On the evolution mechanism of the shock-accelerated annular SF6 cylinder
-
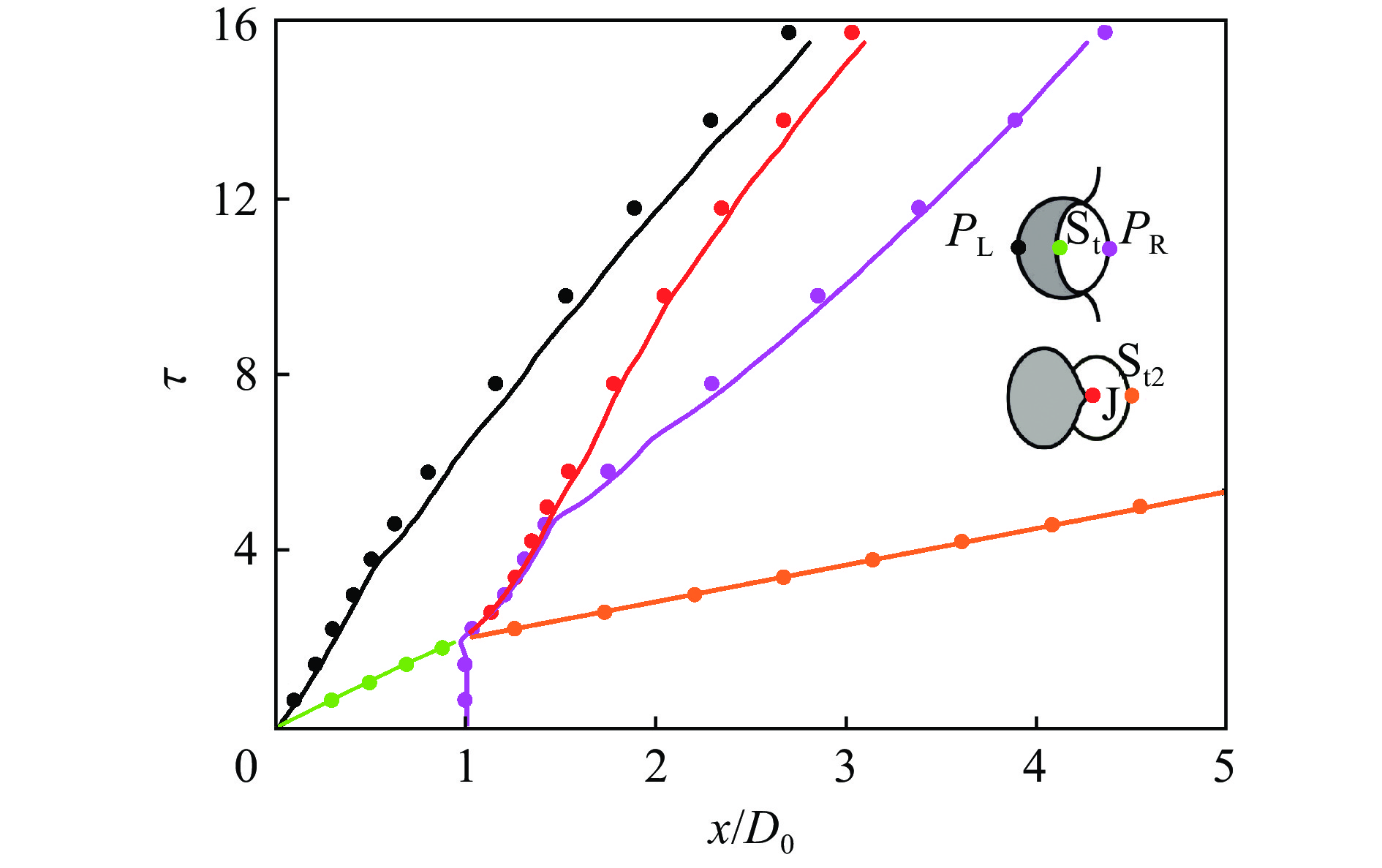
摘要: 基于可压缩多组分Navier-Stokes控制方程,结合5阶加权本质无振荡格式以及网格自适应加密技术和level-set方法,数值模拟了平面激波(Ma=1.23)与环形SF6气柱(内外半径分别为8和17.5 mm)界面的相互作用过程。相比于之前的实验结果,数值模拟结果揭示了入射激波在界面内4次透射过程中的复杂波系结构,观察到透射激波在内部界面传播时形成自由前导折射结构并向自由前导冯诺依曼折射结构转换的波系演变过程;另外,界面内的复杂激波结构诱导内部下游界面上的涡量发生了3次反向;在界面演化后期,内部界面形成的“射流”结构与下游界面相互作用,诱导界面形成一对主涡、一对次级涡以及一个反向“射流”结构。定量分析了环形界面长度、宽度、位移、环量以及混合率的变化情况,结果表明,内部气柱的存在减弱了前期小涡结构合并形成大涡结构过程中对界面高度与长度的影响,同时提高了重质气体与环境气体的混合率。
-
关键词:
- 激波 /
- 环形气柱 /
- Richtmyer-Meshkov不稳定性 /
- 涡流
Abstract: Based on the compressible multicomponent Navier-Stokes equations, the interaction of a planar shock wave (Ma=1.23) with an annular SF6 cylinder whose inner and outer radii were set as 8 and 17.5 mm respectively was numerically studied. The simulation was conducted based on the finite volume method. For capturing the complex shock and vortex structures as well as the interfaces, the adaptive mesh refinement method, level set method, and fifth-order weighted essentially non-oscillatory scheme were used for the simulation. The adaptive mesh refinement method dynamically refined the uniform Cartesian grids around the multiple moving shocks and accelerated interfaces. The level set method tracked the interface, while the fifth-order weighted essentially non-oscillatory scheme captured discontinuities such as shock waves and contact surfaces. Time advancement was achieved with the third-order strong-stability-preserving Runge-Kutta method. Compared with the previous experimental results, numerical results revealed the complex evolution of shock wave structures generated in the process of four shock transmissions in the annular cylinder. It is found that the transition from free precursor refraction to free precursor von Neumann refraction occurs when the transmitted shock wave passes through the inner cylinder. In addition, the complex shock structures that developed between the inner and outer downstream interfaces cause the pressure gradient direction to reverse several times on the inner downstream interface, which eventually leads to three reversals of vorticity on the inner downstream interface. In the later stage, the “jet” structure formed on the inner cylinder would impact the downstream interfaces, and finally induces the interfaces to generate a pair of primary vortices, a pair of secondary vortices and a reverse “jet”. Quantitative analyses of the variation of the length, width, displacement, the circulation and mixing rate of the annular cylinder were conducted. The results demonstrate that the presence of the inner cylinder attenuates the influence on the height and length of the annular cylinder during the process of small vortexes merging into the large vortexes in the early stage, and increases the mixing rate of the heavy gas and the ambient gas.-
Key words:
- shock wave /
- annular gas cylinder /
- Richtmyer-Meshkov instability /
- vortex
-
表 1 气体参数
Table 1. Gas parameters
气体名称 比热比 摩尔质量/(g·mol−1) 密度/(kg·m−3) 空气 1.399 28.967 1.23 SF6 1.103 128.491 5.45 -
[1] LINDL J D, MCCRORY R L, CAMPBELL E M. Progress toward ignition and burn propagation in inertial confinement fusion [J]. Physics Today, 1992, 45(9): 32–40. DOI: 10.1063/1.881318. [2] YANG J, KUBOTA T, ZUKOSKI E E. Applications of shock-induced mixing to supersonic combustion [J]. AIAA Journal, 1993, 31(5): 854–862. DOI: 10.2514/3.11696. [3] BALAKRISHNAN K, MENON S. Characterization of the mixing layer resulting from the detonation of heterogeneous explosive charges [J]. Flow Turbulence and Combustion, 2011, 87(4): 639–671. DOI: 10.1007/s10494-011-9349-9. [4] 罗喜胜, 翟志刚, 司廷, 等. 激波诱导下的气体界面不稳定性实验研究 [J]. 力学进展, 2014, 44(1): 201407. DOI: 10.6052/1000-0992-14-028.LUO X S, ZHAI Z G, SI T, et al. Experimental study on the interfacial instability induced by shock waves [J]. Advances in Mechanics, 2014, 44(1): 201407. DOI: 10.6052/1000-0992-14-028. [5] ZOU L Y, LIU C L, TAN D W, et al. On interaction of shock wave with elliptic gas cylinder [J]. Journal of Visualization, 2010, 13(4): 347–353. DOI: 10.1007/s12650-010-0053-y. [6] 黄熙龙, 廖深飞, 邹立勇, 等. 激波与椭圆形重气柱相互作用的PLIF实验 [J]. 爆炸与冲击, 2017, 37(5): 829–836. DOI: 10.11883/1001-1455(2017)05-0829-08.HUANG X L, LIAO S F, ZOU L Y, et al. Experiment on interaction of shock and elliptic heavy-gas cylinder by using PLIF [J]. Explosion and Shock Waves, 2017, 37(5): 829–836. DOI: 10.11883/1001-1455(2017)05-0829-08. [7] ZHAI Z G, WANG M H, SI T, et al. On the interaction of a planar shock with a light polygonal interface [J]. Journal of Fluid Mechanics, 2014, 757: 800–816. DOI: 10.1017/jfm.2014.516. [8] LUO X S, WANG M H, SI T, et al. On the interaction of a planar shock with an SF6 polygon [J]. Journal of Fluid Mechanics, 2015, 773: 366–394. DOI: 10.1017/jfm.2015.257. [9] 沙莎, 陈志华, 薛大文, 等. 激波与SF6梯形气柱相互作用的数值模拟 [J]. 物理学报, 2014, 63(8): 085205. DOI: 10.7498/aps.63.085205.SHA S, CHEN Z H, XUE D W, et al. Richtmyer-Meshkov instability induced by the interaction between shock wave and SF6 isosceles trapezoid cylinders [J]. Acta Physica Sinica, 2014, 63(8): 085205. DOI: 10.7498/aps.63.085205. [10] 廖深飞, 邹立勇, 刘金宏, 等. 反射激波作用重气柱的Richtmyer-Meshkov不稳定性的实验研究 [J]. 爆炸与冲击, 2016, 36(1): 87–92. DOI: 10.11883/1001-1455(2016)01-0087-06.LIAO S F, ZOU L Y, LIU J H, et al. Experimental study of Richtmyer-Meshkov instability in a heavy gas cylinder interacting with reflected shock wave [J]. Explosion and Shock Waves, 2016, 36(1): 87–92. DOI: 10.11883/1001-1455(2016)01-0087-06. [11] 王震, 王涛, 柏劲松, 等. 流场非均匀性对非平面激波诱导的Richtmyer-Meshkov不稳定性影响的数值研究 [J]. 爆炸与冲击, 2019, 39(4): 041407. DOI: 10.11883/bzycj-2018-0342.WANG Z, WANG T, BAI J S, et al. Numerical study of non-uniformity effect on Richtmyer-Meshkov instability induced by non-planar shock wave [J]. Explosion and Shock Waves, 2019, 39(4): 041407. DOI: 10.11883/bzycj-2018-0342. [12] ORLICZ G C, BALASUBRAMANIAN S, PRESTRIDGE K P. Incident shock Mach number effects on Richtmyer-Meshkov mixing in a heavy gas layer [J]. Physics of Fluids, 2013, 25(11): 114101. DOI: 10.1063/1.4827435. [13] SHANKAR S K, LELE S K. Numerical investigation of turbulence in reshocked Richtmyer-Meshkov unstable curtain of dense gas [J]. Shock Waves, 2014, 24(1): 79–95. DOI: 10.1007/s00193-013-0478-z. [14] ZENG W G, PAN J H, SUN Y T, et al. Turbulent mixing and energy transfer of reshocked heavy gas curtain [J]. Physics of Fluids, 2018, 30(6): 064106. DOI: 10.1063/1.5032275. [15] DE FRAHAN M T H, MOVAHED P, JOHNSEN E. Numerical simulations of a shock interacting with successive interfaces using the discontinuous Galerkin method: the multilayered Richtmyer-Meshkov and Rayleigh-Taylor instabilities [J]. Shock Waves, 2015, 25(4): 329–345. DOI: 10.1007/s00193-014-0539-y. [16] LIANG Y, LIU L L, ZHAI Z G, et al. Evolution of shock-accelerated heavy gas layer [J]. Journal of Fluid Mechanics, 2020, 886: A7. DOI: 10.1017/jfm.2019.1052. [17] WANG G, WANG Y N, LI D D, et al. Numerical study on shock-accelerated gas rings [J]. Physics of Fluids, 2020, 32(2): 026102. DOI: 10.1063/1.5135762. [18] SAMTANEY R, ZABUSKY N J. Circulation deposition on shock-accelerated planar and curved density-stratified interfaces: models and scaling laws [J]. Journal of Fluid Mechanics, 1994, 269: 45–78. DOI: 10.1017/s0022112094001485. [19] YANG J, KUBOTA T, ZUKOSKI E E. A model for characterization of a vortex pair formed by shock passage over a light-gas inhomogeneity [J]. Journal of Fluid Mechanics, 1994, 258: 217–244. DOI: 10.1017/s0022112094003307. [20] 冯莉莉, 翟志刚, 司廷, 等. 激波诱导双层气柱演化的偏心效应研究 [J]. 气体物理, 2022, 7(2): 13–25. DOI: 10.19527/j.cnki.2096-1642.0959.FENG L L, ZHAI Z G, SI T, et al. Eccentric effect on evolution of shock-accelerated double-layer gas cylinder [J]. Physics of Gases, 2022, 7(2): 13–25. DOI: 10.19527/j.cnki.2096-1642.0959. [21] FENG L L, XU J R, ZHAI Z G, et al. Evolution of shock-accelerated double-layer gas cylinder [J]. Physics of Fluids, 2021, 33(8): 086105. DOI: 10.1063/5.0062459. [22] LOMBARDINI M, HILL D J, PULLIN D I, et al. Atwood ratio dependence of Richtmyer-Meshkov flows under reshock conditions using large-eddy simulations [J]. Journal of Fluid Mechanics, 2011, 670: 439–480. DOI: 10.1017/s0022112010005367. [23] WANG X S, YANG D G, WU J Q, et al. Interaction of a weak shock wave with a discontinuous heavy-gas cylinder [J]. Physics of Fluids, 2015, 27(6): 064104. DOI: 10.1063/1.4922613. [24] NIEDERHAUS J H J, GREENOUGH J A, OAKLEY J G, et al. A computational parameter study for the three-dimensional shock-bubble interaction [J]. Journal of Fluid Mechanics, 2008, 594: 85–124. DOI: 10.1017/s0022112007008749. [25] ZHENG C, ZHANG H H, CHEN Z H, et al. Interaction of cylindrical converging shocks with an equilateral triangular SF6 cylinder [J]. Physics of Fluids, 2019, 31(8): 086104. DOI: 10.1063/1.5094671. -


下载:

