A study of directional explosion venting characteristics of anti-explosion vessel with a shear pin
-
摘要: 为优化机载抗爆容器的结构设计并拓展其工程应用,研究了带剪切销抗爆容器的定向泄压特性。利用LS-DYNA软件建立了内爆载荷下带剪切销抗爆容器的数值模型,开展了容器内爆试验,获得了剪切销临界直径,并验证了模型可靠性,阐明了抗爆容器内冲击波的传播与载荷分布规律,分析并讨论了泄压过程中泄压盖的运动规律,建立了不同泄压盖质量下药量与剪切销直径之间的函数关系,探究了剪切销的临界断裂问题。结果表明:100 g TNT内爆试验得到剪切销临界直径为22 mm, TNT爆炸后冲击波在容器内往复式传播,约3.8 ms时泄压盖冲出容器,5.0 ms时容器底部残存压力约为0.5 MPa;容器底部超压峰值约为144 MPa,罐体与泄压盖交汇形成的角隅处超压峰值约为149 MPa,且罐体在角隅处产生应变增长效应,角隅处成为新的危险点。剪切销的变形断裂过程会影响泄压盖的运动规律,导致泄压盖速度曲线中出现下降段,剪切销直径越大,下降段持续时间越长。TNT药量与剪切销临界直径呈正比,二者的线性关系不受泄压盖质量的影响。Abstract: Once an explosion accident occurs on a civil aviation aircraft, it will cause fatal damage to the aircraft structure. In order to provide a scientific basis for the structural design and engineering application of airborne anti-explosion vessel, the directional explosion venting characteristics of anti-explosion vessel with a shear pin are studied. The structure system is mainly composed of a cylindrical vessel, a venting cover, a shear pin and an aluminum alloy panel. Firstly, the numerical model of the anti-explosion vessel under implosion is established with LS-DYNA. The critical diameter of shear pin was obtained in explosion tests and the effectiveness of the model is verified. Then, the propagation of shock wave and distribution of blast loading in the anti-explosion vessel are elucidated by analyzing the distribution of explosion flow field and changes in shock wave pressure. Meanwhile, the motion law of venting cover during the process of explosion venting is studied by varying the TNT charge mass and shear pin diameter. Finally, a functional relationship between the charge weight and shear pin diameter is established with different venting cover masses, to investigate the critical fracture issue of the shear pin. The results show that the critical diameter of the shear pin is found to be 22 mm through 100 g TNT internal explosion tests. Following the TNT explosion, the shock wave propagates reciprocally in the vessel. At approximately 3.8 ms, the venting cover is ejected from the vessel, while the residual pressure at the bottom of the vessel is approximately 0.5 MPa at 5 ms. During the explosion venting process, the peak overpressure at the bottom of the vessel is about 144 MPa, and the peak overpressure at the corner formed by the intersection of the vessel wall and the venting cover is about 149 MPa. Moreover, the vessel wall experiences strain growth at the corner, where it becomes a new critical point of failure. The deformation and fracture process of the shear pin can influence the motion characteristics of the venting cover, resulting in a decrease in the velocity curve. Therefore, the duration of the decreasing segment in the velocity curve is directly proportional to the diameter of the shear pin, with larger diameters leading to longer durations. The inertia of the venting cover and the stiffness of the shear pin are the main reasons for the fluctuation of the velocity of the venting cover during the explosion venting process. The TNT mass and the critical diameter of shear pin displays a proportional relationship. However, the change of the venting cover mass does not affect the linear relationship between the critical diameter and the TNT mass.
-
Key words:
- anti-explosion vessel /
- explosion venting /
- shear pin /
- blast wave /
- failure behavior
-
ρ/(kg·m−3) E/GPa μ A/GPa B/GPa n C m $ {\dot \varepsilon _0} $/s−1 TF/℃ T0/℃ 塑性失效应变 7.80×103 199 0.33 0.855 0.448 0.14 0.0137 0.63 0.001 1440 20 0.21 ρ/(kg·m−3) E/GPa μ A/GPa B/GPa n C m $ {\dot \varepsilon _0} $/s−1 TF/℃ T0/℃ 4.43×103 109 0.34 0.86 0.683 0.47 0.035 1 0.001 1620 20 ρ/(kg·m−3) E/GPa μ σ0/GPa Etan/GPa β 2.83×103 71.7 0.33 0.469 0.815 1 ρ/(kg·m−3) E/GPa μ σ0/GPa Etan/GPa β 塑性失效应变 2.78×103 72.4 0.33 0.29 0.7 1 0.3 ρ/(kg·m−3) E/GPa μ σ0/GPa Eh/GPa 7.85×103 210 0.3 0.64 1.6 A1/GPa B1/GPa R1 R2 ω E0/GPa V ρ/(g·cm−3) D/(m·s−1) pCJ/GPa 371.20 3.23 4.15 0.95 0.30 7 1 1.63 6930 21 表 7 空气的状态方程参数
Table 7. EOS parameters of air
C0 C1 C2 C3 C4 C5 E1/(J·m−3) V 0 0 0 0 0.4 0.4 2.533×105 1 表 8 试验工况及试验结果
Table 8. Experimental conditions and results
试验
编号TNT药量/g 剪切销凹槽处
直径/mm剪切销
是否断裂1 100 22.0 是 2 100 22.0 是 3 100 22.0 是 4 100 23.0 否 5 42 14.5 否 6 44 14.5 是 7 44 14.5 是 8 44 14.5 是 表 9 不同剪切销临界直径下泄压盖的运动参数
Table 9. Motion parameters of venting cover under different critical diameters of shear pin
工况 剪切销断裂
时刻/ms泄压盖速度
峰值/(m·s−1)泄压盖速度
谷值/(m·s−1)泄压盖动能
峰值/JTNT内能/kJ 泄压盖动能峰值占TNT
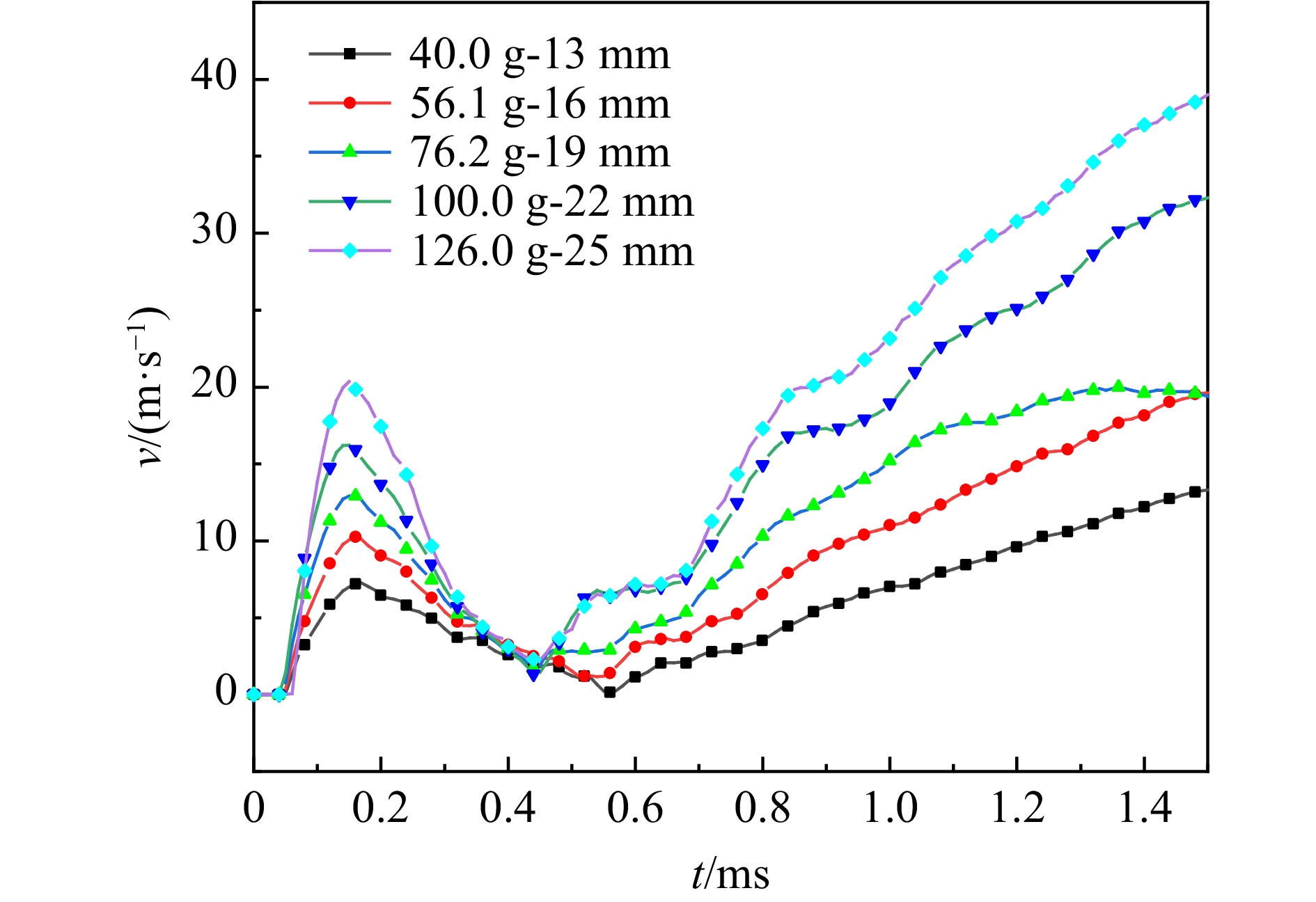
内能比值/%40.0 g-13 mm 0.58 7.31 0.15 100.19 171.77 0.06 56.1 g-16 mm 0.56 10.32 1.11 199.69 240.91 0.08 76.2 g-19 mm 0.52 13.01 1.86 317.36 327.22 0.10 100.0 g-22 mm 0.50 16.18 1.47 490.86 429.43 0.11 126.0 g-25 mm 0.47 20.33 2.25 774.95 541.08 0.14 -
[1] Federal Aviation Administration. Security related considerations in the design and operation of transport category airplanes: Amendment No. 25-127 [R]. Washington: Federal Aviation Administration, 2008. [2] Federal Aviation Administration. Least risk bomb location: FAA. AC No: 25.795-6 [R]. Washington: Federal Aviation Administration, 2008. [3] 徐维铮, 吴卫国. 泄压口大小对约束空间爆炸准静态超压载荷的影响规律 [J]. 高压物理学报, 2017, 31(5): 619–628. DOI: 10.11858/gywlxb.2017.05.016.XU W Z, WU W G. Effects of size of venting holes on the characteristics of quasi-static overpressure in confined space [J]. Chinese Journal of High Pressure Physics, 2017, 31(5): 619–628. DOI: 10.11858/gywlxb.2017.05.016. [4] 刘明君, 李展, 谢伟, 等. 一种新型危险品仓库结构设计及其安全距离 [J]. 爆炸与冲击, 2023, 43(4): 045901. DOI: 10.11883/bzycj-2022-0224.LIU M J, LI Z, XIE W, et al. A novel hazard warehouse and its safety separation distance [J]. Explosion and Shock Waves, 2023, 43(4): 045901. DOI: 10.11883/bzycj-2022-0224. [5] LANGDON G S, KRIEK S, NURICK G N. Influence of venting on the response of scaled aircraft luggage containers subjected to internal blast loading [J]. International Journal of Impact Engineering, 2020, 141: 103567. DOI: 10.1016/j.ijimpeng.2020.103567. [6] 王金贵, 胡超, 罗飞云, 等. 泄爆面积对甲烷-空气预混泄爆容器结构响应影响的实验研究 [J]. 爆炸与冲击, 2022, 42(4): 045102. DOI: 10.11883/bzycj-2021-0327.WANG J G, HU C, LUO F Y, et al. Experimental study on the effects of venting area on the structural response of vessel walls to methane-air mixture deflagration [J]. Explosion and Shock Waves, 2022, 42(4): 045102. DOI: 10.11883/bzycj-2021-0327. [7] 冯振宇, 傅博宇, 解江, 等. 爆炸冲击载荷下机身壁板的动态响应 [J]. 航空学报, 2022, 43(6): 525513. DOI: 10.7527/S1000-6893.2021.25513.FENG Z Y, FU B Y, XIE J, et al. Dynamic response of fuselage panel under explosive impact load [J]. Acta Aeronautica et Astronautica Sinica, 2022, 43(6): 525513. DOI: 10.7527/S1000-6893.2021.25513. [8] 朱铮铮, 冯蕴雯, 薛小峰, 等. 一种民机客舱便携式定向防爆装置: CN201610620278.8 [P]. 2016-08-01. [9] 韩璐, 苏健军, 张玉磊, 等. 一种聚能泄压民机客舱定向防爆装置: CN201910168298.X [P]. 2019-03-06. [10] 张玉磊, 陈华, 韩璐, 等. 泄压口面积对温压炸药内爆炸准静态压力的影响 [J]. 火炸药学报, 2020, 43(5): 521–525. DOI: 10.14077/j.issn.1007-7812.201909024.ZHANG Y L, CHEN H, HAN L, et al. Effect of venting area on quasi-static pressure of internal explosion for thermobaric explosive [J]. Chinese Journal of Explosives & Propellants, 2020, 43(5): 521–525. DOI: 10.14077/j.issn.1007-7812.201909024. [11] 汪维, 刘瑞朝, 吴飚, 等. 建筑物内爆泄压口冲击波参数工程算法研究 [J]. 振动与冲击, 2015, 34(9): 48–54. DOI: 10.13465/j.cnki.jvs.2015.09.009.WANG W, LIU R C, WU B, et al. Engineering arithmetic for internal blast waves parameters in venting area of building structures [J]. Journal of Vibration and Shock, 2015, 34(9): 48–54. DOI: 10.13465/j.cnki.jvs.2015.09.009. [12] YANKELEVSKY D Z, KOCHETKOV A V, FELDGUN V R, et al. A simplified model for explosion venting due to the separation of a heavy protective cover [J]. International Journal of Protective Structures, 2012, 3(1): 81–103. DOI: 10.1260/2041-4196.3.1.81. [13] FELDGUN V R, KARINSKI Y S, YANKELEVSKY D Z. A simplified model with lumped parameters for explosion venting simulation [J]. International Journal of Impact Engineering, 2011, 38(12): 964–975. DOI: 10.1016/j.ijimpeng.2011.08.004. [14] FELDGUN V R, KARINSKI Y S, EDRI I, et al. Prediction of the quasi-static pressure in confined and partially confined explosions and its application to blast response simulation of flexible structures [J]. International Journal of Impact Engineering, 2016, 90: 46–60. DOI: 10.1016/j.ijimpeng.2015.12.001. [15] MOLKOV V V, GRIGORASH A V, EBER R M, et al. Vented gaseous deflagrations: modelling of hinged inertial vent covers [J]. Journal of Hazardous Materials, 2004, 116(1/2): 1–10. DOI: 10.1016/j.jhazmat.2004.08.027. [16] HÖCHST S, LEUCKEL W. On the effect of venting large vessels with mass inert panels [J]. Journal of Loss Prevention in the Process Industries, 1998, 11(2): 89–97. DOI: 10.1016/s0950-4230(97)00031-4. [17] 冯振宇, 周书婷, 李恒晖, 等. 运输类飞机“最小风险炸弹位置”的研究进展 [J]. 航空工程进展, 2018, 9(3): 316–325. DOI: 10.16615/j.cnki.1674-8190.2018.03.003.FENG Z Y, ZHOU S T, LI H H, et al. Research progress on the “least risk bomb location” (LRBL) for transport aircraft [J]. Advances in Aeronautical Science and Engineering, 2018, 9(3): 316–325. DOI: 10.16615/j.cnki.1674-8190.2018.03.003. [18] YEH J, CHEN G, GU C, et al. Computational modeling and forensic analysis for terrorist airplane bombing: a case study [J]. Engineering Fracture Mechanics, 2019, 211: 137–160. DOI: 10.1016/j.engfracmech.2019.01.032. [19] 胡志乐, 马亮亮, 吴昊, 等. 远距离近地面爆炸空气冲击波计算的网格尺寸优化与验证 [J]. 爆炸与冲击, 2022, 42(11): 114201. DOI: 10.11883/bzycj-2021-0499.HU Z L, MA L L, WU H, et al. Optimization and verification of mesh size for air shock wave from large distance and near ground explosion [J]. Explosion and Shock Waves, 2022, 42(11): 114201. DOI: 10.11883/bzycj-2021-0499. [20] 施瑶, 刘振鹏, 潘光, 等. 航行体开槽包裹式缓冲头帽结构设计及其降载性能 [J]. 爆炸与冲击, 2022, 42(12): 123901. DOI: 10.11883/bzycj-2021-0426.SHI Y, LIU Z P, PAN G, et al. Structural design of a slotted wrapping buffer head cap of vehicles and its load reduction performance [J]. Explosion and Shock Waves, 2022, 42(12): 123901. DOI: 10.11883/bzycj-2021-0426. [21] 段竹煊. 内爆载荷下机身舱段的动态响应与失效分析 [D]. 天津: 中国民航大学, 2022.DUAN Z X. Dynamic response and failure analysis of fuselage section under implosion load [D]. Tianjin: Civil Aviation University of China, 2022. [22] 齐宗美. 面向显式动力分析的螺栓简化建模方法研究 [D]. 大连: 大连理工大学, 2021.QI Z M. Research on simplified modeling method of bolt for explicit dynamic analysis [D]. Dalian: Dalian University of Technology, 2021. [23] 解江, 牟浩蕾, 冯振宇, 等. 大飞机典型货舱下部结构冲击试验及数值模拟 [J]. 航空学报, 2022, 43(6): 525890. DOI: 10.7527/S1000-6893.2021.25890.XIE J, MOU H L, FENG Z Y, et al. Impact characteristics of typical sub-cargo structure of large aircraft: tests and numerical simulation [J]. Acta Aeronautica et Astronautica Sinica, 2022, 43(6): 525890. DOI: 10.7527/S1000-6893.2021.25890. [24] NIA A B, NEJAD A F, LI X, et al. Dynamic response of aluminium sheet 2024-T3 subjected to close-range shock wave: experimental and numerical studies [J]. Journal of Materials Research and Technology, 2021, 10: 349–362. DOI: 10.1016/j.jmrt.2020.12.029. [25] MONDELIN A, VALIORGUE F, RECH J, et al. Hybrid model for the prediction of residual stresses induced by 15-5PH steel turning [J]. International Journal of Mechanical Sciences, 2012, 58(1): 69–85. DOI: 10.1016/j.ijmecsci.2012.03.003. [26] WU T, CORET M, COMBESCURE A. Numerical simulation of welding induced damage and residual stress of martensitic steel 15-5PH [J]. International Journal of Solids and Structures, 2008, 45(18/19): 4973–4989. DOI: 10.1016/j.ijsolstr.2008.04.027. [27] XU X, OUTEIRO J, ZHANG J, et al. Machining simulation of Ti6Al4V using coupled Eulerian-Lagrangian approach and a constitutive model considering the state of stress [J]. Simulation Modelling Practice and Theory, 2021, 110: 102312. DOI: 10.1016/j.simpat.2021.102312. [28] CHENG W Y, OUTEIRO J, COSTES J P, et al. A constitutive model for Ti6Al4V considering the state of stress and strain rate effects [J]. Mechanics of Materials, 2019, 137: 103103. DOI: 10.1016/j.mechmat.2019.103103. [29] CHEN G, REN C Z, YANG X Y, et al. Finite element simulation of high-speed machining of titanium alloy (Ti-6Al-4V) based on ductile failure model [J]. The International Journal of Advanced Manufacturing Technology, 2011, 56(9): 1027–1038. DOI: 10.1007/s00170-011-3233-6. [30] 于鑫, 孙杰, 熊青春, 等. 7050-T7451铝合金铣削加工表面材料特性与本构关系模型的建立 [J]. 中国有色金属学报, 2015, 25(11): 2982–2989. DOI: 10.19476/j.ysxb.1004.0609.2015.11.004.YU X, SUN J, XIONG Q C, et al. Milling surface properties of 7050-T7451 aluminum alloy and establishment of constitutive model [J]. The Chinese Journal of Nonferrous Metals, 2015, 25(11): 2982–2989. DOI: 10.19476/j.ysxb.1004.0609.2015.11.004. [31] 李臻, 刘彦, 黄风雷, 等. 接触爆炸和近距离爆炸比冲量数值仿真研究 [J]. 北京理工大学学报, 2020, 40(2): 143–149. DOI: 10.15918/j.tbit1001-0645.2019.049.LI Z, LIU Y, HUANG F L, et al. Investigation of specific impulse under contact explosion and close-in explosion conditions using numerical method [J]. Transactions of Beijing Institute of Technology, 2020, 40(2): 143–149. DOI: 10.15918/j.tbit1001-0645.2019.049. [32] 王辉. 炸药爆炸产物JWL状态方程参数数值计算 [D]. 西安: 西安工业大学, 2011.WANG H. Numerical calculation of the JWL EOS parameters of explosive detonation products [D]. Xi’an: Xi`an Technological University, 2011. [33] CARNEY K S, DUBOIS P, CUDZIŁO S, et al. The effect of TNT mass and standoff distance on the response of fully clamped circular aluminum plates to confined air-blast loading [J]. International Journal of Impact Engineering, 2022, 170: 104357. DOI: 10.1016/j.ijimpeng.2022.104357. [34] 戴志成. 飞机断离销剪切强度有限元与实验研究 [D]. 沈阳: 沈阳理工大学, 2017.DAI Z C. Finite element and experimental study on shear strength of aircraft fuse Pin [D]. Shenyang: Shenyang Ligong University, 2017. [35] 冯蕴雯, 林心怡, 薛小锋, 等. 高可靠单向爆破的民机防爆结构设计 [J]. 航空学报, 2023, 44(18): 228297. DOI: 10.7527/S1000-6893.2023.28297.FENG Y W, LIN X Y, XUE X F, et al. Design of civil aircraft explosion-proof structure for high reliable one-way blasting [J]. Acta Aeronautica et Astronautica Sinica, 2023, 44(18): 228297. DOI: 10.7527/S1000-6893.2023.28297. [36] 解江, 潘汉源, 李漩, 等. 内爆载荷作用下泄压容器准静态压力特性 [J]. 应用数学和力学, 2023, 44(10): 1236–1249. DOI: 10.21656/1000-0887.430359.XIE J, PAN H Y, LI X, et al. Quasi-static pressure characteristics of explosion venting vessel under confined explosion [J]. Applied Mathematics and Mechanics, 2023, 44(10): 1236–1249. DOI: 10.21656/1000-0887.430359. [37] 左铭朔, 徐豫新, 李永鹏, 等. 民机用定向泄爆容器结构爆炸载荷下的动态响应 [J/OL]. 兵工学报. (2023-06-09)[2023-10-30]. http://kns.cnki.net/kcms/detail/11.2176.TJ.20230608.1210.006.html.ZUO M S, XU Y X, LI Y P, et al. Dynamic response of directional blast relief container structure for civil aircraft under explosive loading [J/OL]. Acta Armamentarii. (2023-06-09)[2023-10-30]. http://kns.cnki.net/kcms/detail/11.2176.TJ.20230608.1210.006.html. [38] 马银亮, 张攀, 程远胜, 等. 舱内爆炸载荷下箱型舱室角隅连接结构设计 [J]. 爆炸与冲击, 2022, 42(12): 125102. DOI: 10.11883/bzycj-2021-0437.MA Y L, ZHANG P, CHENG Y S, et al. Design of corner connection structures of box-type cabins subjected to internal blast loading [J]. Explosion and Shock Waves, 2022, 42(12): 125102. DOI: 10.11883/bzycj-2021-0437. [39] 徐景林, 顾文彬, 刘建青, 等. 圆柱形爆炸容器内爆炸载荷的分布规律 [J]. 振动与冲击, 2020, 39(18): 276–282. DOI: 10.13465/j.cnki.jvs.2020.18.038.XU J L, GU W B, LIU J Q, et al. Distribution of blast loading in cylindrical explosive containment vessels [J]. Journal of Vibration and Shock, 2020, 39(18): 276–282. DOI: 10.13465/j.cnki.jvs.2020.18.038. [40] 徐景林, 顾文彬, 刘建青, 等. 圆柱形爆炸容器的应变增长现象 [J]. 兵工学报, 2018, 39(S1): 96–101. DOI: 10.3969/j.issn.1000-1093.2018.S1.016.XU J L, GU W B, LIU J Q, et al. Strain growth in cylindrical explosion vessel subjected to internal blast loading [J]. Acta Armamentarii, 2018, 39(S1): 96–101. DOI: 10.3969/j.issn.1000-1093.2018.S1.016. [41] DONG Q, LI Q M, ZHENG J Y. Interactive mechanisms between the internal blast loading and the dynamic elastic response of spherical containment vessels [J]. International Journal of Impact Engineering, 2010, 37(4): 349–358. DOI: 10.1016/j.ijimpeng.2009.10.004. [42] LIU X, GU W B, LIU J Q, et al. Dynamic response of cylindrical explosion containment vessels subjected to internal blast loading [J]. International Journal of Impact Engineering, 2020, 135: 103389. DOI: 10.1016/j.ijimpeng.2019.103389. -


下载: