A simplified theoretical model for attack angle change of a hemispherically-nosed projectile while penetrating the stiffener of a ship plate frame
-
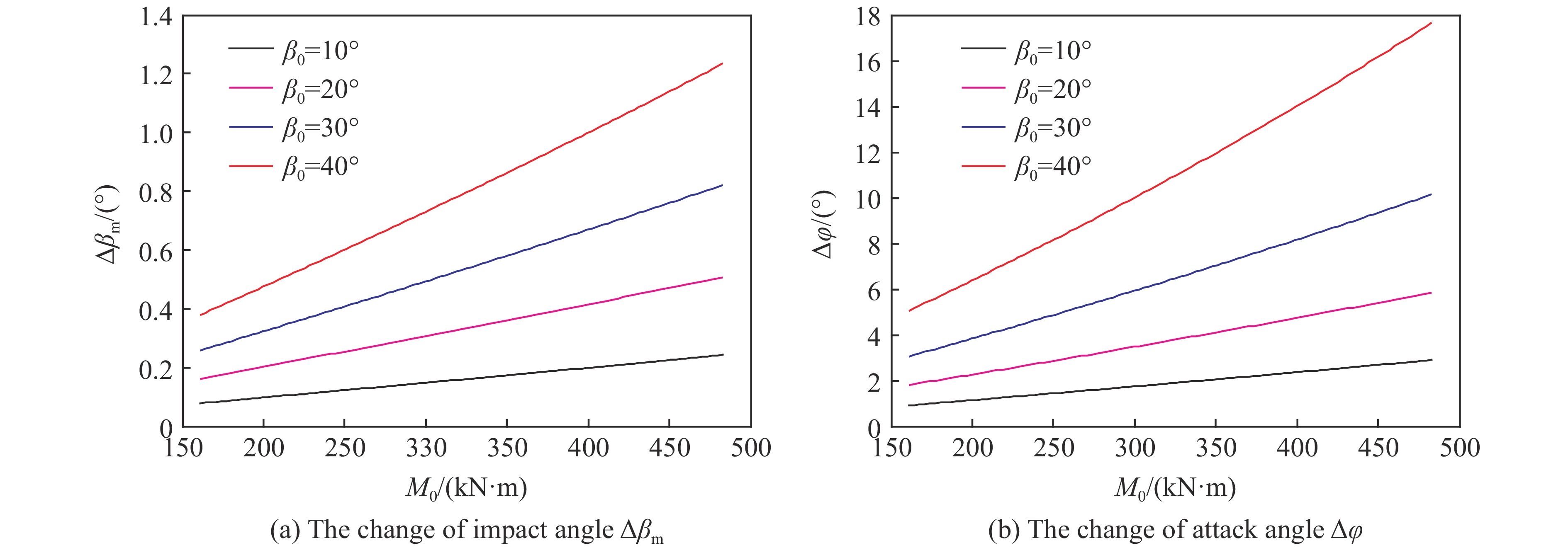
摘要: 舰船板架结构加强筋对于弹体侵彻着角与攻角变化有较大影响,而目前对此尚无理论模型。本文开展板架加强筋对弹体攻角变化的理论研究。针对刚性球头弹体侵彻舰船板架结构加强筋问题,将加强筋简化为刚塑性梁模型,建立了侵彻过程力学模型,给出了弹体剩余速度、着角和攻角变化的求解公式。公式表明弹体攻角与着角的变化与弹体初始速度、初始着角、初始攻角以及加强筋极限弯矩有关。通过编程求解理论公式,发现初始着角对于侵彻结束攻角和着角变化的影响大于初始攻角;初始着角超过某一值后,攻角改变会急剧增大,而当初始着角超过另一极限值后会发生弹体跳飞;初始速度越高,弹体侵彻结束后着角和攻角变化越小;加强筋的极限弯矩对弹体攻角改变有较大影响。Abstract: At present, there is no theoretical model for the influence of stiffeners on the impact angle and attack angle of a projectile penetrating a ship plate frame. In this paper, the problem of the rigid hemispherical nosed projectile penetrating the stiffener of the ship's plate frame is studied to give theoretical solution of the change of the attack angle. The stiffener is simplified as a rigid-plastic beam, the motion of which is controlled by plasto-dynamic equations of small deformation. By solving the coupled kinetic equations of the projectile and the beam, the deflection of the beam and the motion of the plastic hinges are obtained. The fracture of the beam is assumed to occur when the maximum tensile strain of the beam reaches the fracture strain of the material. By the above methods, the mechanical model of the penetration process is established. The formulas for the residual velocity, the change of impact angle, and the change of attack angle of the projectile are given. The formulas show that the change of impact angle and attack angle is related to the initial velocity, initial impact angle, initial attack angle, and the ultimate moment of the stiffener. By programming the theoretical formula, it is found that the influence of initial impact angle on the change of impact angle and attack angle at the end of penetration is greater than that of the initial attack angle. When the initial impact angle exceeds a certain value, the change of attack angle will increase dramatically. When the initial impact angle exceeds another limit value, the projectile will ricochet. A higher initial velocity corresponds to a smaller change of the impact angle and the attack angle. The ultimate moment of the stiffener has an important influence on the change of the attack angle.
-
Key words:
- penetration /
- plate frame /
- attack angle /
- impact angle /
- residual velocity
-
表 1 板架结构与弹体材料参数
Table 1. Material parameters of the plate frame and the projectile
材料型号 密度/(kg·m−3) 弹性模量/GPa 泊松比 屈服应力/MPa 硬化模量/GPa D p 921A 7 850 202 0.30 685 1.060 8 000 0.8 30CrMnSiNi2A 7 850 517 0.28 1 600 0.594 4 322 0.2 表 2 板架结构参数表
Table 2. Structural parameters of the plate frame
板厚/mm 纵骨 横梁 尺寸/mm 间距/m 尺寸/mm 间距/m 8 $\bot \dfrac{ { {\rm{115} } \times 1{\rm{5} } } }{ {1{\rm{00} } \times {\rm{15} } } }$ 0.6 $\bot \dfrac{ {200 \times 6} }{ {80 \times 8} }$ 1.2 表 3 数值与理论剩余速度结果比对
Table 3. Comparison of the numerical and theoretical results of the residual velocity
v0/(m∙s−1) β0/(°) φ0/(°) Δv/(m∙s−1) 理论 数值 误差/% 750 10 5 14.64 16.59 11.8 750 20 5 14.78 16.88 12.4 750 30 5 14.98 17.52 14.5 750 40 5 15.34 18.83 18.5 750 50 5 16.11 19.13 15.8 750 40 10 15.42 17.99 14.3 650 40 10 18.35 20.79 11.7 550 40 10 23.04 25.59 10.0 表 4 数值与理论着角结果比对
Table 4. Comparison of the numerical and theoretical results of the impact angle
v0/(m∙s−1) β0/(°) φ0/(°) Δβm/(°) 理论 数值 误差/% 750 10 5 0.23 0.20 15.0 750 20 5 0.44 0.39 12.8 750 30 5 0.75 0.70 7.2 750 40 5 1.07 0.98 9.2 750 50 5 1.51 1.31 15.3 750 40 10 1.02 0.97 5.2 650 40 10 1.43 1.32 8.3 550 40 10 2.14 2.01 6.5 450 40 10 2.51 2.39 5.0 表 5 数值与理论攻角结果比对
Table 5. Comparison of the numerical and theoretical results of the attack angle
v0/(m∙s−1) β0/(°) φ0/(°) Δφ/(°) 理论 数值 误差/% 750 10 5 0.08 0.07 14.3 750 20 5 0.17 0.16 6.3 750 30 5 0.19 0.18 5.6 750 40 5 0.23 0.20 15.0 750 50 5 2.01 1.92 4.7 750 40 10 0.43 0.4 7.5 650 40 10 1.21 1.15 5.2 550 40 10 4.98 4.56 9.2 450 40 10 5.35 5.21 2.7 靶板 材料 板厚 纵骨截面积 横梁截面积 纵骨间距 横梁间距 第1层 907A t 34.4t2 91.9t2 δl 3.65δl 第2层 921A 2t 34.4t2 91.9t2 δl 3.65δl 第3层 907A t 34.4t2 91.9t2 δl 3.65δl 第4层 907A t 34.4t2 91.9t2 δl 3.65δl -
[1] 钱伟长. 穿甲力学[M]. 北京: 国防工业出版社, 1984. [2] ANDERSON C E. Analytical models for penetration mechanics: a review [J]. International Journal of Impact Engineering, 2017, 108(10): 3–26. DOI: 10.1016/j.ijimpeng.2017.03.018. [3] 张中国, 黄风雷, 段卓平, 等. 弹体侵彻带加强筋结构靶的实验研究 [J]. 爆炸与冲击, 2004, 24(5): 431–436.ZHANG Z G, HUANG F L, DUAN Z P, et al. The experimental research for projectile penetrating the structural target with rebar [J]. Explosion and Shock Waves, 2004, 24(5): 431–436. [4] 段卓平. 半穿甲弹丸对加筋靶板侵彻的终点弹道的实验和理论研究 [J]. 爆炸与冲击, 2005, 25(6): 547–552. DOI: 10.11883/1001-1455(2005)06-0547-06.DUAN Z P. The experimental and theoretical research for end-point trajectory of warhead penetrating ribbings structural target [J]. Explosion and Shock Waves, 2005, 25(6): 547–552. DOI: 10.11883/1001-1455(2005)06-0547-06. [5] 段卓平, 张中国, 李金柱, 等. 半穿甲战斗部对加筋靶板和均质靶板垂直侵彻的实验研究 [J]. 弹箭与制导学报, 2005, 25(2): 148–150,157. DOI: 10.3969/j.issn.1673-9728.2005.02.051.DUAN Z P, ZHANG Z G, LI J Z, et al. The experimental research for warhead vertically penetrating homogeneous and ribbings structural target [J]. Journal of Projectiles, Rockets, Missiles and Guidance, 2005, 25(2): 148–150,157. DOI: 10.3969/j.issn.1673-9728.2005.02.051. [6] 姚熊亮, 吴子奇, 王治, 等. 战斗部对舰船靶标侵彻毁伤效能研究 [J]. 哈尔滨工程大学学报, 2019, 40(1): 141–145. DOI: 10.11990/jheu.201808002.YAO X L, WU Z Q, WANG Z, et al. Study on damage effectiveness of warhead on ship target [J]. Journal of Harbin Engineering University, 2019, 40(1): 141–145. DOI: 10.11990/jheu.201808002. [7] 宋卫东, 宁建国, 张中国, 等. 多层加筋靶板的侵彻模型与等效方法 [J]. 弹道学报, 2004(3): 54–59. DOI: 10.3969/j.issn.1004-499X.2004.03.010.SONG W D, NING J G, ZHANG Z G, et al. Penetration model and equivalence method of multi-layered stiffened plates [J]. Journal of Ballistics, 2004(3): 54–59. DOI: 10.3969/j.issn.1004-499X.2004.03.010. [8] 宋卫东, 宁建国. 刚性弹体侵彻加筋靶板的力学模型 [J]. 弹道学报, 2007(4): 47–50. DOI: 10.3969/j.issn.1004-499X.2007.04.012.SONG W D, NING J G. Mechanical model of rigid projectile penetrating stiffened plates [J]. Journal of Ballistics, 2007(4): 47–50. DOI: 10.3969/j.issn.1004-499X.2007.04.012. [9] 展婷变, 吕淑芳, 黄德雨. 截卵形弹体正侵彻加强筋结构靶的理论分析 [J]. 弹道学报, 2012(1): 52–57. DOI: 10.3969/j.issn.1004-499X.2012.01.011.ZHAN T B, LV S F, HUANG D Y. Theoretical analysis on normal penetration of truncated oval-nosed projectile into stiffened plate [J]. Journal of Ballistics, 2012(1): 52–57. DOI: 10.3969/j.issn.1004-499X.2012.01.011. [10] 巨圆圆, 张庆明. 尖卵形弹丸侵彻加筋薄靶剩余速度的理论分析 [J]. 兵工学报, 2015, 36(S1): 126–130.JU Y Y, ZHANG Q M. Theoretical analysis on residual velocity of oval-nosed projectile penetrating into stiffened thin plate [J]. Acta Armamentarii, 2015, 36(S1): 126–130. [11] 徐双喜, 吴卫国, 李晓彬, 等. 截锥形弹穿甲单加筋板的破坏特性 [J]. 爆炸与冲击, 2011, 31(1): 65–71. DOI: 10.11883/1001-1455(2011)01-0062-07.XU S X, WU W G, LI X B, et al. Falure characteristics of a conical projectile penetrating single stiffened plate [J]. Explosion and Shock Waves, 2011, 31(1): 65–71. DOI: 10.11883/1001-1455(2011)01-0062-07. [12] NORMAM J著. 结构冲击[M]. 2版. 许俊, 蒋平,译. 北京: 国防工业出版社, 2018: 72−79. [13] 吴子奇. 弹目结合的反舰导弹对目标舰船靶标侵彻毁伤研究[D]. 哈尔滨: 哈尔滨工程大学, 2019. -


下载: