• ISSN 1001-1455  CN 51-1148/O3
  • EI、Scopus、CA、JST、EBSCO、DOAJ收录
  • 力学类中文核心期刊
  • 中国科技核心期刊、CSCD统计源期刊

泡沫金属夹芯梁在重复冲击下的动态响应

朱凌 郭开岭 余同希 李应刚

朱凌, 郭开岭, 余同希, 李应刚. 泡沫金属夹芯梁在重复冲击下的动态响应[J]. 爆炸与冲击, 2021, 41(7): 073101. doi: 10.11883/bzycj-2020-0198
引用本文: 朱凌, 郭开岭, 余同希, 李应刚. 泡沫金属夹芯梁在重复冲击下的动态响应[J]. 爆炸与冲击, 2021, 41(7): 073101. doi: 10.11883/bzycj-2020-0198
ZHU Ling, GUO Kailing, YU Tongxi, LI Yinggang. Dynamic responses of metal foam sandwich beams to repeated impacts[J]. Explosion And Shock Waves, 2021, 41(7): 073101. doi: 10.11883/bzycj-2020-0198
Citation: ZHU Ling, GUO Kailing, YU Tongxi, LI Yinggang. Dynamic responses of metal foam sandwich beams to repeated impacts[J]. Explosion And Shock Waves, 2021, 41(7): 073101. doi: 10.11883/bzycj-2020-0198

泡沫金属夹芯梁在重复冲击下的动态响应

doi: 10.11883/bzycj-2020-0198
基金项目: 国家自然科学基金(11972269)
详细信息
    作者简介:

    朱 凌(1962- ),男,博士,教授,ZL79111@hotmail.com

    通讯作者:

    郭开岭(1989- ),男,博士,讲师,guokailing2008@163.com

  • 中图分类号: O347.3

Dynamic responses of metal foam sandwich beams to repeated impacts

  • 摘要: 为了研究重复冲击载荷作用下泡沫金属夹芯梁的动态响应,采用Abaqus数值仿真软件,基于可压碎泡沫模型(crushable foam),建立了泡沫金属夹芯梁遭受楔形质量块冲击的有限元模型。通过将仿真获得的夹芯梁上下面板最终挠度与重复冲击实验结果进行对比,验证仿真方法的准确性。在此基础之上,分析了泡沫金属夹芯梁在楔形质量块重复冲击作用下的变形模式、加卸载过程以及能量耗散特性。结果表明,在重复冲击载荷作用下,夹芯梁的变形不断累积,上面板主要出现局部凹陷和整体弯曲,而芯层则是局部压缩,下面板表现为整体弯曲。在重复加卸载过程中,加卸载刚度随着冲击次数的增加而增大。随着冲击次数的增加,上面板和芯层的能量吸收增量不断减小,而下面板的能量吸收增量不断增加,且最终均趋于稳定。泡沫金属夹芯梁的塑性变形能增量不断减小,而回弹系数随着冲击次数逐渐增加,最后趋于稳定值。
  • 图  1  低碳钢和泡沫铝的塑性应力应变曲线

    Figure  1.  Plastic stress-strain curves of mild steel and aluminum foam

    图  2  夹芯梁有限元模型

    Figure  2.  The finite element model for the sandwich beam

    图  3  实验装置

    Figure  3.  Experimental apparent

    图  4  不同冲击次数时夹芯梁最终变形对比

    Figure  4.  Comparison of permanent deflections in different impact numbers

    图  5  冲击力时程曲线对比

    Figure  5.  Comparison of time histories of impact force

    图  6  最终挠度的数值仿真结果与实验结果的对比

    Figure  6.  Comparison of permanent deflections between numerical simulation and impact test

    图  7  夹芯梁重复冲击变形过程

    Figure  7.  Deformation process of the sandwich beam under repeated impacts

    图  8  泡沫金属夹芯梁受力和变形情况

    Figure  8.  Stress state and deformation of the sandwich beam

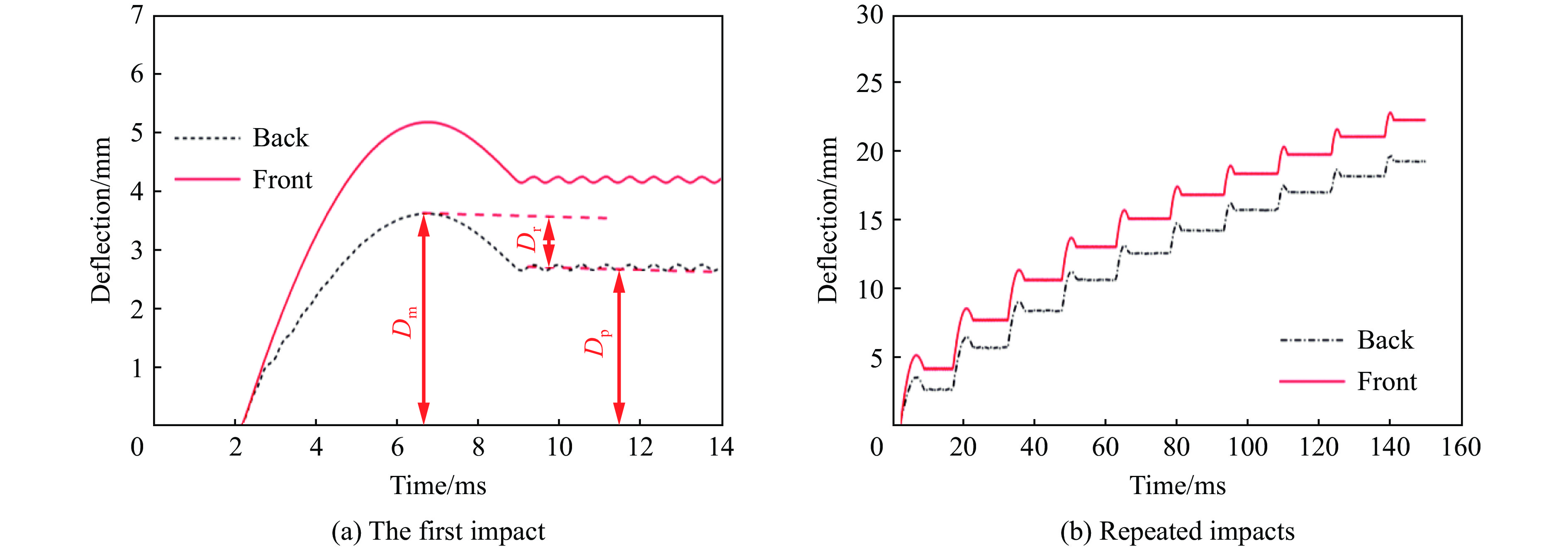
    图  9  夹芯梁上、下面板中点挠度时程曲线

    Figure  9.  Time histories of deflections of the front and back faces of the sandwich beam

    图  10  冲击力-位移曲线

    Figure  10.  Force-displacement curves

    图  11  泡沫金属夹芯梁各部分的变形能时程曲线

    Figure  11.  Time histories of energy absorption for different parts of the metal foam sandwich beam

    图  12  不同冲击次数下夹芯梁各部分的能量吸收

    Figure  12.  Energy absorption for different parts of the metal foam sandwich beam at different impact numbers

    图  13  不同冲击次数下的回弹特性

    Figure  13.  Rebound characteristics at different impact numbers

    图  14  不同冲击次数下的能量吸收效率

    Figure  14.  Energy absorption efficiency at different impact numbers

    图  15  不同冲击次数下的回弹因数

    Figure  15.  Rebound coefficient at different impact numbers

  • [1] ZHU L. Dynamic inelastic behaviour of ship plates in collision [D]. Glasgow: University of Glasgow, 1990: 45−56.
    [2] ZHU L. Faulkner D. Damage estimate for plating of ships and platforms under repeated impacts [J]. Marine Structures, 1996, 9(9): 697–720. DOI: 10.1016/0951-8339(95)00018-6.
    [3] ZHU L, CAI W, CHEN M S, et al. Dynamic analysis of ship plates under repeated ice floes impacts based on a simplified ship-ice collision model [C]//Proceedings of the 28th International Ocean and Polar Engineering Conference. Sapporo, Japan: International Society of Offshore and Polar Engineers, 2018: 1718−1723.
    [4] ZHU L, SHI S Y, JONES N. Dynamic response of stiffened plates under repeated impacts [J]. International Journal of Impact Engineering, 2018, 117: 113–122. DOI: 10.1016/j.ijimpeng.2018.03.006.
    [5] 杨宝, 汤立群, 刘逸平, 等. 冲击条件下泡沫铝的细观变形特征分析 [J]. 爆炸与冲击, 2012, 32(4): 399–403. DOI: 10.11883/1001-1455(2012)04-0399-05.

    YANG B, TANG L Q, LIU Y P, et al. Meso deformation characteristics analysis of aluminum foam under impact [J]. Explosion and Shock Waves, 2012, 32(4): 399–403. DOI: 10.11883/1001-1455(2012)04-0399-05.
    [6] 王鹏飞, 徐松林, 李志斌, 等. 高温下轻质泡沫铝动态力学性能实验 [J]. 爆炸与冲击, 2014, 34(4): 433–438. DOI: 10.11883/1001-1455(2014)04-0433-06.

    WANG P F, XU S L, LI Z B, et al. An experimental study on dynamic mechanical property of ultra-light aluminum foam under high temperatures [J]. Explosion and Shock Waves, 2014, 34(4): 433–438. DOI: 10.11883/1001-1455(2014)04-0433-06.
    [7] YU J L, WANG X, WEI Z G, et al. Deformation and failure mechanism of dynamically loaded sandwich beams with aluminum-foam core [J]. International Journal of Impact Engineering, 2003, 28(3): 331–347. DOI: 10.1016/S0734-743X(02)00053-2.
    [8] YU J L, WANG E H, LI J R, et al. Static and low-velocity impact behavior of sandwich beams with closed-cell aluminum-foam core in three-point bending [J]. International Journal of Impact Engineering, 2008, 35(8): 885–894. DOI: 10.1016/j.ijimpeng.2008.01.006.
    [9] TAN Z H, LUO H H, LONG W G, et al. Dynamic response of clamped sandwich beam with aluminum alloy foam core subjected to impact loading [J]. Composites Part B: Engineering, 2013, 46: 39–45. DOI: 10.1016/j.compositesb.2012.10.044.
    [10] 敬霖, 王志华, 赵隆茂, 等. 撞击载荷下泡沫铝夹芯梁的塑性动力响应 [J]. 爆炸与冲击, 2010, 30(6): 561–568. DOI: 10.11883/1001-1455(2010)06-0561-08.

    JING L, WANG Z H, ZHAO L M, et al. Dynamic plastic response of foam sandwich beams subjected to impact loading [J]. Explosion and Shock Waves, 2010, 30(6): 561–568. DOI: 10.11883/1001-1455(2010)06-0561-08.
    [11] JING L, WANG Z H, NING J G, et al. The dynamic response of sandwich beams with open-cell metal foam cores [J]. Composites Part B: Engineering, 2011, 42(1): 1–10. DOI: 10.1016/j.compositesb.2010.09.024.
    [12] DESHPANDE V S, FLECK N A. Isotropic constitutive models for metallic foams [J]. Journal of the Mechanics and Physics of Solids, 2000, 48(6−7): 1253–1283. DOI: 10.1016/S0022-5096(99)00082-4.
    [13] QIU X M, DESHPANDE V S, FLECK N A. Finite element analysis of the dynamic response of clamped sandwich beams subject to shock loading [J]. European Journal of Mechanics: A/Solids, 2003, 22(6): 801–814. DOI: 10.1016/j.euromechsol.2003.09.002.
    [14] TILBROOK M T, DESHPANDE V S, FLECK N A. Underwater blast loading of sandwich beams: regimes of behaviour [J]. International Journal of Solids and Structures, 2009, 46(17): 3209–3221. DOI: 10.1016/j.ijsolstr.2009.04.012.
    [15] JING L, SU X Y, CHEN D, et al. Experimental and numerical study of sandwich beams with layered-gradient foam cores under low-velocity impact [J]. Thin-Walled Structures, 2019, 135: 227–244. DOI: 10.1016/j.tws.2018.11.011.
    [16] QIU X M, DESHPANDE V S, FLECK N A. Impulsive loading of clamped monolithic and sandwich beams over a central patch [J]. Journal of the Mechanics and Physics of Solids, 2005, 53(5): 1015–1046. DOI: 10.1016/j.jmps.2004.12.004.
    [17] QIN Q H, WANG T J. Low-velocity heavy-mass impact response of slender metal foam core sandwich beam [J]. Composite Structures, 2011, 93(6): 1526–1537. DOI: 10.1016/j.compstruct.2010.11.018.
    [18] QIN Q H, WANG T J. Low-velocity impact response of fully clamped metal foam core sandwich beam incorporating local denting effect [J]. Composite Structures, 2013, 96: 346–356. DOI: 10.1016/j.compstruct.2012.09.024.
  • 加载中
图(15)
计量
  • 文章访问数:  1074
  • HTML全文浏览量:  440
  • PDF下载量:  225
  • 被引次数: 0
出版历程
  • 收稿日期:  2020-06-16
  • 修回日期:  2021-03-17
  • 网络出版日期:  2021-07-06
  • 刊出日期:  2021-07-05

目录

    /

    返回文章
    返回