• ISSN 1001-1455  CN 51-1148/O3
  • EI、Scopus、CA、JST、EBSCO、DOAJ收录
  • 力学类中文核心期刊
  • 中国科技核心期刊、CSCD统计源期刊

斜波压缩下HMX晶体的弹塑性行为

种涛 莫建军 郑贤旭 傅华 蔡进涛

种涛, 莫建军, 郑贤旭, 傅华, 蔡进涛. 斜波压缩下HMX晶体的弹塑性行为[J]. 爆炸与冲击, 2021, 41(5): 053101. doi: 10.11883/bzycj-2020-0071
引用本文: 种涛, 莫建军, 郑贤旭, 傅华, 蔡进涛. 斜波压缩下HMX晶体的弹塑性行为[J]. 爆炸与冲击, 2021, 41(5): 053101. doi: 10.11883/bzycj-2020-0071
CHONG Tao, MO Jianjun, ZHENG Xianxu, FU Hua, CAI Jintao. Elastic-plastic transition behaviors of HMX crystal under ramp wave compression[J]. Explosion And Shock Waves, 2021, 41(5): 053101. doi: 10.11883/bzycj-2020-0071
Citation: CHONG Tao, MO Jianjun, ZHENG Xianxu, FU Hua, CAI Jintao. Elastic-plastic transition behaviors of HMX crystal under ramp wave compression[J]. Explosion And Shock Waves, 2021, 41(5): 053101. doi: 10.11883/bzycj-2020-0071

斜波压缩下HMX晶体的弹塑性行为

doi: 10.11883/bzycj-2020-0071
基金项目: 国家自然科学基金(11702276);国防科技重点实验室基金(6142A03192007)
详细信息
    作者简介:

    种 涛(1986- ),男,博士,助理研究员,maoda318@163.com

    通讯作者:

    蔡进涛(1984- ),男,博士,副研究员,goldennoon@163.com

  • 中图分类号: O347.5

Elastic-plastic transition behaviors of HMX crystal under ramp wave compression

  • 摘要: 开展了(010)、(011)晶向HMX晶体的斜波压缩实验,获得了约15 GPa压力下的速度响应剖面。实验结果表明,HMX单晶存在明显弹塑性转变行为,且速度波形有下降趋势,这是材料的黏性效应导致,材料的弹性极限随着样品厚度增加而变化,不同晶向的材料动力学特性存在差异。结合Hobenemser-Prager黏弹塑性本构关系和三阶Birch-Murnaghan物态方程开展了HMX晶体斜波压缩物理过程的数值模拟,计算结果可以很好地描述HMX晶体的弹塑性转变这一物理过程。
  • 图  1  HMX晶体

    Figure  1.  An HMX crystal

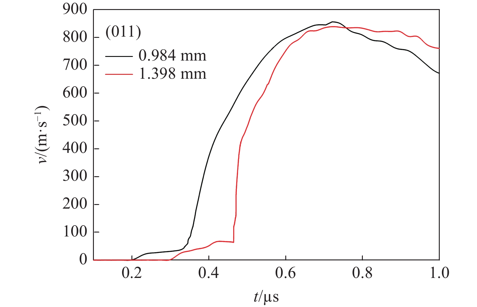
    图  2  实验1的速度响应曲线

    Figure  2.  Velocity profiles in experiment 1

    图  3  实验2的速度响应曲线

    Figure  3.  Velocity profiles in experiment 2

    图  4  实验3的速度响应曲线

    Figure  4.  Velocity profiles in experiment 3

    图  5  实验4的速度响应曲线

    Figure  5.  Velocity profiles in experiment 4

    图  6  实验5速度响应曲线

    Figure  6.  Velocity profiles in experiment 5

    图  7  实验6的速度响应曲线

    Figure  7.  Velocity profiles in experiment 6

    图  8  p-V/V0曲线与文献数据结果

    Figure  8.  p-V/V0 curve and literature data

    图  9  Lagrange声速与粒子速度关系曲线

    Figure  9.  Lagrange sound speed-particle velocity

    图  10  弹性极限与样品厚度关系

    Figure  10.  Relationship between elastic limit and sample thickness

    图  11  (010)晶向模拟计算结果与实验结果对比

    Figure  11.  Calculated and experimental data of (010) crystal direction

    图  12  (011)晶向模拟计算结果与实验结果对比

    Figure  12.  Calculated and experimental data of (011) crystal direction

    表  1  实验条件

    Table  1.   Experimental condition

    实验编号晶向样品厚度/mm
    1(011)1.398
    0.984
    2(010)1.262
    0.975
    3(010)1.253
    0.961
    4(010)0.775
    0.913
    5(010)0.593
    0.664
    0.781
    6(011)0.510
    0.663
    0.782
    下载: 导出CSV

    表  2  HMX晶体的屈服

    Table  2.   Yield of HMX crystals

    HMX晶向厚度/mm屈服速度/(m·s−1)弹性极限 /GPa
    (011)1.39867.050.927
    0.51077.631.076
    (010)0.97569.800.966
    1.26270.300.973
    0.96163.901.263
    1.25371.500.990
    0.77563.900.883
    0.91367.100.928
    0.66469.780.966
    0.78159.690.824
    下载: 导出CSV

    表  3  模拟计算所用的模型参数

    Table  3.   Model parameters used in simulation

    晶向σy /GPaG/GPaη/(Pa·s)KT0/GPa$K_{T0}'$
    (010)0.55 7110 9.7515.0
    (011)0.6011 9013.0010.5
    下载: 导出CSV
  • [1] 谭武军. 含能晶体力学性能研究[D]. 绵阳: 中国工程物理研究院, 2008.

    TAN W J. Studies on the mechanical properties of energetic crystals [D]. Mianyang: China Academy of Engineering Physics, 2008.
    [2] 李明, 陈天娜, 黄明, 等. RDX晶体的破碎与细观断裂行为 [J]. 含能材料, 2013, 21(2): 200–204. DOI: 10.3969/j.issn.1006-9941.2013.02.008.

    LI M, CHEN T N, HUANG M, et al. Rupture and mesoscale fracture behaviors of RDX crystals [J]. Chinese Journal of Energetic Materials, 2013, 21(2): 200–204. DOI: 10.3969/j.issn.1006-9941.2013.02.008.
    [3] 王国栋, 刘玉存. 神经网络在炸药晶体密度预测中的应用 [J]. 火炸药学报, 2007, 30(1): 57 –59. DOI: 10.3969/j.issn.1007-7812.2007.01.016.

    WANG G D, LIU Y C. Application of artificial neural network in predicting the density of explosives [J]. Chinese Journal of Explosives and Propellants, 2007, 30(1): 57 –59. DOI: 10.3969/j.issn.1007-7812.2007.01.016.
    [4] 花成, 傅华, 田勇, 等. 冲击波作用下HMX晶体的细观响应 [J]. 火炸药学报, 2010, 33(3): 5– 8. DOI: 10.3969/j.issn.1007-7812.2010.03.002.

    HUA C, FU H, TIAN Y, et al. Mesoscale response of HMX crystal under the shock war effect [J]. Chinese Journal of Explosives and Propellants, 2010, 33(3): 5– 8. DOI: 10.3969/j.issn.1007-7812.2010.03.002.
    [5] 黄明, 李洪珍, 徐容, 等. 高品质 RDX 的晶体特性及冲击波起爆特性 [J]. 含能材料, 2011, 19(6): 621–626.

    HUANG M, LI H Z, XU R, et al. Evaluation of crystal properties and initiation characteristics of decreased sensitivity RDX [J]. Chinese Journal of Energetic Materials, 2011, 19(6): 621–626.
    [6] HOWE P M. Effects of microstructure on explosive behavior [J]. Progress in Astronomics and Aeronautics, 2000, 185: 141.
    [7] JOHANSEN Ø H, KRISTIANSEN J D, GJERSØE R, et al. RDX and HMX with reduced sensitivity towards shock initiation-RS-RDX and RS-HMX [J]. Propellants, Explosives, Pyrotechnics, 2008, 33(1): 20–24. DOI: 10.1002/prep.200800203.
    [8] VAN DER HEIJDEN A E D M, BOUMA R H B, VAN DER STEEN A C. Physicochemical parameters of nitramines influencing shock sensitivity [J]. Propell. Explos. Pyrotech, 2004, 29(5): 304–313. DOI: 10.1002/prep.200400058.
    [9] WALLEY S M, FIELD J E, GREENAWAY M W. Crystal sensitivities of energetic materials [J]. Materials Science and Technology, 2006, 22(4): 402–413. DOI: 10.1179/174328406X91122.
    [10] CAULDER S M, MILLER P J, GIBSON K D, et al. Effect of particle size and crystal quality on the critical shock initiation pressure of RDX/HTPB formulations [C]// Proceedings of 13th Symposium (International) on Detonation. Norfolk, VA, USA, 2006: 656–661.
    [11] VANDER STEEN A C, VERBEEK H, MEULENBRUGGE J J. Influence of RDX crystal shape on the shock sensitivity of PBXs [C]// Proceedings of 9th Symposium (International) on Detonation. Portland, Oregon, USA, 1989: 83–88.
    [12] 花成, 张盛国, 高大元. 冲击波作用下炸药安全性QMU评估 [J]. 火炸药学报, 2015, 38(4): 31–34.

    HUA C, ZHANG S G, GAO D Y. QMU evaluation of explosive safety under shock wave effect [J]. Chinese Journal of Explosives and Propellants, 2015, 38(4): 31–34.
    [13] GOETZ F, BRILL T B, FERRARO J R. Pressure dependence of the raman and infrared spectra of α-, β-, γ-, and δ-octahydro-1, 3, 5, 7-tetranitro-1, 3, 5, 7-tetrazocine [J]. Journal of Physics Chemistry B, 1978, 82(17): 1912–1917. DOI: 10.1021/j100506a011.
    [14] CHOI C S, BOUTIN H P. A study of the crystal structure of β-cyclotetramethylene tetranitramine by neutron diffraction [J]. Acta Crystallographica Section B, 1970, 26(9): 1235–1240. DOI: 10.1107/S0567740870003941.
    [15] HORST J H, KRAMER H J M, ROSMALEN G M, et al. Molecular modelling of the crystallization of polymorphs: Part Ⅰ: the morphology of HMX polymorphs [J]. Journal of Crystal growth, 2002, 237: 2215–2220.
    [16] CLEMENTS B E, MAS E M. A theory for plastic-bonded materials with a bimodal size distribution of filler particles [J]. Modelling and Simulation in Materials Science and Engineering, 2004, 12(3): 407–421. DOI: 10.1088/0965-0393/12/3/004.
    [17] MENIKOFF R, DICK J J, HOOKS D E. Analysis wave profiles for single-crystal cyclotetramethylene tetranitramine [J]. Journal of Applied Physics, 2005, 97(2): 023529. DOI: 10.1063/1.1828602.
    [18] DICK J J, HOOKS D E, MENIKOFF R, et al. Elastic-plastic wave profiles in cyclotetramethylene tetranitramine crystals [J]. Journal of Applied Physics, 2004, 96(1): 374–379.
    [19] JARAMILLO E, SEWELL T D. Inelastic Deformation in shock loaded: HMX LA-UA-06-3716 [R]. Los Alamos National Laboratory Report, 2005.
    [20] SEWELL T D, BEDROV D, MENIKOFF R, et al. Elastic properties of HMX [J]. AIP Conference Proceedings, 2002, 620(1). DOI: 10.1063/1.1483562.
    [21] ZAUG J M. Elastic constants of β-HMX and tantalum, equation of state of supercritical fluids and fluid mixtures and thermal transport determinations [C]//The 11th International Detonation Symposium. Snowmass Conference Center. Snowmass Village, Colorado. 1998: 498−509.
    [22] HALL C A, ASAY J R, KNUDSON M D, et al. Experimental configuration for isentropic compression of solids using pulsed magnetic loading [J]. Review of Scientific Instruments, 2001, 72(9): 3587–3595. DOI: 10.1063/1.1394178.
    [23] YOO C S, CYNN H. Equation of state, phase transition, decomposition of β-HMX (octahydro-1,3,5,7-tetranitro-1,3,5,7-tetrazocine) at high pressures [J]. The Journal of Chemical Physics, 1999, 111(22): 10229. DOI: 10.1063/1.480341.
    [24] OLINGER B, ROOF B and CADY H H. The linear and volume compression of β-HMX and RDX [C]//Actes du Symposium International sur le Comportement des Milieux Denses Sous Hautes Pressions Dynamiques, Commissariat a l’Energie Atomique, Paris, 1978: 3−8.
    [25] MARSH S. LASL shock Hugoniot data [M]. Berkeley: University of California Press, 1980.
    [26] DANIEL, HOOK E and HAYES D B. Isentropic compression of cyclotetramethylene tetranitramine (HMX) single crystals to 50 GPa [J]. The Journal of Applied Physics, 2006, 99(12): 124901. DOI: 10.1063/1.2203411.
    [27] 苏锐, 龙瑶, 姜胜利, 等. 外部压力下β相奥克托金晶体弹性性质变化的第一性原理研究 [J]. 物理学报, 2012, 16(20): 336–341.

    SU R, LONG Y, JIANG S L, et al. Elastic properties of β–HMX under extra pressure: a first principle study [J]. Acta Physica Sinica, 2012, 16(20): 336–341.
    [28] 罗斌强, 张红平, 种涛, 等. 磁驱动斜波压缩实验结果的不确定度分析 [J]. 高压物理学报, 2017, 31(3): 295–300. DOI: 10.11858/gywlxb.2017.03.011.

    LUO B Q, ZHANG H P, CHONG T, et al. Experimental uncertainty analysis of magnetically driven ramp wave compression [J]. Chinese Journal of High Pressure Physics, 2017, 31(3): 295–300. DOI: 10.11858/gywlxb.2017.03.011.
    [29] BAER M, ROOT S, DATTELBAUM D, et al. Shockless compression studies of HMX-based and TATB-based explosives [C] // The 16th APS Topical Conference on Shock Compression of Condensed Matter. Nashville, Tennessee, 2009:699–702.
    [30] 贾乃文. 粘塑性力学及工程应用 [M]. 北京: 地震出版社, 2000.
    [31] HRBEK G M. Invariant functional forms for the second, third, and fourth order Birch-Murnaghan equation of state for materials subject to hydrodynamic shock. [J]. Aip Conference Proceedings, 2000, 505(1): 169–173. DOI: 10.1063/1.1303448.
    [32] 郭昕, 南海, 齐晓飞, 等. RDX和HMX晶体力学性能的分子动力学模拟及其撞击加载响应 [J]. 含能材料, 2013, 21(4): 485–489. DOI: 10.3969/j.issn.1006-9941.2013.04.016.

    GUO X, NAN H, QI X F, et al. Molecular dynamics simulation on mechanical properties of RDX and HMX crystals and their impacting loading response [J]. Chinese Journal of Energetic Materials, 2013, 21(4): 485–489. DOI: 10.3969/j.issn.1006-9941.2013.04.016.
  • 加载中
图(12) / 表(3)
计量
  • 文章访问数:  832
  • HTML全文浏览量:  344
  • PDF下载量:  92
  • 被引次数: 0
出版历程
  • 收稿日期:  2020-03-19
  • 修回日期:  2020-12-04
  • 网络出版日期:  2021-03-18
  • 刊出日期:  2021-05-05

目录

    /

    返回文章
    返回