A new composite protective structure based on the controllability of blast load on the structure layer (Ⅰ): blast resistance mechanism
-
摘要: 针对以中粗砂为分配层的传统成层式结构难以可靠控制作用于主体结构上荷载的缺陷,以及以泡沫混凝土为夹层的组合式防护结构抗爆机制不明等问题,开展组合式防护结构预制孔装药爆炸试验,测得特定位置处的爆炸波时程曲线和结构损伤破坏情况。并基于Kong-Fang混凝土材料模型和LS-DYNA中的光滑粒子伽辽金(smoothed particle Galerkin, SPG)算法,开展了爆炸波在组合式防护结构中传播衰减规律和损伤破坏的数值模拟研究。试验和数值模拟结果表明:组合式防护结构的抗爆机制在于遮弹层和泡沫混凝土层之间的强波阻抗失配关系,通过调控爆炸能量的分配,使得爆炸能量大部分耗散在遮弹层中,大幅减少了经泡沫混凝土层到达主体结构上的荷载和能量。
-
关键词:
- 泡沫混凝土 /
- 组合式防护结构 /
- 爆炸波 /
- 波阻抗 /
- Kong-Fang模型
Abstract: The layered protective structure composed of a bursting layer, distribution layer, and structure layer is usually used to resist the penetration and blast waves induced by advanced earth-penetrating weapons (EPWs). The defect of a traditional layered protective structure with medium/coarse sand as the distribution layer is that it is difficult to reliably control the load on the structure layer. To solve this issue, an alternative approach is presented by replacing the material of the distribution layer from the frequently used medium/coarse sand to foam concrete. A blast test on the layered composite target composed of a CF120 concrete (a fiber-reinforced high-strength concrete) bursting layer, a C5 foam concrete distribution layer, and a C40 reinforced concrete structure layer was first conducted in the present study to investigate the blast resistance of layered protective structure sandwiched by foam concrete (named composite protective structure), in which the damage and failure in the layered composite target and blast waves at specific locations were a major concern and were accurately recorded. Then, based on the concrete material model established by Kong and Fang and the smoothed particle Galerkin (SPG) algorithm available in the LS-DYNA, a corresponding numerical model was developed and validated against the test data. Using the validated numerical model, the propagation and attenuation of blast waves and damage and failure in the composite protective structure induced by cylindrical charge explosion are discussed in detail. It is found that the blast resistance mechanism of the composite protective structure is attributed to the extreme wave impedance mismatch between the bursting layer and the foam concrete layer, which greatly reduces the propagation of blast waves into the foam concrete layer, leading to a transformation of more blast energy to the bursting layer, so that the blast load and energy on the structure layer can be greatly reduced. The research results can provide an important reference for the design of protective structures against EPWs.-
Key words:
- foam concrete /
- composite protective structure /
- blast load /
- wave impedance /
- Kong-Fang material model
-
表 1 CF120超高性能混凝土配合比(单位:kg/m3)
Table 1. Mix proportion of CF120 ultra-high performance concrete (unit: kg/m3)
高强
水泥活性
粉末砂 石子 钢纤维 水 减水剂 5~10 mm 10~16 mm 523 230 623 407 611 25 122 21 表 2 泡沫混凝土配合比
Table 2. Mix proportion of foam concrete
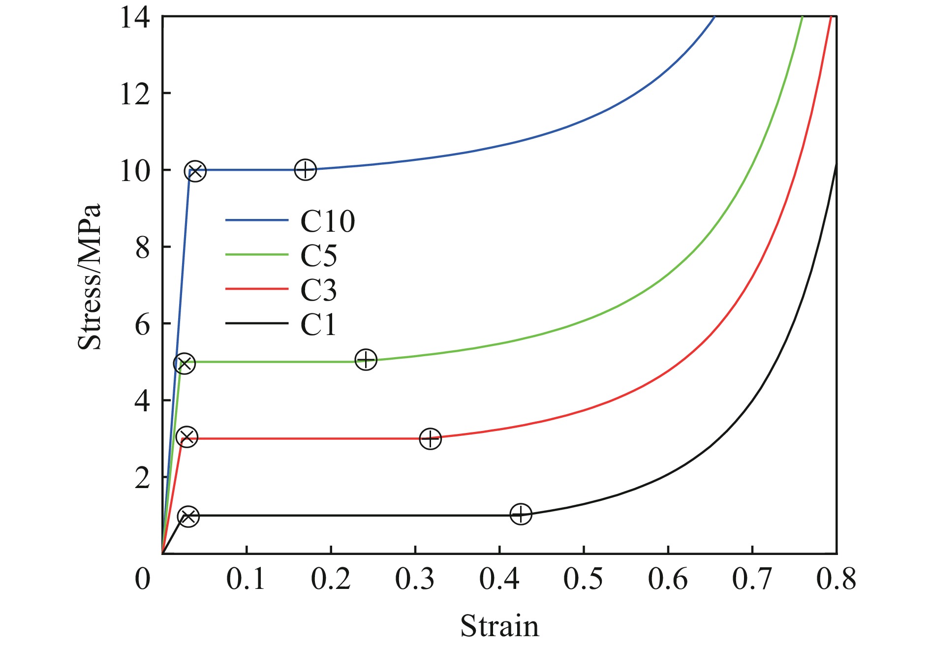
强度等级 设计密度/(kg∙m−3) 粉煤灰/(kg∙m−3) 矿渣/(kg∙m−3) 硅酸钠溶液/(kg∙m−3) 氢氧化钠固体/(kg∙m−3) 水/(kg∙m−3) 泡沫/(L∙m−3) C1 500 202 202 188 14 72 600 C3 900 362 362 339 25 133 406 C5 1200 484 484 452 33 182 108 C10 1400 564 564 528 38 213 65 -
[1] 方秦, 柳锦春. 地下防护结构 [M]. 北京: 中国水利水电出版社, 2010: 272–277. [2] 方秦, 杜涛, 彭永, 等. 对遮弹层抗弹体侵彻性能的讨论 [J]. 防护工程, 2014, 36(5): 31–36.FANG Q, DU T, PENG Y, et al. Discussions on the performance of the overlayers against the penetration of projectile [J]. Protective Engineering, 2014, 36(5): 31–36. [3] 刘瑞朝, 吴飚, 张晓忠, 等. 高强高含量钢纤维混凝土抗侵彻性能试验研究 [J]. 爆炸与冲击, 2002, 22(4): 368–372.LIU R C, WU B, ZHANG X Z, et al. Test on resisting projectiles penetration of high strength volume steel fiber concrete [J]. Explosion and Shock Waves, 2002, 22(4): 368–372. [4] 方秦, 罗曼, 张锦华, 等. 弹体侵彻刚玉块石混凝土复合靶体的数值分析 [J]. 爆炸与冲击, 2015, 35(4): 489–495. DOI: 10.11883/1001-1455(2015)04-0489-07.FANG Q, LUO M, ZHANG J H, et al. Numerical analysis of the projectile penetration into the target of corundum-rubble concrete composite overlay [J]. Explosion and Shock Waves, 2015, 35(4): 489–495. DOI: 10.11883/1001-1455(2015)04-0489-07. [5] 周布奎, 周早生, 唐德高, 等. 刚玉块石粒径对刚玉块石砼抗侵彻性能影响的试验研究 [J]. 爆炸与冲击, 2004, 24(1): 370–375.ZHOU B K, ZHOU Z S, TANG D G, et al. The experimental study of nubbly corundum’s size affection to characteristics of anti-penetration of nubbly corundum concrete [J]. Explosion and Shock Waves, 2004, 24(1): 370–375. [6] 周布奎, 唐德高, 周早生, 等. 着靶速度对刚玉块石混凝土抗侵彻性能的影响 [J]. 爆炸与冲击, 2005, 25(1): 59–63. DOI: 10.11883/1001-1455(2005)01-0059-05.ZHOU B K, TANG D G, ZHOU Z S, et al. Study of influence of hit velocity on the anti-penetration behavior of nubbly corundum concrete [J]. Explosion and Shock Waves, 2005, 25(1): 59–63. DOI: 10.11883/1001-1455(2005)01-0059-05. [7] 郭虎, 何丽灵, 陈小伟, 等. 球形颗粒遮弹层对高速侵彻弹体的作用机理 [J]. 爆炸与冲击, 2020, 40(10): 103301. DOI: 10.11883/bzycj-2019-0428.GUO H, HE L L, CHEN X W, et al. Penetration mechanism of a high-speed projectile into a shelter made of spherical aggregates [J]. Explosion and Shock Waves, 2020, 40(10): 103301. DOI: 10.11883/bzycj-2019-0428. [8] 罗文超, 赵凯, 刘飞, 等. 爆炸荷载下分层防护结构损伤效应的数值模拟 [J]. 防护工程, 2011, 33(5): 41–46.LUO W C, ZHAO K, LIU F, et al. Numerical simulation of damage effects of multi-layered structures under blast loading [J]. Protective Engineering, 2011, 33(5): 41–46. [9] 任新见, 张庆明, 刘瑞朝. 成层式结构泡沫空心球分配层抗爆性能试验研究 [J]. 振动与冲击, 2015, 34(21): 100–104. DOI: 10.13465/j.cnki.jvs.2015.21.018.REN X J, ZHANG Q M, LIU R C. Tests for anti-blast performance of layered structures with hollow foam spheres as distribution layers [J]. Journal of Vibration Shock, 2015, 34(21): 100–104. DOI: 10.13465/j.cnki.jvs.2015.21.018. [10] 任新见, 张磊. 以泡沫陶瓷空心球为分配层的成层式防护结构抗爆性能实验研究 [J]. 防护工程, 2015, 36(1): 12–16.REN X J, ZHANG L. Experimental research on protective property of layered structure with hollow ceramics foam spheres as distribution layer [J]. Protective Engineering, 2015, 36(1): 12–16. [11] 徐畅, 崔传安, 王在晖. 聚氨酯泡沫分配层在成层式防护层中的数值模拟 [J]. 防护工程, 2016, 38(6): 44–47.XU C, CUI C A, WANG Z H. Numerical simulation of the polyurethane foam distribution layer in the multilayer protective layer [J]. Protective Engineering, 2016, 38(6): 44–47. [12] 泡沫混凝土规范: JG/T266—2011 [S]. 北京: 中国标准出版社, 2011: 2–11. [13] 李砚召, 王肖钧, 吴祥云, 等. 分配层分层结构对核爆炸荷载的防护效果试验研究 [J]. 中国科学技术大学学报, 2009, 39(9): 931–935.LI Y Z, WANG X J, WU X Y, et al. Test study on layered structure`s defense effect of distribution layer against nuclear explosive loadings [J]. Journal of University of Science and Technology of China, 2009, 39(9): 931–935. [14] 张景飞, 冯明德, 陈金刚. 泡沫混凝土抗爆性能的试验研究 [J]. 混凝土, 2010(10): 10–12. DOI: 10.3969/j.issn.1002-3550.2010.10.004.ZHANG J F, FENG M D, CHEN J G. Study on the knock characteristic of foam concrete [J]. Concrete, 2010(10): 10–12. DOI: 10.3969/j.issn.1002-3550.2010.10.004. [15] 高全臣, 吴海燕. 泡沫混凝土复合防护结构的抗爆性能试验研究 [C]//第六届全国工程结构安全防护学术会议. 洛阳, 2007: 114–117. [16] 杜玉兰, 王代华, 刘殿书, 等. 含泡沫混凝土层复合结构抗爆性能试验研究 [C]//首届全国水工抗震防灾学术会议. 南京, 2006: 80–84. [17] KONG X Z, FANG Q, CHEN L, et al. A new material for concrete subjected to intense dynamic loadings [J]. International Journal of Impact Engineering, 2018, 120: 60–78. DOI: 10.1016/j.ijimpeng.2018.05.006. [18] ZHANG S B, KONG X Z, FANG Q, et al. Numerical prediction of dynamic failure in concrete targets subjected to projectile impact by a modified Kong-Fang material model [J]. International Journal of Impact Engineering, 2020, 144: 103633. DOI: 10.1016/j.ijimpeng.2020.103633. [19] WANG Y, KONG X Z, FANG Q, et al. Modelling damage mechanisms of concrete under high confinement pressure [J]. International Journal of Impact Engineering, 2021, 150: 103815. DOI: 10.1016/j.ijimpeng.2021.103815. [20] WU C T, WU, Y C, CRAWFORD J E, et al. Three-dimensional concrete impact and penetration simulations using the smoothed particle Galerkin method [J]. International Journal of Impact Engineering, 2017, 106: 1–17. DOI: 10.1016/j.ijimpeng.2017.03.005. [21] 孔祥振, 方秦. 基于SPH方法对强动载下混凝土结构损伤破坏的数值模拟研究 [J]. 中国科学(物理学 力学 天文学), 2020, 50(2): 21–29. DOI: 10.1360/SSPMA-2019-0186.KONG X Z, FANG Q. Numerical predictions of failures in concrete structures subjected to intense dynamic loadings using the smooth particle hydrodynamics method [J]. Scientia Sinica (Physica, Mechanica & Astronomica), 2020, 50(2): 21–29. DOI: 10.1360/SSPMA-2019-0186. [22] 高矗, 孔祥振, 方秦, 等. 混凝土中爆炸应力波衰减规律的数值模拟研究 [J]. 爆炸与冲击, 2022, 42(12): 123202. DOI: 10.11883/bzycj-2022-0041.GAO C, KONG X Z, FANG Q, et al. Numerical investigation on attenuation of stress wave in concrete subjected to explosion [J]. Explosion and Shock Waves, 2022, 42(12): 123202. DOI: 10.11883/bzycj-2022-0041. [23] KULAK R F, BOJANOWSKI C. Modeling of cone penetration test using SPH and MM-ALE Approaches[C]// 8th European LS-DYNA Users Conference. 2011: 1–9. [24] 陈享. 三维多介质任意拉格朗日欧拉方法的若干问题研究及应用[D]. 北京: 清华大学, 2018: 4–5. DOI: 10.27266/d.cnki.gqhau.2018.000211. [25] KURTOLU L. A review of S-ALE solver for blast simulations[C]// 11th European LS-DYNA Conference. Salzburg, 2017: 1–8. [26] 杨亚, 孔祥振, 方秦, 等. 爆炸荷载下泡沫混凝土分配层最小厚度的计算方法 [J]. 爆炸与冲击, 2023, 43(11): 114201. DOI: 10.11883/bzycj-2023-0047.YANG Y, KONG X Z, FANG Q, et al. A calculation method for the minimum thickness of a foam concrete distribution layer under blast load [J]. Explosion And Shock Waves, 2023, 43(11): 114201. DOI: 10.11883/bzycj-2023-0047. [27] 王代华, 刘殿书, 杜玉兰, 等. 含泡沫吸能层防护结构爆炸能量分布的数值模拟研究 [J]. 爆炸与冲击, 2006, 26(6): 562–567. DOI: 10.11883/1001-1455(2006)06-0562-06.WANG D H, LIU D S, DU Y L, et al. Numerical simulation of anti-blasting mechanism and energy distribution of composite protective structure with foam concrete [J]. Explosion and Shock Waves, 2006, 26(6): 562–567. DOI: 10.11883/1001-1455(2006)06-0562-06. -


下载: