An experimental study on the explosion process of high-temperature molten tin liquid contacted with water
-
摘要: 为研究低熔点金属锡遇水爆炸机理及能量转化过程,搭建了一套由高频熔融炉、高速摄像机和信号采集仪等组成的可视化实验平台,监测锡与水的质量比为5、10、15和20时熔融锡液与水接触反应过程,并选取中高熔点金属铝进行相同条件下的对比实验。同时,结合能量守恒定律、爆炸冲击理论建立数学计算模型,用于定量分析爆炸冲击波能量。结果表明:质量比为5时,熔融锡液与水反应触发2次蒸汽爆炸;由相同条件下熔融铝液遇水爆炸实验,反应剧烈程度和持续时间与金属碎化程度和金属热扩散率有关。此外,高温熔融锡液遇水爆炸过程中,0.45%~10.91%热能转化为冲击波能量。随着质量比的增加,冲击波能量转化率呈现先增后减趋势;当质量比为10时,冲击波能量转化率最大。由锡/铝遇水爆炸实验的冲击波压力曲线可知,当质量比小于12.69时,锡液遇水爆炸实验的冲击波能量转化率高于铝液遇水爆炸实验的冲击波能量转化率。Abstract: To study the explosion mechanism and the energy conversion process of the interaction between low melting point metal tin and water, a visual experiment platform is built to monitor the contact reaction processes at different mass ratios of tin to water, e.g., 5, 10, 15 and 20. The platform consists of a high-frequency melting furnace, a high-speed camera, signal collectors and other equipment. Meanwhile, high melting point metal aluminum is selected for comparative experiments under the same experimental conditions to explore the differences in reaction characteristics between low melting point metal tin and high melting point metal aluminum during the steam explosion. Some mathematical calculation models are established to quantitatively analyze the shock wave energy in line with the law of conservation and explosive shock theory. The results show that two steam explosions are triggered when molten tin reacted with water at a mass ratio 5; and in the comparative explosion experiments of molten tin with water and molten aluminum with water under the same experimental conditions, the reaction intensity and the duration during the explosion of molten metal with water are respectively related to the degree of fragmentation and thermal diffusivity. In addition, the calculation indicates that about 0.45% to 10.91% of the heat energy stored in the molten tin is converted into the explosion shock wave energy throughout the steam explosions. Moreover, the shock wave energy conversion ratio is affected by the mass ratio; and this effect is reflected in that the energy conversion ratio of the shock wave first increases and then decreases with the increase in mass ratio; when the mass ratio is 10, the energy conversion ratio is the largest. It is also found in comparison experiments that the shock wave energy conversion ratios in the explosion experiments of tin reacting with water are higher than the shock wave energy conversion ratios in the explosion experiments of aluminum reacting with water when the mass ratio is less than 12.69.
-
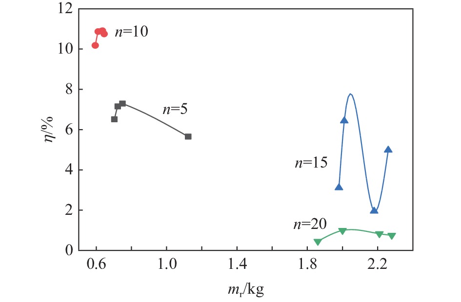
表 1 高温熔融锡液遇水的实验数据
Table 1. Experimental data of high-temperature molten tin liquid contacted with water
mr/kg mw/kg n Qr/kJ ∆p/MPa w/kg η/% 0.7031 0.140 5 199.36 0.22 0.0031 6.51 0.7224 0.144 204.84 0.24 0.0035 7.15 0.7490 0.150 212.38 0.25 0.0037 7.29 1.1230 0.225 318.43 0.28 0.0043 5.65 0.5944 0.059 10 168.54 0.27 0.0041 10.18 0.6108 0.061 173.19 0.29 0.0045 10.87 0.6355 0.063 180.20 0.30 0.0047 10.91 0.6452 0.065 182.95 0.30 0.0047 10.75 1.98 0.132 15 467.50 0.156 0.00348 3.11 2.01 0.134 473.67 0.272 0.00728 6.43 2.18 0.145 508.63 0.119 0.00237 1.95 2.26 0.151 525.08 0.242 0.00625 4.98 1.86 0.093 20 442.82 0.043 0.00048 0.45 2.00 0.100 471.61 0.072 0.00112 0.99 2.21 0.111 514.80 0.068 0.00102 0.83 2.28 0.114 529.20 0.065 0.00095 0.75 -
[1] LOWERY A W, ROBERTS J. Organic coatings to prevent molten metal explosions [J]. Materials Science Forum, 2009, 630: 201–204. DOI: 10.4028/www.scientific.net/MSF.630.201. [2] ARAKI Y, HOKUGO A, PINHEIRO A T K, et al. Explosion at an aluminum factory caused by the July 2018 Japan floods: investigation of damages and evacuation activities [J]. Journal of Loss Prevention in the Process Industries, 2021, 69: 104352. DOI: 10.1016/j.jlp.2020.104352. [3] MIYAZAKI K, MORIMOTO K, YAMAMOTO O, et al. Thermal interaction of water droplet with molten tin [J]. Journal of Nuclear Science and Technology, 1984, 21(12): 907–918. DOI: 10.3327/jnst.21.907. [4] SHOJI M, TAKAGI N. Thermal interaction when a cold volatile liquid droplet impinges on a hot liquid surface [J]. Bulletin of JSME, 1986, 29(250): 1183–1187. DOI: 10.1299/jsme1958.29.1183. [5] PERETS Y, HARARI R, SHER E. Vapor explosion of coolant jet when penetrating a hot molten metal [J]. Nuclear Science and Engineering: the Journal of the American Nuclear Society, 2005, 150(2): 237–244. DOI: 10.13182/NSE05-A2512. [6] 张政铭. 水与高温熔融金属相互作用过程中接触特性研究 [D]. 上海: 上海交通大学, 2014: 14–17.ZHANG Z M. Study of the contact interaction between coolant water and high temperature molten metal [D]. Shanghai, China: Shanghai Jiao Tong University, 2014: 14–17. [7] 周源. 蒸汽爆炸中熔融金属液滴热碎化机理及模型研究 [D]. 上海: 上海交通大学, 2014: 28–39.ZHOU Y. Research on thermal fragmentation mechanism and model of single metal drop in a steam explosion [D]. Shanghai, China: Shanghai Jiao Tong University, 2014: 28–39. [8] 张荣金, 李延凯, 周源, 等. 水滴与液态金属锡相互作用实验研究 [J]. 核科学与工程, 2015, 35(3): 568–573. DOI: 10.3969/j.issn.0258-0918.2015.03.026.ZHANG R J, LI Y K, ZHOU Y, et al. Experimental study of thermal interaction between water droplet and molten tin [J]. Nuclear Science and Engineering, 2015, 35(3): 568–573. DOI: 10.3969/j.issn.0258-0918.2015.03.026. [9] ZEIGARNIK Y A, IVOCHKIN Y P, KOROL’E Z. The thermomechanical mechanism of fine fragmentation of liquid droplets under conditions of vapor explosion [J]. High Temperature, 2004, 42(3): 497–500. DOI: 10.1023/B:HITE.0000033889.01232.a5. [10] 李天舒, 杨燕华, 袁明豪, 等. 金属物性与冷却剂温度对蒸汽爆炸的影响 [J]. 中国核电, 2008(1): 75–79.LI T S, YANG Y H, YUAN M H, et al. The effects of metal thermal character and coolant temperature on vapor explosion [J]. China Nuclear Power, 2008(1): 75–79. [11] 李天舒. 低温熔融金属蒸汽爆炸理论与实验研究 [D]. 上海: 上海交通大学, 2008: 12–13.LI T S. Theoretical and experimental researches of vapor explosion [D]. Shanghai, China: Shanghai Jiao Tong University, 2008: 12–13. [12] 林千, 佟立丽, 曹学武, 等. 熔融液滴与水作用细粒化实验研究 [J]. 核动力工程, 2009, 30(1): 31–35.LIN Q, TONG L L, CAO X W, et al. Experiment on fragmentation of melt drop interacted with water [J]. Nuclear Power Engineering, 2009, 30(1): 31–35. [13] 林栋. 水滴撞击低熔点熔融金属动力学特性研究 [D]. 合肥: 合肥工业大学, 2019: 45–46.LIN D. Study on dynamic characteristics of water droplets impinging on low-melting-point molten metal [D]. Hefei, Anhui, China: Hefei University of Technology, 2019: 45–46. [14] 王骞. 低熔点熔融金属液滴/液柱与水作用动力学特性研究 [D]. 合肥: 合肥工业大学, 2019: 19–22.WANG Q. Study on kinetic characteristics of interaction between low melting point molten metal droplet/column and water [D]. Hefei, Anhui, China: Hefei University of Technology, 2019: 19–22. [15] 沈致远. 高温熔融物与冷却剂的相互作用 [J]. 硅谷, 2011(19): 159–161. DOI: 10.3969/j.issn.1671-7597.2011.19.146. [16] 李天舒, 郭艳红, 詹晓梅. 蒸汽爆炸的影响因素分析 [J]. 原子能科学技术, 2012, 46(S1): 259–261. DOI: 10.7538/yzk.2012.46.suppl.0259.LI T S, GUO Y H, ZHAN X M. Analysis of vapor explosion effect factors [J]. Atomic Energy Science and Technology, 2012, 46(S1): 259–261. DOI: 10.7538/yzk.2012.46.suppl.0259. [17] 胡逊祥, 董玉杰, 胡志华. 熔融金属锡在水中运动时压力波动特性实验研究 [J]. 原子能科学技术, 2008, 42(S1): 110–115. DOI: 10.7538/yzk.2008.42.z1.0110.HU X X, DONG Y J, HU Z H. Experimental research on characteristics of pressure wave of molten stannum moving in water [J]. Atomic Energy Science and Technology, 2008, 42(S1): 110–115. DOI: 10.7538/yzk.2008.42.z1.0110. [18] 陆祺, 陈德奇, 宋家斑, 等. 高温熔融金属表面爆炸沸腾过程的实验研究 [J]. 核动力工程, 2016, 37(3): 158–162. DOI: 10.13832/j.jnpe.2016.03.0158.LU Q, CHEN D Q, SONG J B, et al. Experimental research on FCI process of high superheated molten metals [J]. Nuclear Power Engineering, 2016, 37(3): 158–162. DOI: 10.13832/j.jnpe.2016.03.0158. [19] 周宁, 李雪, 陈兵, 等. 高温熔融铝液与水接触爆炸过程实验研究 [J]. 实验力学, 2021, 36(1): 114–122. DOI: 10.7520/1001-4888-20-157.ZHOU N, LI X, CHEN B, et al. Experimental study on the explosion process of high temperature molten aluminum liquid contacted with water [J]. Journal of Experimental Mechanics, 2021, 36(1): 114–122. DOI: 10.7520/1001-4888-20-157. [20] 钱增源. 低熔点金属的热物性 [M]. 北京: 科学出版社, 1985: 205–207. [21] 严国建, 周明安, 余轮, 等. 空气中爆炸冲击波超压峰值的预测 [J]. 采矿技术, 2011, 11(5): 89–90,112. DOI: 10.3969/j.issn.1671-2900.2011.05.035. [22] REID R C. Possible mechanism for pressurized-liquid tank explosions or BLEVE’s [J]. Science, 1979, 203(4386): 1263–1265. DOI: 10.1126/science.203.4386.1263. [23] 王广亮, 蒋涛. 蒸气爆炸系列讲座: 第三讲 水蒸气爆炸 [J]. 安全、环境和健康, 2002(3): 41–42.WANG G L, JIANG T. Lecture series on steam explosion: Lecture 3 water vapor explosion [J]. Safety, Health & Environment, 2002(3): 41–42. [24] 纪国剑, 李佩萤, 李森, 等. 蒸汽爆炸中熔融金属与冷却剂接触特性研究综述 [J]. 工业安全与环保, 2019, 45(8): 22–27. DOI: 10.3969/j.issn.1001-425X.2019.08.006.JI G J, LI P Y, LI S, et al. A review of contact characteristics of molten metal and coolant in steam explosion [J]. Industrial Safety and Environmental Protection, 2019, 45(8): 22–27. DOI: 10.3969/j.issn.1001-425X.2019.08.006. -


下载: