靶内的压力传感器, 靶体采用花岗岩制成分层靶(花岗岩参数同前), 靶体截面为边长600 mm的正方形, 总厚度800 mm, 总共分为6层, 分层靶体层间采用环氧树脂进行粘结, 并预埋PVDF薄膜压力传感器。靶体由内径1 000 mm, 壁厚10 mm的钢制靶圈和C30素混凝土进行约束。地冲击传播的初始阶段, 靶体处于受惯性约束的受压状态, 此时胶层对靶体中地冲击的影响主要受两者波阻抗及厚度控制。花岗岩的波阻抗约为1.13×107 kg/(m2·s), 树脂的波阻抗约为2.71×106 kg/(m2·s), 其波阻抗之比约为4:1, 则压缩波在胶层中反射四次之后即可满足胶层前后界面应力差小于10%。由于树脂层厚度小于440 μm, 树脂中波速约为2.4 km/s, 则压缩波在胶层中一次往返需约0.367 μs。实验实测压缩波最小升压时间约10 μs, 在这个过程中, 压缩波已在试件中传播约27次, 满足均匀化条件, 可认为分层靶体对地冲击峰值压力的影响很小。
实验获得了3 558 m/s撞击速度下地冲击波压力数据, 如图 15所示。
当花岗岩处于固体内摩擦区域时, 根据文献[29]可取内摩擦状态下的泊松比ν ≈ 0.35, 衰减系数理论预测结果n2=1.46, 而花岗岩中弹塑性球面波的衰减系数为1.1~1.2[8]。根据前述花岗岩的材料参数, 对10~30 cm的地冲击, 其峰值超过了花岗岩的抗压强度, 而未达到花岗岩的弹性极限(约3 GPa[27])。按本文前面分析的岩石靶中冲击波传播规律, 测试的地冲击波数据应处在拟流体区域与弹塑性区域之间, 则其衰减系数亦应在两者之间。
将撞击速度为3 558 m/s的各测点压力峰值按幂函数拟合, 衰减规律如图 16所示, 其中应力单位为MPa, 距离单位为cm, 得到:
{p_{\max }} = 16.1{r^{ - 1.4}} (54) 即衰减指数n=1.4, 与理论预测结果吻合。
实验中从弹体完全熔化的强冲击波压力, 过渡至拟流体区其压力峰值更高, 衰减系数更大, 因实验弹体较小, 这一过渡区域范围很小而未能布设传感器, 这将在后期的工作中展开研究。
3.3 岩石的超高速侵彻地冲击效应的等效计算
依据前文给出的超高速动能弹地冲击等效计算方法, 可以算得超高速弹撞击岩石的等效浅埋爆炸的装药量。按照岩石中爆炸应力波公式计算等效装药爆炸应力波形, 考察其与超高速弹体撞击岩石应力波形的拟合情况, 可以验证等效方法的有效性。根据实验统计, 岩土爆炸应力波成指数衰减, 其中应用最多的是文献[33-34]提供的计算公式:
p\left( t \right) = \left\{ \begin{array}{l} {p_{\max }}t/{t_{\rm{r}}}\;\;\;\;\;\;\;\;\;0 \le t \le {t_{\rm{r}}}\\ {p_{\max }}{{\rm{e}}^{ - \alpha \left( {t - {t_{\rm{r}}}} \right)}}\;\;\;\;\;\;t > {t_{\rm{r}}} \end{array} \right. (54) {p_{\max }} = 48.77{f_{\rm{v}}}{\rho _{\rm{t}}}{c_{\rm{P}}}{\left( {\frac{{2.8r}}{{\sqrt[3]{Q}}}} \right)^{ - n}} (55) 式中:pmax为峰值压力, α=1/ta为衰减系数, ta=r/cP为波到达时间, tr为升压时间, fv为耦合系数, ρt材料密度, cP纵波速度, Q为等效TNT当量; r为爆心至测点距离, n为衰减指数。
根据超高速弹体撞击花岗岩的实验(弹丸速度为3 558 m/s), 选取等效装药爆炸计算参数:靶体密度ρt=2 670 kg/m3, 声速cP=4 200 m/s, 浅埋爆炸时取耦合系数fv=0.69, 可取η=1.72, 即等效TNT当量为1.72倍弹体动能, Q=25.22 g, D分别为10、15、20、25、30、70 cm, 考察区域对应岩石的弹塑性应力状态区, 取衰减指数n=1.4, tr=0.3ta。由公式(55)计算的等效装药爆炸应力波形时程曲线(见图 17)与超高速撞击应力波形时程曲线(见图 15)具有很好的一致性; 应力波在空间位置上的衰减曲线几乎完全重合(见图 18)。
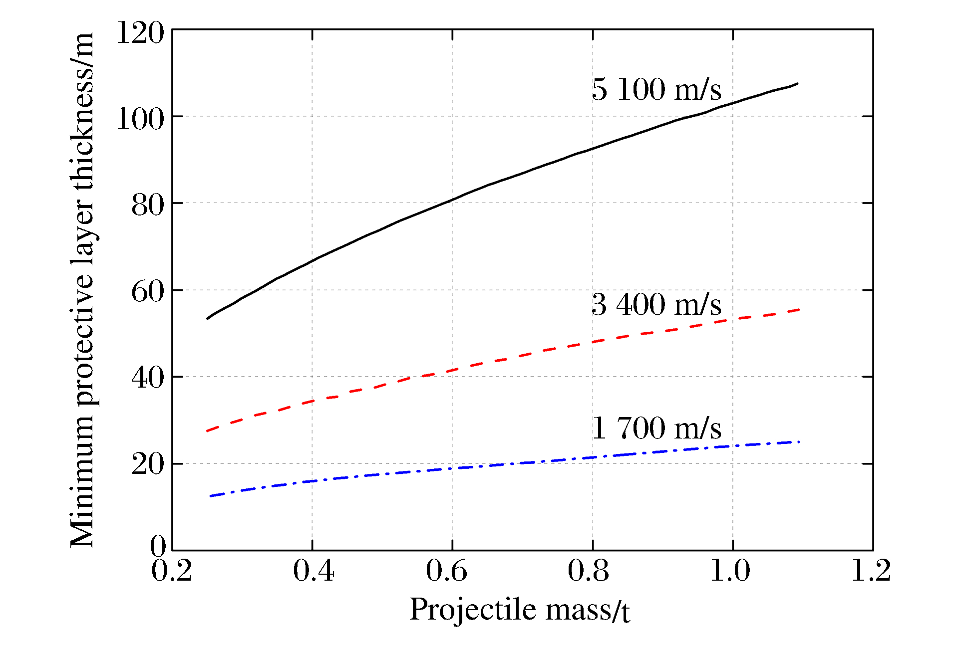
综上所述, 由于等效装药转换方法算得的地冲击波形与超高速动能弹地冲击波形十分吻合, 因此, 本文中提出的等效方法基本合理有效。基于该等效方法可以计算超高速动能弹丸打击花岗岩掩体的最小防护层厚度。如果设超高速动能弹丸材料为30CrMnSiNiA, 密度为7 850 kg/m3, 长径比为5, 质量0.1~1.0 t, 花岗岩山体单轴抗压强度为150 MPa, 密度为2 670 kg/m3, 纵波速度4 200 m/s, 断裂韧度2.7 MPa·m1/2, 动力硬度3 GPa, 爆破指数2.0 kg/m3。按照式(51)算得速度为1 700 m/s(5马赫)、3 400 m/s(10马赫)、5 100 m/s(15马赫)时, 最小防护层厚度与超高速弹丸质量的关系如图 19所示。
4. 结论
(1) 对受限状态下, 岩石的动态压缩机理进行研究, 依据已有的坚硬岩石动态压缩实验数据, 提出在低应力弹塑性区到高应力流体区之间存在半流体过渡区域, 这一过渡区的范围对于岩石来讲大约在5~20 GPa, 对应侵彻速度范围大约(5~15)马赫。
(2) 在半流体过渡区, 岩石处于一种显著增强的塑性状态, 即随着压力的增加, 岩石强度也在缓慢提高, 不能忽略, 但随着应变的进一步提高, 其增速将变得越来越平缓直至无限接近于理想流体状态, 这种增强的本质在于受限内摩擦。物理上是以内摩擦角φ=φ(v)变化表征弹靶状态从半流体至流体的变化, 随着侵彻速度的提高, φ值无限接近于0。
(3) 在内摩擦机理研究的基础上, 提出了涵盖弹塑性、内摩擦半流体和流体阶段的(超)高速动能武器对地侵彻压力/阻抗函数, 提出了随弹靶相对侵速提高, 靶体由固体侵彻转入半流体侵彻、流体侵彻的速度范围:Ma≤1.5为固体侵彻; 1.5≤Ma≤4.5为半流体侵彻; 4.5≤Ma为流体侵彻。
(4) 针对不同弹速侵彻区间, 给出了相应侵彻深度计算方法与公式, 揭示了弹体质量磨蚀变化带来的侵彻深度逆转、侵彻深度趋向极限等基本机理。
(5) 在Slepyan提出的模型基础上, 通过对模型中流体项进行修正, 并根据弹靶相互作用近区边界地冲击能量输运关系, 推导得到了成坑半径和径向裂纹区半径的计算公式, 揭示了弹靶射流作用带来的弹坑扩增基本机理。
(6) 系统进行了弹体侵速1 100~4 200 m/s的30CrMnSiNi2A合金长杆钢弹侵彻花岗岩的(超)高速侵彻实验, 测得了侵深、弹体磨蚀及弹坑尺寸的关键毁伤参数, 实验验证了理论计算公式的准确性。
(7) 给出了超高速动能弹地冲击等效计算方法, 结合实验数据验证了等效方法的有效性, 基于等效计算方法估算出5马赫、10马赫、15马赫超高速撞击速度下最小防护层厚度与弹丸质量的关系曲线。
-
岩石类型 花岗岩 片麻-花岗岩 石英岩 板岩 石灰岩 砂岩 τp/GPa 0.97~1.19 0.68 0.61 0.48~0.57 0.87~1.02 0.90 表 2 第一阶段实验测试结果
Table 2. Test results of the first phase
序号 发射速度/(m/s) 发射速度Ma 侵彻深度h/L 弹体残余质量m/mj 1 1 196 0.798 2.200 0.975 2 1 426 0.951 2.704 0.968 3 1 430 0.953 2.885 0.965 4 1 600 1.067 3.035 0.950 5 1 654 1.103 2.481 0.950 6 1 752 1.168 1.619 0.313 7 1 789 1.193 1.539 0.288 8 1 808 1.205 1.730 0.316 表 3 第二阶段实验综合量测结果
Table 3. Test results of the second phase
序号 发射速度/(m/s) 发射速度Ma 侵彻深度h/L 靶体表面破碎区直径Rc/d0 1 1 829.4 1.220 0.806 25.69 2 2 231.0 1.487 1.250 38.19 3 2 600.3 1.734 0.861 36.81 4 2 806.9 1.871 1.444 39.58 5 2 878.2 1.919 1.667 46.53 6 3 199.6 2.133 1.611 53.82 7 3 542.1 2.361 1.722 65.28 8 4 135.6 2.757 1.806 78.47 注:序号3实验结果异常,未列入图13中。 -
[1] 钱七虎, 王明洋.岩土中的冲击爆炸效应[M].北京:国防工业出版社, 2010:1-43. [2] 任辉启.精确制导武器侵彻效应与工程防护[M].北京:科学出版社, 2016:1-25. [3] SHEMYAKIN E I.Physical and mechanical fundamentals of unconventional technologies of solid mineral development[J].Physical Mesomechanics, 2007, 10(1/2):87-93. [4] 哈努卡耶夫.矿岩爆破物理过程[M].刘殿中, 译.北京: 冶金工业出版社, 1980: 63-82. [5] MELSOSH H J.Impact ejection, spallation, and the origin of meteorites[J].Icarus, 1984, 59(2):234-260. doi: 10.1016/0019-1035(84)90026-5 [6] FORRESTAL M J, TZOU D Y.A spherical cavity-expansion penetration model for concrete targets[J].International Journal of Solids and Structures, 1997, 34(31/32):4127-4146. http://d.old.wanfangdata.com.cn/NSTLQK/NSTL_QKJJ0226220945/ [7] FORRESTAL M J, LUK V K.Dynamic spherical cavity-expansion in a compressible elastic-plastic solid[J].Journal of Applied Mechanics, 1988, 55(2):275-279. doi: 10.1115/1.3173672 [8] VOITISHEK Y V, SLEPYAN L I.Hydrodynamic model of the puncture of a brittle plate[J].Soviet Mining, 1985, 21(3):231-235. doi: 10.1007/BF02500973 [9] SLEPYAN L I.Calculation of the size of the crater formed by a high-speed impact[J].Journal of Mining Science, 1978, 14(5):465-471. doi: 10.1007%2FBF01086757 [10] ROSENBERG Z, MARMOR E, MAYSELESS M.On the hydrodynamic theory of long-rod penetration[J].International Journal of Impact Engineering, 1990, 10(1/2/3/4):483-486. doi: 10.1016-0734-743X(90)90081-6/ [11] 舍米亚金Е И.弹塑性理论的动力学问题[M].戚承志, 译.北京: 科学出版社, 2009: 101-106. [12] SHEMYAKIN E I.Behavior of rocks under dynamic loads[J].Soviet Mining, 1966, 2(1):8-14. doi: 10.1007/BF02497092 [13] ZENG H, BAI H, ZHU T.X-51A scramjet engine flight and demonstration program[J].Missiles & Space Vehicles, 2010, 29(1):57-61. http://d.old.wanfangdata.com.cn/Periodical/ddyhtyzjs201001012 [14] 李益翔.美国高超声速飞行器发展历程研究[D].哈尔滨: 哈尔滨工业大学, 2016. [15] 李争, 刘元雪, 胡明, 等."上帝之杖"天基动能武器毁伤效应评估[J].振动与冲击, 2016, 35(18):159-164. http://d.old.wanfangdata.com.cn/Periodical/zdycj201618026LI Zheng, LIU Yuanxue, HU Ming, et al.Damage effect evaluation of God stick space-based kinetic energy weapons[J].Journal of Vibration and Shock, 2016, 35(18):159-164. http://d.old.wanfangdata.com.cn/Periodical/zdycj201618026 [16] ZHOU Y X, XIA K, LI X B, et al.Suggested methods for determining the dynamic strength parameters and mode-I fracture toughness of rock materials[J].International Journal of Rock Mechanics & Mining Sciences, 2011, 49(1):105-112. https://www.deepdyve.com/lp/elsevier/suggested-methods-for-determining-the-dynamic-strength-parameters-and-f01d0RBz3P [17] 奥尔连科Л П.爆炸物理学[M].孙承纬, 译.北京: 科学出版社, 2011: 1127-1152. [18] 泽尔道维奇Я Б, 莱依健尔Ю Л.激波和高温流体动力学现象物理学(下册)[M].张树才, 译.北京: 科学出版社, 1985: 234-260. [19] 戚承志, 钱七虎.岩石等脆性材料动力强度依赖应变率的物理机制[J].岩石力学与工程学报, 2003, 22(2):177-181. doi: 10.3321/j.issn:1000-6915.2003.02.002QI Chengzhi, QIAN Qihu.Physical mechanism of dependence of material strength on strain rate for rock-like material[J].Chinese Journal of Rock Mechanics and Engineering, 2003, 22(2):177-181. doi: 10.3321/j.issn:1000-6915.2003.02.002 [20] 戚承志, 钱七虎.岩体动力变形与破坏的基本问题[M].北京:科学出版社, 2009. [21] LUNDBORG N.Strength of rock-like materials[J].International Journal of Rock Mechanics and Mining Science, 1968, 5(5):427-454. doi: 10.1016/0148-9062(68)90046-6 [22] ALEKSEEVSKⅡ V P.Penetration of a rod into a target at high velocity[J].Combustion, Explosion, and Shock Waves, 1966, 2(2):99-106. doi: 10.1007-BF00749237/ [23] TATE A.A theory for the deceleration of long rods after impact[J].Journal of the Mechanics and Physics of Solids, 1967(15):387-399. doi: 10.1016-0022-5096(69)90028-3/ [24] TATE A.Long rod penetration models-part I.a flow field model for high speed long rod penetration[J].International Journal of Mechanical Sciences, 1986, 28(8):535-548. doi: 10.1016/0020-7403(86)90051-2 [25] 王明洋, 邱艳宇, 李杰, 等.超高速长杆弹对岩石侵彻、地冲击效应理论与实验研究[J].岩石力学与工程学报, 2018, 37(3):564-572.WANG Mingyang, QIU Yanyu, LI Jie, et al.Theoretical and experimental study on penetration in rock and ground impact effects of long rod projectiles of hyper speed[J].Chinese Journal of Rock Mechanics and Engineering, 2018, 37(3):564-572. [26] 李干, 宋春明, 邱艳宇, 等.超高速弹对花岗岩侵彻深度逆减现象的理论与实验研究[J].岩石力学与工程学报, 2018, 37(1):60-66. http://www.cnki.com.cn/Article/CJFDTOTAL-YSLX201801006.htmLI Gan, SONG Chunming, QIU Yanyu, et al.Theoretical and experimental studies on the phenomenon of reduction in penetration depth of hyper-velocity projectiles into granite[J].Chinese Journal of Rock Mechanics and Engineering, 2018, 37(1):60-66. http://www.cnki.com.cn/Article/CJFDTOTAL-YSLX201801006.htm [27] 宋春明, 李干, 王明洋, 等.不同速度段弹体侵彻岩石靶体的理论分析[J].爆炸与冲击, 2018, 38(2):250-257. http://www.bzycj.cn/CN/abstract/abstract9882.shtmlSONG Chunming, LI Gan, WANG Mingyang, et al.Theoretical analysis of projectiles penetrating into rock targets at different velocities[J].Explosion and Shock Waves, 2018, 38(2):250-257. http://www.bzycj.cn/CN/abstract/abstract9882.shtml [28] GUREVICH M I.The theory of jets of an ideal fluid[M].Moscow:Nauka, 1979:536-537. [29] SHISHKIN N I.Seismic efficiency of a contanct explosion and a high-velocity impact[J].Journal of Applied Mechanics and Technical Physics, 2007, 48(2):145-152. doi: 10.1007/s10808-007-0019-6 [30] VOITISHEK Y V, SLEPYAN L I.Hydrodynamic model of the puncture of a brittle plate[J].Soviet Mining, 1985, 21(3):231-235. doi: 10.1007/BF02500973 [31] 邓国强, 杨秀敏.超高速武器对地打击效应数值仿真[J].科技导报, 2015, 33(16):65-71. doi: 10.3981/j.issn.1000-7857.2015.16.010DENG Guoqiang, YANG Xiumin.Numerical simulation of ground impact effects of hypervelocity weapons[J].Science and Technology Herald, 2015, 33(16):65-71. doi: 10.3981/j.issn.1000-7857.2015.16.010 [32] 邓国强, 杨秀敏.超高速武器对地打击效应特点分析[C]//第一届全国超高速碰撞会议论文集.四川绵阳: 中国空气动力研究与发展中心, 2013: 141-144. [33] 邓国强, 杨秀敏.超高速武器流体侵彻与装药浅埋爆炸效应的等效方法[J].防护工程, 2015, 37(6):27-32.DENG Guoqiang, YANG Xiumin.Effect equivalent method between fluid penetration of hyper velocity weapon and shallow detonation of explosive[J].Protective Engineering, 2015, 37(6):27-32. [34] U.S.Army Engineer Waterways Experiment Station.Fundamentals of protective design for conventional weapons: Tm-855-1[R].Vicksburg, Mississippi, 1986. 期刊类型引用(13)
1. 钱秉文,尹立新,陈春林,马坤,胡玉涛,柏准,侯飞宇,周刚. 超高速撞击条件下混凝土靶内应力波衰减规律研究. 北京理工大学学报. 2025(03): 240-247 .
百度学术2. 钱秉文,周刚,李名锐,尹立新,高鹏飞,陈春林,马坤. 高强钢弹体高速侵彻混凝土靶的刚体临界侵彻速度研究. 爆炸与冲击. 2024(10): 147-157 .
本站查看3. 王明洋,何勇,陈丹鹤,徐天涵. 新型钻地武器毁伤与防护计算原理. 陆军工程大学学报. 2023(01): 1-10 .
百度学术4. 何勇,李干,郭纬,邓树新. 高超声速钻地炸弹侵彻深度计算方法. 防护工程. 2023(02): 31-36 .
百度学术5. 王鹏,付建平,崔晋,袁浩,昝守东,石晓山,杨丽. 钨杆超高速侵彻混凝土靶侵彻深度研究. 兵器装备工程学报. 2023(07): 101-108 .
百度学术6. 李国辉,刘基程,耿汉生,马林建,李增. 岩石高速-超高速侵彻效应研究进展. 防护工程. 2023(05): 67-78 .
百度学术7. 高飞,邓树新,张国凯,纪玉国,刘晨康,王明洋. 缩比模型弹侵彻岩石靶尺寸效应试验研究与理论分析. 兵工学报. 2023(12): 3601-3612 .
百度学术8. 黄进,刘科伟,靳绍虎. 高强弹体侵彻白麻花岗岩靶体的数值模拟研究. 黄金科学技术. 2021(03): 411-420 .
百度学术9. 程怡豪,王明洋,王德荣,宋春明,岳松林,谭仪忠. 侵彻条件下两类靶体材料静阻力的探讨. 爆炸与冲击. 2020(06): 4-14 .
本站查看10. 王志亮,李允忠,黄佑鹏. JH-2模型参数确定及花岗岩重复侵彻数值分析. 哈尔滨工业大学学报. 2020(11): 127-136 .
百度学术11. 高飞,张国凯,纪玉国,陈建宇. 卵形弹体超高速侵彻砂浆靶的响应特性. 兵工学报. 2020(10): 1979-1987 .
百度学术12. 李杰,程怡豪,徐天涵,王明洋. 岩石类介质侵彻效应的理论研究进展. 爆炸与冲击. 2019(08): 4-29 .
本站查看13. 李杰,王明洋,李海波,岳松林. 超高速动能武器侵彻岩石的毁伤评估与工程防护. 现代应用物理. 2018(04): 45-51+69 .
百度学术其他类型引用(6)
-



下载:
下载:
百度学术

















