• ISSN 1001-1455  CN 51-1148/O3
  • EI、Scopus、CA、JST、EBSCO、DOAJ收录
  • 力学类中文核心期刊
  • 中国科技核心期刊、CSCD统计源期刊

不同应变率下煤岩破坏特征及其本构模型

郑钰 施浩然 刘晓辉 张文举

郑钰, 施浩然, 刘晓辉, 张文举. 不同应变率下煤岩破坏特征及其本构模型[J]. 爆炸与冲击, 2021, 41(5): 053103. doi: 10.11883/bzycj-2020-0072
引用本文: 郑钰, 施浩然, 刘晓辉, 张文举. 不同应变率下煤岩破坏特征及其本构模型[J]. 爆炸与冲击, 2021, 41(5): 053103. doi: 10.11883/bzycj-2020-0072
ZHENG Yu, SHI Haoran, LIU Xiaohui, ZHANG Wenju. Failure characteristics and constitutive model of coal rock at different strain rates[J]. Explosion And Shock Waves, 2021, 41(5): 053103. doi: 10.11883/bzycj-2020-0072
Citation: ZHENG Yu, SHI Haoran, LIU Xiaohui, ZHANG Wenju. Failure characteristics and constitutive model of coal rock at different strain rates[J]. Explosion And Shock Waves, 2021, 41(5): 053103. doi: 10.11883/bzycj-2020-0072

不同应变率下煤岩破坏特征及其本构模型

doi: 10.11883/bzycj-2020-0072
基金项目: 四川省教育厅重点科研基金(18ZA0457);西华大学重点科研基金(Z17113);西华大学研究生创新基金(ycjj2020110);深地科学与工程教育部重点实验室(四川大学)开放基金(DESE202003)
详细信息
    作者简介:

    郑 钰(1997- ),女,硕士研究生,zhengyu@stu.xhu.edu.cn

    通讯作者:

    刘晓辉(1977- ),女,博士,副教授,liuxh@mail.xhu.edu.cn

  • 中图分类号: O382.2

Failure characteristics and constitutive model of coal rock at different strain rates

  • 摘要: 利用直径50 mm的分离式霍普金森压杆,对煤岩展开20~100 s−1动态应变率下的单轴冲击压缩试验,结合高速摄影分析其变形破坏特征,并建立基于Weibull统计分布和Drucker-Prager破坏准则的煤岩动态强度型统计损伤本构模型。试验结果表明:(1)煤岩动态应力-应变曲线存在明显的非线性特征,随应变率升高,动态抗压强度与弹性模量均呈线性增长且增幅显著,破坏形态由低应变率下的轴向劈裂破坏向高应变率下的压碎破坏过渡;(2)在动态应变率20~100 s−1下,煤岩破坏后碎块具有明显的分形特性,破碎块度分维值为1.9~2.2,且随着应变率的升高,煤岩破碎程度增大,碎块块度减小;(3)基于Weibull分布参数F0m和应变率的关系,修正煤岩的本构模型,并与试验结果进行对比,验证该模型的合理性。
  • 图  1  分离式霍普金森压杆装置示意图

    Figure  1.  Sketch map of a split Hopkinson pressure bar device

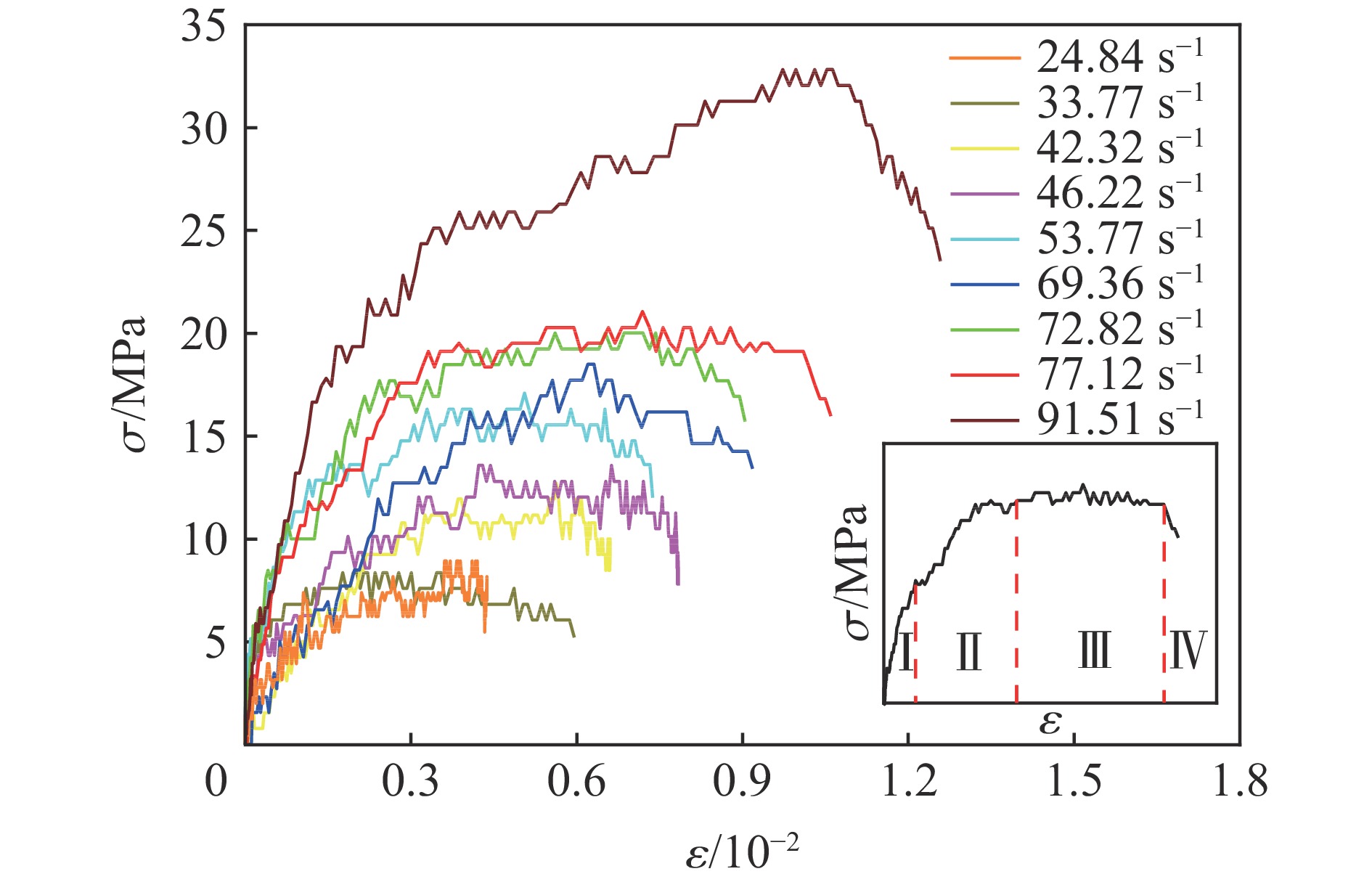
    图  2  煤岩动态应力-应变曲线

    Figure  2.  Dynamic stress-strain curves of coal rock

    图  3  不同应变率下的抗压强度

    Figure  3.  Compressive strengths under different strain rates

    图  4  不同应变率下的弹性模量

    Figure  4.  Elastic modulii under different strain rates

    图  5  不同应变率下煤岩的动态破碎特征

    Figure  5.  Dynamic fracture characteristics of coal rock at dfferent strain rates

    图  6  两个典型煤岩试样动态破坏过程的高速摄影图片

    Figure  6.  High-speed photographies for the dynamic fracturing process of two typical coal rock specimens

    图  7  煤岩破碎平均块度、分形维数与应变率的关系

    Figure  7.  Average fragmentation and fractal dimension of coal rock at different strain rates

    图  8  参数F0随应变率的变化关系

    Figure  8.  Variation of parameter F0 with strain rate

    图  9  参数m随应变率的变化关系

    Figure  9.  Variation of parameter m with strain rate

    图  10  不同应变率下煤岩试验和理论应力-应变曲线

    Figure  10.  Comparison between experimental and theoretical stress-strain curves of coal rock under different strain rates

    表  1  煤岩基本物理力学参数

    Table  1.   Basic physical and mechanical parameters of coal rock

    气压/MPa$\dot \varepsilon $/s−1D/mmLs/mmρ/(g·cm−3σd/MPaεm/10−2Ed/GPa变异系数/%
    ρEd
    0.3020.2248.2751.211.372 8.010.083.784.917
    22.9947.6150.171.462 7.190.242.73
    24.8447.5251.191.328 8.940.422.99
    0.3229.1247.4451.531.52110.460.303.634.614
    33.0947.3550.771.52213.440.494.85
    33.7747.9250.971.404 8.370.354.42
    0.3438.7848.3351.091.367 7.720.253.842.410
    42.3247.7350.021.43112.720.564.62
    42.5147.6550.851.418 7.530.304.04
    0.3646.2247.5151.151.29413.580.445.497.4 5
    52.0547.6351.031.50222.500.374.99
    57.6648.2150.071.41824.190.745.26
    0.3853.7747.5352.011.51317.090.517.7411.5 2
    60.6147.4351.151.29120.330.657.55
    61.5947.6350.491.21828.310.707.82
    0.4069.3647.3751.941.49218.490.636.032.212
    69.4947.9651.601.43814.480.346.97
    71.9047.4952.311.49520.990.427.70
    0.4272.8247.9450.951.44220.010.749.191.216
    76.0947.8150.751.45523.290.757.40
    87.5947.6051.621.47618.540.936.86
    0.4470.4447.4750.081.50725.920.489.213.815
    77.1248.2750.551.39621.050.728.36
    90.1547.9151.651.46126.050.676.82
    0.4691.5147.3551.561.47732.821.0610.99 2.113
    95.6947.4749.741.48930.960.6412.41
    98.4848.2350.951.43032.500.749.47
    下载: 导出CSV

    表  2  不同应变率下煤岩的破碎特征

    Table  2.   Fragmentation characteristics of coal rock at different strain rates

    应变率/s−1α相关系数分形维数平均块度/mm
    24.840.8640.6552.13647.36
    33.770.9670.9942.03336.52
    42.321.0920.9931.90837.08
    46.220.7770.9522.22337.11
    53.771.0310.9801.96935.37
    69.360.8970.9832.10332.31
    72.821.0040.9761.99633.02
    77.120.8170.9832.18431.62
    91.510.8460.9742.15431.16
    下载: 导出CSV

    表  3  本构模型参数计算结果

    Table  3.   Computational results of constitutive model parameters

    $\dot \varepsilon $/s−1F0/MPam
    24.8412.7572.945
    33.7714.6981.627
    42.3223.2401.407
    46.2223.3721.736
    53.7732.2531.195
    69.3633.8841.389
    72.8237.4230.818
    77.1240.2400.952
    91.5160.8000.790
    下载: 导出CSV
  • [1] 钱鸣高, 石平五, 许家林. 矿山压力与岩层控制[M]. 2版. 徐州: 中国矿业大学出版社, 2010: 1−2.
    [2] 刘晓辉, 张茹, 刘建锋. 不同应变率下煤岩冲击动力试验研究 [J]. 煤炭学报, 2012, 37(9): 1528–1534. DOI: 10.13225/j.cnki.jccs.2012.09.022.

    LIU X H, ZHANG R, LIU J F. Dynamic test study of coal rock under different strain rates [J]. Journal of China Coal Society, 2012, 37(9): 1528–1534. DOI: 10.13225/j.cnki.jccs.2012.09.022.
    [3] 李明, 茅献彪, 曹丽丽, 等. 高应变率下煤力学特性试验研究 [J]. 采矿与安全工程学报, 2015, 32(2): 317–324. DOI: 10.13545/j.cnki.jmse.2015.02.023.

    LI M, MAO X B, CAO L L, et al. Experimental study on mechanical properties of coal under high strain rate [J]. Journal of Mining and Safety Engineering, 2015, 32(2): 317–324. DOI: 10.13545/j.cnki.jmse.2015.02.023.
    [4] 王登科, 刘淑敏, 魏建平, 等. 冲击载荷作用下煤的破坏特性试验研究 [J]. 采矿与安全工程学报, 2017, 34(3): 594–600. DOI: 10.13545/j.cnki.jmse.2017.03.027.

    WANG D K, LIU S M, WEI J P, et al. The failure characteristics of coal under impact load in laboratory [J]. Journal of Mining and Safety Engineering, 2017, 34(3): 594–600. DOI: 10.13545/j.cnki.jmse.2017.03.027.
    [5] AI D H, ZHAO Y C, WANG Q F, et al. Crack propagation and dynamic properties of coal under SHPB impact loading: experimental investigation and numerical simulation [J]. Theoretical and Applied Fracture Mechanics, 2020, 105: 102393. DOI: 10.1016/j.tafmec.2019.102393.
    [6] 李成武, 王金贵, 解北京, 等. 基于HJC本构模型的煤岩SHPB实验数值模拟 [J]. 采矿与安全工程学报, 2016, 33(1): 158–164. DOI: 10.13545/j.cnki.jmse.2016.01.025.

    LI C W, WANG J G, XIE B J, et al. Numerical simulation of SHPB tests for coal by using HJC model [J]. Journal of Mining and Safety Engineering, 2016, 33(1): 158–164. DOI: 10.13545/j.cnki.jmse.2016.01.025.
    [7] 谢和平, 高峰, 周宏伟, 等. 岩石断裂和破碎的分形研究 [J]. 防灾减灾工程学报, 2003, 23(4): 1–9. DOI: 10.3969/j.issn.1672-2132.2003.04.001.

    XIE H P, GAO F, ZHOU H W, et al. Fractal fracture and fragmentation in rocks [J]. Journal of Disaster Prevention and Mitigation Engineering, 2003, 23(4): 1–9. DOI: 10.3969/j.issn.1672-2132.2003.04.001.
    [8] 高峰, 谢和平, 赵鹏. 岩石块度分布的分形性质及细观结构效应 [J]. 岩石力学与工程学报, 1994, 13(3): 240–246.

    GAO F, XIE H P, ZHAO P. Fractal properties of size-frequency distribution of rock fragments and the influence of meso-structure [J]. Chinese Journal of Rock Mechanics and Engineering, 1994, 13(3): 240–246.
    [9] 张文清, 石必明, 穆朝民. 冲击载荷作用下煤岩破碎与耗能规律实验研究 [J]. 采矿与安全工程学报, 2016, 33(2): 375–380. DOI: 10.13545/j.cnki.jmse.2016.02.029.

    ZHANG W Q, SHI B M, MU C M. Experimental research on failure and energy dissipation law of coal under impact load [J]. Journal of Mining and Safety Engineering, 2016, 33(2): 375–380. DOI: 10.13545/j.cnki.jmse.2016.02.029.
    [10] 丁鑫, 肖晓春, 吕祥锋, 等. 煤体破裂分形特征与声发射规律研究 [J]. 煤炭学报, 2018, 43(11): 3080–3087. DOI: 10.13225/j.cnki.jccs.2017.1724.

    DING X, XIAO X C, LV X F, et al. Investigate on the fractal characteristics and acoustic emission of coal fracture [J]. Journal of China Coal Society, 2018, 43(11): 3080–3087. DOI: 10.13225/j.cnki.jccs.2017.1724.
    [11] ZHAO Y X, GONG S, ZHANG C G, et al. Fractal characteristics of crack propagation in coal under impact loading [J]. Fractals, 2018, 26(2): 1840014. DOI: 10.1142/S0218348X18400145.
    [12] LINDHOLM U S, YEAKLEY L M, NAGY A. The dynamic strength and fracture properties of dresser basalt [J]. International Journal of Rock Mechanics and Mining Sciences & Geomechanics Abstracts, 1974, 11(5): 181–191. DOI: 10.1016/0148-9062(74)90885-7.
    [13] 赵光明, 谢理想, 孟祥瑞. 软岩的动态力学本构模型 [J]. 爆炸与冲击, 2013, 33(2): 126–132. DOI: 10.11883/1001-1455(2013)02-0126-07.

    ZHAO G M, XIE L X, MENG X R. A constitutive model for soft rock under impact load [J]. Explosion and Shock Waves, 2013, 33(2): 126–132. DOI: 10.11883/1001-1455(2013)02-0126-07.
    [14] 穆朝民, 宫能平. 煤体在冲击荷载作用下的损伤机制 [J]. 煤炭学报, 2017, 42(8): 2011–2018. DOI: 10.13225/j.cnki.jccs.2016.1522.

    MU C M, GONG N P. Damage mechanism of coal under impact loads [J]. Journal of China Coal Society, 2017, 42(8): 2011–2018. DOI: 10.13225/j.cnki.jccs.2016.1522.
    [15] LIU X S, TAN Y L, NING J G, et al. Mechanical properties and damage constitutive model of coal in coal-rock combined body [J]. International Journal of Rock Mechanics and Mining Sciences, 2018, 110: 140–150. DOI: 10.1016/j.ijrmms.2018.07.020.
    [16] 付玉凯, 解北京, 王启飞. 煤的动态力学本构模型 [J]. 煤炭学报, 2013, 38(10): 1769–1774. DOI: 10.13225/j.cnki.jccs.2013.10.022.

    FU Y K, XIE B J, WANG Q F. Dynamic mechanical constitutive model of the coal [J]. Journal of China Coal Society, 2013, 38(10): 1769–1774. DOI: 10.13225/j.cnki.jccs.2013.10.022.
    [17] 郭德勇, 吕鹏飞, 赵杰超, 等. 煤岩冲击变形破坏特性及其本构模型 [J]. 煤炭学报, 2018, 43(8): 2233–2242. DOI: 10.13225/j.cnki.jccs.2018.0300.

    GUO D Y, LV P F, ZHAO J C, et al. Deformation and damage characteristics and constitutive model of coal and rock under impact loading [J]. Journal of China Coal Society, 2018, 43(8): 2233–2242. DOI: 10.13225/j.cnki.jccs.2018.0300.
    [18] 解北京, 严正. 基于层叠模型组合煤岩体动态力学本构模型 [J]. 煤炭学报, 2019, 44(2): 463–472. DOI: 10.13225/j.cnki.jccs.2018.1007.

    XIE B J, YAN Z. Dynamic mechanical constitutive model of combined coal-rock mass based on overlay model [J]. Journal of China Coal Society, 2019, 44(2): 463–472. DOI: 10.13225/j.cnki.jccs.2018.1007.
    [19] 朱晶晶, 李夕兵, 宫凤强, 等. 单轴循环冲击下岩石的动力学特性及其损伤模型研究 [J]. 岩土工程学报, 2013, 35(3): 531–539.

    ZHU J J, LI X B, GONG F Q, et al. Dynamic characteristics and damage model for rock under uniaxial cyclic impact compressive loads [J]. Chinese Journal of Geotechnical Engineering, 2013, 35(3): 531–539.
    [20] 胡学龙, 李克庆, 璩世杰. 基于统一强度理论的岩石弹塑性本构模型及其数值实现 [J]. 爆炸与冲击, 2019, 39(8): 083108. DOI: 10.11883/bzycj-2019-0044.

    HU X L, LI K Q, QU S J. The elastoplastic constitutive model of rock and its numerical implementation based on unified strength theory [J]. Explosion and Shock Waves, 2019, 39(8): 083108. DOI: 10.11883/bzycj-2019-0044.
    [21] 王登科, 刘淑敏, 魏建平, 等. 冲击破坏条件下煤的强度型统计损伤本构模型与分析 [J]. 煤炭学报, 2016, 41(12): 3024–3031. DOI: 10.13225/j.cnki.jccs.2016.0540.

    WANG D K, LIU S M, WEI J P, et al. Analysis and strength statistical damage constitutive model of coal under impacting failure [J]. Journal of China Coal Society, 2016, 41(12): 3024–3031. DOI: 10.13225/j.cnki.jccs.2016.0540.
    [22] 王恩元, 孔祥国, 何学秋, 等. 冲击载荷下三轴煤体动力学分析及损伤本构方程 [J]. 煤炭学报, 2019, 44(7): 2049–2056. DOI: 10.13225/j.cnki.jccs.2018.1314.

    WANG E Y, KONG X G, HE X Q, et al. Dynamics analysis and damage constitute equation of triaxial coal mass under impact load [J]. Journal of China Coal Society, 2019, 44(7): 2049–2056. DOI: 10.13225/j.cnki.jccs.2018.1314.
    [23] ULUSAY R. The ISRM suggested methods for rock characterization, testing and monitoring: 2007−2014 [M]. Cham: Springer, 2014: 47−48. DOI: 10.1007/978-3-319-07713-0.
    [24] LIU X H, DAI F, ZHANG R, et al. Static and dynamic uniaxial compression tests on coal rock considering the bedding directivity [J]. Environmental Earth Sciences, 2015, 73(10): 5933–5949. DOI: 10.1007/s12665-015-4106-3.
    [25] 煤炭科学研究总院开采设计研究分院, 煤炭科学研究总院检测研究分院. 煤和岩石物理力学性质测定方法 第1部分: 采样一般规定: GB/T 23561.1—2009 [S]. 北京: 中国标准出版社, 2009.
    [26] 刘晓辉, 郝齐钧, 吴世勇, 等. 准静态应变率下的煤岩非线性力学特性 [J]. 煤炭学报, 2019, 44(5): 1437–1445. DOI: 10.13225/j.cnki.jccs.2019.6008.

    LIU X H, HAO Q J, WU S Y, et al. Nonlinear mechanical properties of coal rock under quasi-static strain rate [J]. Journal of China Coal Society, 2019, 44(5): 1437–1445. DOI: 10.13225/j.cnki.jccs.2019.6008.
    [27] 高峰, 谢和平, 巫静波. 岩石损伤和破碎相关性的分形分析 [J]. 岩石力学与工程学报, 1999, 18(5): 503–506. DOI: 10.3321/j.issn: 1000-6915.1999.05.002.

    GAO F, XIE H P, WU J B. Fractal analysis of the relation between rock damage and rock fragmentation [J]. Chinese Journal of Rock Mechanics and Engineering, 1999, 18(5): 503–506. DOI: 10.3321/j.issn: 1000-6915.1999.05.002.
    [28] 谢和平, 高峰. 岩石类材料损伤演化的分形特征 [J]. 岩石力学与工程学报, 1991, 10(1): 74–82.

    XIE H P, GAO F. The fractal features of the damage evolution of rock materials [J]. Chinese Journal of Rock Mechanics and Engineering, 1991, 10(1): 74–82.
    [29] 刘晓辉, 余洁, 康家辉, 等. 不同围压下煤岩强度及变形特征研究 [J]. 地下空间与工程学报, 2019, 15(5): 1341–1352.

    LIU X H, YU J, KANG J H, et al. Study on strength and deformation characteristics of coal-rock under different confining pressures [J]. Chinese Journal of Underground Space and Engineering, 2019, 15(5): 1341–1352.
  • 加载中
图(10) / 表(3)
计量
  • 文章访问数:  1258
  • HTML全文浏览量:  548
  • PDF下载量:  182
  • 被引次数: 0
出版历程
  • 收稿日期:  2020-03-19
  • 修回日期:  2021-01-15
  • 网络出版日期:  2021-04-08
  • 刊出日期:  2021-05-05

目录

    /

    返回文章
    返回