The coupled thermal-plastic behavior of TC11 titanium alloy
-
摘要: 利用分离式霍普金森压杆对TC11钛合金平板帽形试样进行动态加载,基于高频红外点阵测温技术捕捉了剪切区温升随加载时间变化的历程,结合热传导理论分析和动态剪切数值模拟,分析了动态剪切过程中剪切区温升随时间和空间的分布规律。研究结果表明,在动态剪切加载下,TC11钛合金表现出脆性的变形行为,剪切区最高温升为430 ℃,且在实验所覆盖的加载速率范围内,加载速率对动态剪切温升影响不明显;显著的温升主要集中在剪切区中心附近100 μm量级区域内,温升区具有高度局部化的特征,且剪切区维持较高温度所持续的时间在10 μs量级。理论研究和数值模拟发现,动态加载下剪切区内最高温度可达751 ℃,剪切区温度时空分布规律与实验结果保持一致。实验和数值模拟结果均显示,剪切区最高温升发生在材料断裂时刻,表明剪切区显著温升应来源于剪切变形造成的应变高度集中发展。Abstract: Understanding the role of temperature rise in dynamic shear is of great significant, as it helps us to predict accurately the dynamic failure of materials and structures. In order to obtain the temperature rise and the distribution of temperature in the shear zone of TC11 titanium alloy, dynamic shear tests were conducted on the “flat-hat” shaped specimens of TC11 titanium alloy by using a split Hopkinson pressure bar. Based the high-speed infrared InSb detecting technology, the evolution of temperature rise in the shear zone with time was obtained. Theoretical analysis of the distribution of temperature rise in the shear zone with time and space is carried out by solving the one dimensional thermal conduction equation. The initiation and propagation of shear band and the relative distribution of temperature fields in the shear zone are obtained by FEM simulation analysis. It was found from the experimental results that the TC11 titanium alloy behaves brittlely under dynamic shearing. The fracture morphologies demonstrate that significant temperature rise occurs during dynamic shearing. The temperature rise test results demonstrate that the maximal temperature rise in the shear zone achieved 430 ℃. Furthermore, the loading rate plays insignificant effect on the temperature rise in the shear zone. The temperature rise in the shear zone is highly localized, the significant temperature rise distributes several micro-meters around the center of the shear zone, and the significant temperature rise maintains several tens of micro-seconds. The results of the theoretical analysis and FEM simulation demonstrate that the maximal temperature rise can achieve 751 ℃, and the distribution laws of the temperature are consistent with the experimental results. It is found from the experimental and FEM simulation results that the maximum temperature rise occurs at the time of failing of material, indicating that the temperature rise in the shear zone results from the highly localized shear deformation.
-
Key words:
- dynamic shear /
- titanium alloy /
- temperature rise /
- thermal conduction /
- split Hopkinson pressure bar
-
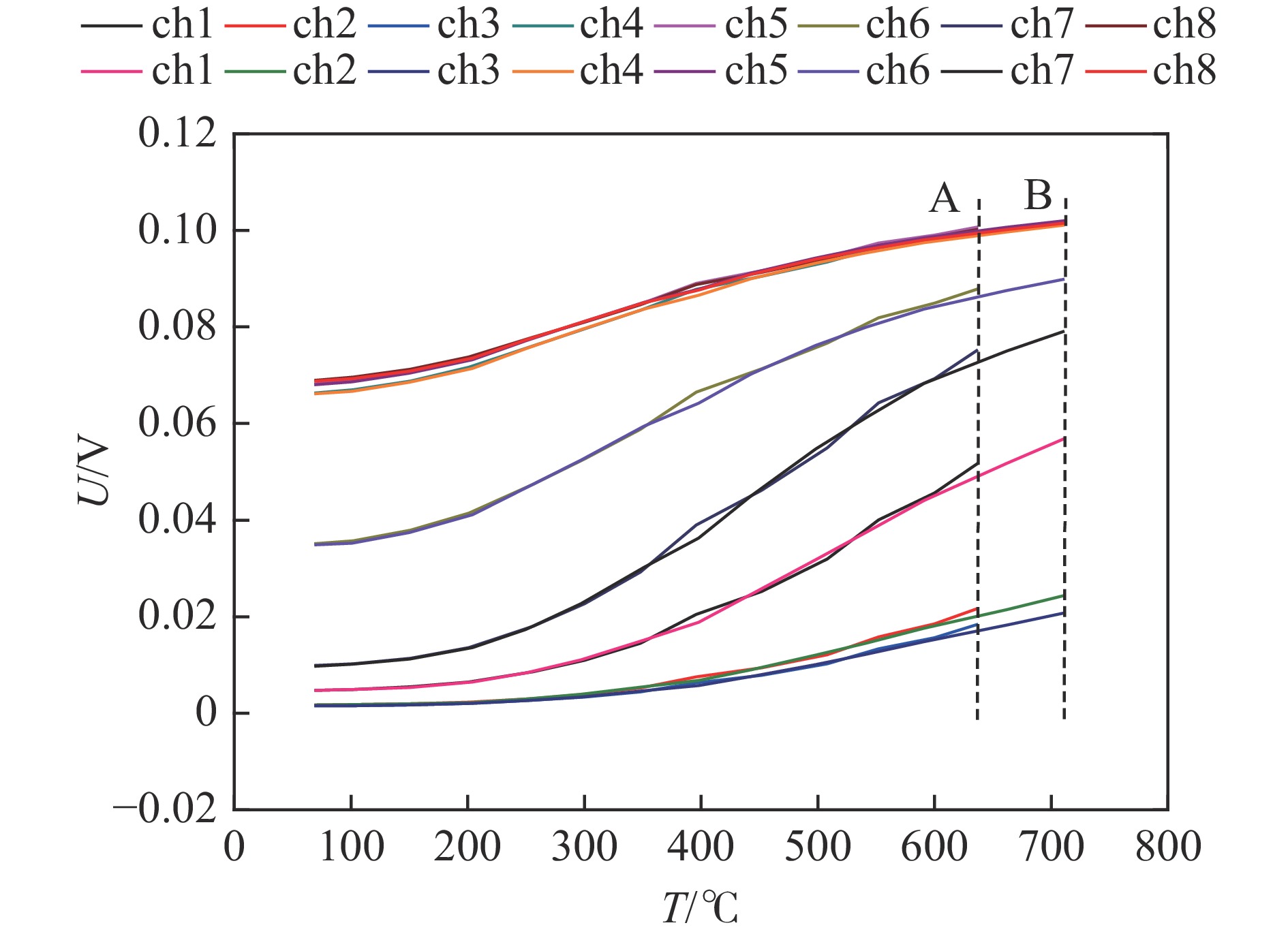
表 1
$B_1 $ ~$B_5 $ 标定值Table 1. The calibration values of
$B_1 $ −$B_5 $ 通道 B1 B2 B3 B4 B5 ch1 64162 −5.21×106 2.13×108 −3.96×109 2.72×1010 ch2 167086 −3.26×107 3.14×109 −1.36×1011 2.16×1012 ch3 199221 −4.59×107 5.22×109 −2.67×1011 5.03×1012 ch4 42706 −4.52×106 2.89×108 −8.33×109 9.16×1010 ch5 42263 −4.45×106 2.91×108 −8.65×109 9.81×1010 ch6 32925 −2.32×106 9.39×107 −1.73×109 1.20×1010 ch7 37901 −2.19×106 6.70×107 −9.42×108 4.98×109 ch8 46777 −5.31×106 3.62×108 −1.12×1010 1.31×1011 表 2 剪切带温度测量结果
Table 2. Test results of temperature rise at shear bands
试样编号 子弹撞击速度/(m∙s−1) 测量的最高温度/℃ 1-1 17 180 1-2 250 1-3 340 1-4 343 2-1 5.6 200 2-2 425 2-3 430 2-4 180 2-5 330 -
[1] GORYNIN I V. Titanium alloys for marine application [J]. Materials Science and Engineering: A, 1999, 263(2): 112–116. DOI: 10.1016/S0921-5093(98)01180-0. [2] PETERS M, KUMPFERT J, WARD C H, et al. Titanium alloys for aerospace applications [J]. Advanced Engineering Materials, 2003, 5(6): 419–427. DOI: 10.1002/adem.200310095. [3] GURRAPPA I. Characterization of titanium alloy Ti-6Al-4V for chemical, marine and industrial applications [J]. Materials Characterization, 2003, 51(2/3): 131–139. DOI: 10.1016/j.matchar.2003.10.006. [4] LEYENS C, PETERS M. Titanium and titanium alloys [M]. Weinheim: Wiley-VCH, 2003. [5] RACK H J, QAZI J I. Titanium alloys for biomedical applications [J]. Materials Science and Engineering: C, 2006, 26(8): 1269–1277. DOI: 10.1016/j.msec.2005.08.032. [6] RITTEL D, OSOVSKI S. Dynamic failure by adiabatic shear banding [J]. International Journal of Fracture, 2010, 162(1): 177–185. DOI: 10.1007/s10704-010-9475-8. [7] BAI Y L. Thermo-plastic instability in simple shear [J]. Journal of the Mechanics and Physics of Solids, 1982, 30(4): 195–207. DOI: 10.1016/0022-5096(82)90029-1. [8] GRADY D E, KIPP M E. The growth of unstable thermoplastic shear with application to steady-wave shock compression in solids [J]. Journal of the Mechanics and Physics of Solids, 1987, 35(1): 95–119. DOI: 10.1016/0022-5096(87)90030-5. [9] GUO Y Z, RUAN Q C, ZHU S X, et al. Temperature rise associated with adiabatic shear band: causality clarified [J]. Physical Review Letters, 2019, 122(1): 015503. DOI: 10.1103/PhysRevLett.122.015503. [10] GUO Y Z, RUAN Q C, ZHU S X, et al. Dynamic failure of titanium: temperature rise and adiabatic shear band formation [J]. Journal of the Mechanics and Physics of Solids, 2020, 135: 103811. DOI: 10.1016/j.jmps.2019.103811. [11] ZHOU M, ROSAKIS A J, RAVICHANDRAN G. Dynamically propagating shear bands in impact-loaded prenotched plates—Ⅰ. experimental investigations of temperature signatures and propagation speed [J]. Journal of the Mechanics and Physics of Solids, 1996, 44(6): 981–1006. DOI: 10.1016/0022-5096(96)00003-8. [12] LIAO S C, DUFFY J. Adiabatic shear bands in a Ti-6Al-4V titanium alloy [J]. Journal of the Mechanics and Physics of Solids, 1998, 46(11): 2201–2231. DOI: 10.1016/S0022-5096(98)00044-1. [13] RANC N, TARAVELLA L, PINA V, et al. Temperature field measurement in titanium alloy during high strain rate loading—adiabatic shear bands phenomenon [J]. Mechanics of Materials, 2008, 40(4/5): 255–270. DOI: 10.1016/j.mechmat.2007.08.002. [14] 苏冠龙, 龚煦, 李玉龙, 等. TC4在动态载荷下的剪切行为研究 [J]. 爆炸与冲击, 2015, 35(4): 527–535. DOI: 10.11883/1001-1455(2015)04-0527-09.SU G L, GONG X, LI Y L, et al. Shear behavior of TC4 alloy under dynamic loading [J]. Explosion and Shock Waves, 2015, 35(4): 527–535. DOI: 10.11883/1001-1455(2015)04-0527-09. [15] CHICHILI D R, RAMESH K T, HEMKER K J. Adiabatic shear localization in α-titanium: experiments, modeling and microstructural evolution [J]. Journal of the Mechanics and Physics of Solids, 2004, 52(8): 1889–1909. DOI: 10.1016/j.jmps.2004.02.013. [16] 李继承, 陈小伟, 陈刚. 921A钢纯剪切帽状试件绝热剪切变形的数值模拟 [J]. 爆炸与冲击, 2010, 30(4): 361–369. DOI: 10.11883/1001-1455(2010)04-0361-09.LI J C, CHEN X W, CHEN G. Numerical simulations on adiabatic shear deformations of 921A steel pure shear hat-shaped specimens [J]. Explosion and Shock Waves, 2010, 30(4): 361–369. DOI: 10.11883/1001-1455(2010)04-0361-09. [17] ZHANG J, TAN C W, REN Y, et al. Adiabatic shear fracture in Ti-6Al-4V alloy [J]. Transactions of Nonferrous Metals Society of China, 2011, 21(11): 2396–2401. DOI: 10.1016/S1003-6326(11)61026-1. [18] GIOVANOLA J H. Adiabatic shear banding under pure shear loading. part Ⅱ: fractographic and metallographic observations [J]. Mechanics of Materials, 1988, 7(1): 73–87. DOI: 10.1016/0167-6636(88)90007-5. [19] LEWANDOWSKI J J, GREER A L. Temperature rise at shear bands in metallic glasses [J]. Nature Materials, 2006, 5(1): 15–18. DOI: 10.1038/nmat1536. [20] CHEN J H, XU W F, ZHANG F J, et al. Strain rate dependent tension behavior of TC11 titanium alloys [J]. Rare Metal Materials and Engineering, 2021, 50(6): 1883–1889. DOI: 10.12442/j.issn.1002-185X.E20200020. [21] 陈军红, 徐伟芳, 张方举, 等. 冲击载荷作用下TC11钛合金失效模型中关键参数测试方法研究 [J]. 中国测试, 2018, 44(10): 164–168. DOI: 10.11857/j.issn.1674-5124.2018.10.028.CHEN J H, XU W F, ZHANG F J, et al. The measurement of the key parameters in the dynamic failure mode of TC11 titanium alloy [J]. China Measurement & Test, 2018, 44(10): 164–168. DOI: 10.11857/j.issn.1674-5124.2018.10.028. [22] 《中国航空材料手册》编辑委员会. 中国航空材料手册. 第4卷: 钛合金 铜合金[M]. 2版. 北京: 中国标准出版社, 2002: 172–198.Editorial Committee of China Aviation Materials Manual. China aeronautical materials handbook. volume 4: titanium alloy and copper alloy [M]. 2nd ed. Beijing: Standards Press of China, 2002: 172–198. [23] ZHANG J, WANG Y, ZAN X, et al. The constitutive responses of Ti-6.6Al-3.3Mo-1.8Zr-0.29Si alloy at high strain rates and elevated temperatures [J]. Journal of Alloys and Compounds, 2015, 647: 97–104. DOI: 10.1016/j.jallcom.2015.05.131. -


下载:



