Data-driven safety prediction of power battery pack under side pole collision
-
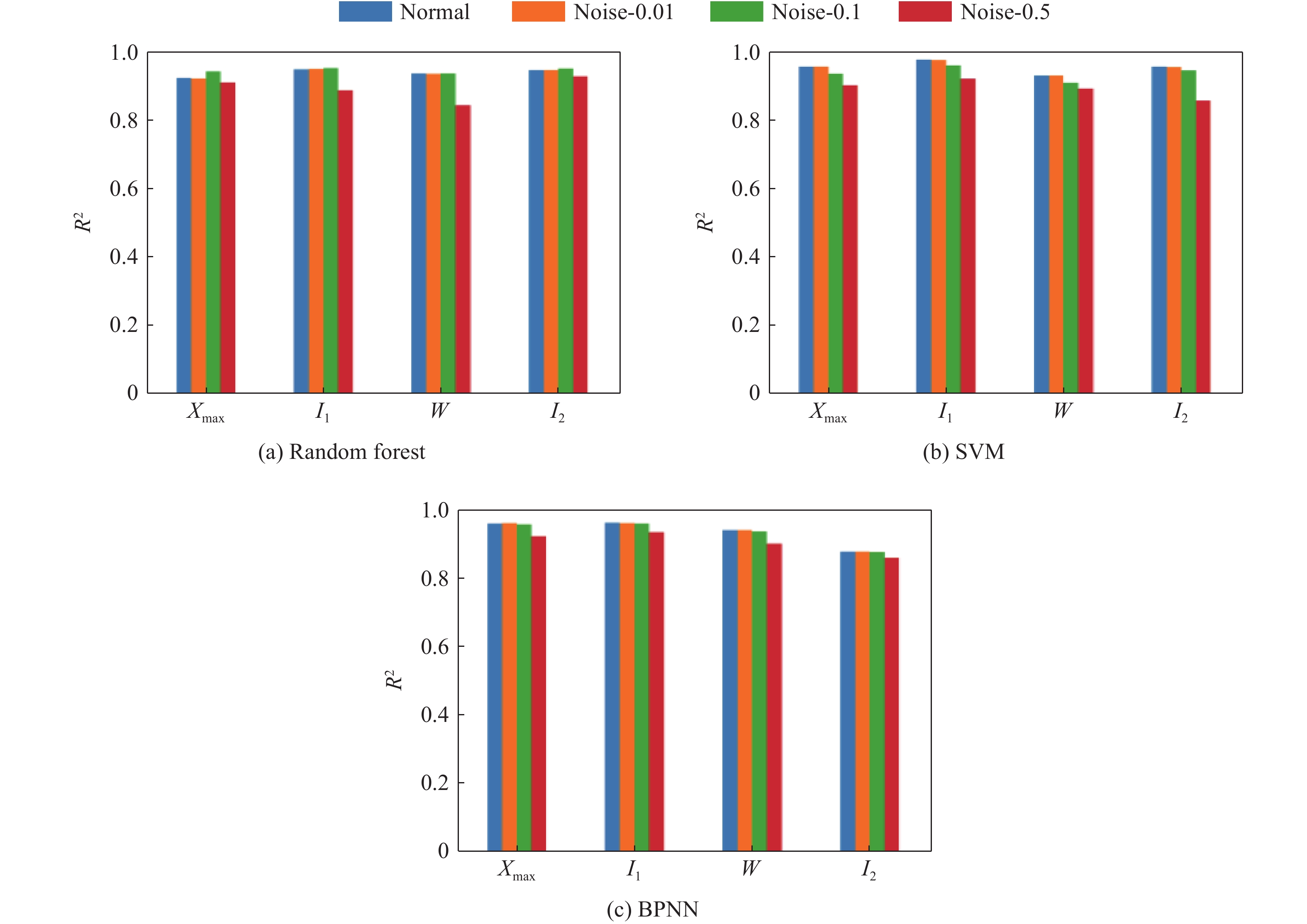
摘要: 电动汽车电池包在侧面柱碰撞下极易失效并可能发生着火。为准确、快速地评估电池包在侧面柱碰撞下安全性,采用区域细化的电池包模型,在不同的碰撞速度、碰撞角度、碰撞位置和车辆装载状态下开展了仿真分析,采用优化拉丁超立方采样策略设计了仿真矩阵,并通过图像识别的方法批量提取电池包碰撞响应生成数据集。对研究参数进行组合生成了新特征,并对参数进行相关性分析,确定了模型训练的输入特征。采用支持向量机、随机森林方法和反向传播神经网络(back propagation neural network, BPNN)机器学习方法建立了数据驱动的预测模型。结果表明,支持向量机模型性能最优,模型预测参数的平均决定系数R2为0.96。在训练数据集中引入标准差不同的高斯噪声,对模型的鲁棒性进行了检验,BPNN机器学习方法的鲁棒性较优。采用建立的数据驱动模型能够预测电池包侧面柱碰撞下的变形情况,评估电池包的碰撞安全性。Abstract: The battery pack of electric vehicles is highly susceptible to failure and may catch fire under side pole collision. To accurately and rapidly evaluate the safety of battery packs under such conditions, this paper introduces a local region refined battery pack model that can effectively characterize the deformation and mechanical response of the jellyroll of battery. Simulation analyses were conducted under varying impact velocity, angles, positions, and vehicle loading configuration, with the latter achieved by uniformly applying mass compensation to the side wall of the battery pack. A simulation matrix was designed using an optimized Latin hypercube sampling strategy, and a dataset was generated through image recognition methods. This dataset includes parameters such as the maximum intrusion depth, intrusion location, intrusion width of the battery pack side wall, and the deformation of the jellyroll of battery. New features, including collision energy and velocity components in x and y directions, were derived and selected as input features for model training through correlation analysis. Support vector machine (SVM), random forest (RF) method, and back propagation neural network (BPNN) machine learning method were employed to build a data-driven predictive model. The SVM model demonstrated superior performance, achieving an average determination coefficient R2 of 0.96 across prediction parameters. The prediction of the maximum intrusion depth of the battery pack side wall was particularly accurate, with an R2 exceeding 0.95 for all three models. Additionally, the robustness of the models was tested by Gaussian noise, where the BPNN exhibited better robustness. The BP model maintained an average R2 of 0.91 for the prediction parameters when Gaussian noise with a standard deviation of 0.5. The established data-driven model can effectively predict the mechanical response of battery packs under side pole collisions and provide a reliable tool for evaluating the battery pack safety.
-
Key words:
- battery pack /
- crash safety /
- side pole collision /
- machine learning /
- finite element simulation
-
表 1 机器学习模型超参数组合
Table 1. Machine learning model hyperparameter selection
算法 超参数 取值 算法 超参数 取值 随机森林 随机森林中树的数量 100 支持向量机 回归模型的惩罚程度 100 树的最大深度 None 误差惩罚边界 0.5 分割内部节点所需的最小样本数 2 核函数 ‘rbf’ 叶子结点上所需的最小样本数 1 BP神经网络 各隐藏层中的神经元数目 (50,50) 激活函数 ‘identity’ 表 2 机器学习模型预测效果
Table 2. Accuracy analysis of ML models
机器学习
模型预测
参数R2 MSE/
mm2RMSE/
mmMAE/
mmMAPE/
%随机森林 Xmax 0.9312 92.47 9.616 7.352 1.009 I1 0.9569 33.02 5.747 4.594 5.043 W 0.9440 589.6 24.28 17.63 4.312 I2 0.9540 3.954 1.989 1.338 130.5 支持向量机 Xmax 0.9640 48.38 6.955 5.195 0.7235 I1 0.9839 12.33 3.512 2.556 2.946 W 0.9373 659.8 25.69 18.73 4.656 I2 0.9636 3.127 1.768 1.416 306.4 BP神经网络 Xmax 0.9678 43.27 6.578 5.233 0.7151 I1 0.9694 23.46 4.843 3.826 4.110 W 0.9483 544.4 23.33 18.55 4.424 I2 0.8849 9.898 3.146 2.573 591.2 表 3 为所有训练集数据添加噪声(
$\sigma=0.5 $ )后各类机器学习模型预测效果Table 3. Accuracy analysis of ML models after adding Gaussian noise (
$\sigma=0.5 $ ) to all training data机器学习模型 预测参数 R2 MSE/mm2 RMSE/mm MAE/mm MAPE/% 随机森林 Xmax 0.9171 111.4 10.55 8.762 1.208 I1 0.8941 81.15 9.008 7.553 8.525 W 0.8498 1580 39.75 32.22 7.576 I2 0.9358 5.515 2.349 1.695 179.3 支持向量机 Xmax 0.9097 121.4 11.02 8.363 1.156 I1 0.9286 54.75 7.399 5.739 6.241 W 0.8989 1063 32.61 24.45 5.935 I2 0.8638 11.71 3.422 2.806 732.7 BP神经网络 Xmax 0.9308 92.95 9.641 7.958 1.084 I1 0.9415 44.81 6.694 5.524 6.110 W 0.9084 964.3 31.05 24.88 5.831 I2 0.8673 11.41 3.377 2.831 575.7 -
[1] CHEN P W, XIA Y, ZHOU Q. Inclined battery cells for mitigating damage in undercarriage collision [J]. International Journal of Crashworthiness, 2024, 29(3): 508–520. DOI: 10.1080/13588265.2023.2258645. [2] LI W, XIA Y, CHEN G H, et al. Comparative study of mechanical-electrical-thermal responses of pouch, cylindrical, and prismatic lithium-ion cells under mechanical abuse [J]. Science China Technological Sciences, 2018, 61(10): 1472–1482. DOI: 10.1007/s11431-017-9296-0. [3] LAI W J, ALI M Y, PAN J. Mechanical behavior of representative volume elements of lithium-ion battery modules under various loading conditions [J]. Journal of Power Sources, 2014, 248: 789–808. DOI: 10.1016/j.jpowsour.2013.09.128. [4] SAHRAEI E, BOSCO E, DIXON B, et al. Microscale failure mechanisms leading to internal short circuit in Li-ion batteries under complex loading scenarios [J]. Journal of Power Sources, 2016, 319: 56–65. DOI: 10.1016/j.jpowsour.2016.04.005. [5] SAHRAEI E, CAMPBELL J, WIERZBICKI T. Modeling and short circuit detection of 18650 Li-ion cells under mechanical abuse conditions [J]. Journal of Power Sources, 2012, 220: 360–372. DOI: 10.1016/j.jpowsour.2012.07.057. [6] XIAO F Y, XING B B, XIA Y. Mechanical response of laterally-constrained prismatic battery cells under local loading: SAE Technical Paper 2020-01-0200 [R]. SAE, 2020. DOI: 10.4271/2020-01-0200. [7] XIA Y, WIERZBICKI T, SAHRAEI E, et al. Damage of cells and battery packs due to ground impact [J]. Journal of Power Sources, 2014, 267: 78–97. DOI: 10.1016/j.jpowsour.2014.05.078. [8] KUKREJA J, NGUYEN T, SIEGMUND T, et al. Crash analysis of a conceptual electric vehicle with a damage tolerant battery pack [J]. Extreme Mechanics Letters, 2016, 9: 371–378. DOI: 10.1016/j.eml.2016.05.004. [9] ZHANG J Y, NING L N, HAO Y M, et al. Topology optimization for crashworthiness and structural design of a battery electric vehicle [J]. International Journal of Crashworthiness, 2021, 26(6): 651–660. DOI: 10.1080/13588265.2020.1766644. [10] CHEN P W, XIA Y, ZHOU Q, et al. Staggered layout of battery cells for mitigating damage in side pole collisions of electric vehicles [J]. eTransportation, 2023, 16: 100238. DOI: 10.1016/j.etran.2023.100238. [11] LI W, ZHU J E, XIA Y, et al. Data-driven safety envelope of lithium-ion batteries for electric vehicles [J]. Joule, 2019, 3(11): 2703–2715. DOI: 10.1016/j.joule.2019.07.026. [12] ZHANG Z, ZHOU H P, MA J Y, et al. Space deployable bistable composite structures with C-cross section based on machine learning and multi-objective optimization [J]. Composite Structures, 2022, 297: 115983. DOI: 10.1016/j.compstruct.2022.115983. [13] PAN Y J, ZHANG X X, LIU Y, et al. Dynamic behavior prediction of modules in crushing via FEA-DNN technique for durable battery-pack system design [J]. Applied Energy, 2022, 322: 119527. DOI: 10.1016/j.apenergy.2022.119527. [14] XU D X, PAN Y J, ZHANG X X, et al. Data-driven modelling and evaluation of a battery-pack system’s mechanical safety against bottom cone impact [J]. Energy, 2024, 290: 130145. DOI: 10.1016/J.ENERGY.2023.130145. [15] 中国汽车技术研究中心有限公司. C-NCAP管理规则(2024版) [R/OL]. 天津, 2024. https://www.c-ncap.org.cn/article-detail/1747900203303780353?type=2.China Automotive Technology and Research Center Co. , Ltd. C-NCAP management rules (2024 Edition) [R/OL]. Tianjin, 2024. https://www.c-ncap.org.cn/article-detail/1747900203303780353?type=2. [16] 国家市场监督管理总局, 国家标准化管理委员会. 汽车侧面柱碰撞的乘员保护: GB/T 37337-2019 [S]. 北京: 中国标准出版社, 2019.State Administration of Market Supervision and Administration of the People’s Republic of China, Standardization Administration of the People’s Republic of China. Protection of the occupants in the event of a lateral pole collision: GB/T 37337-2019 [S]. Beijing: Standards Press of China, 2019. [17] QU Y L, GE Y L, XING B B, et al. Development of detailed model and simplified model of lithium-ion battery module under mechanical abuse: SAE Technical Paper 2022-01-7120 [R]. SAE, 2022. DOI: 10.4271/2022-01-7120. [18] 陈涛, 李宁宁, 李卓, 等. 侧面柱碰撞条件下电动汽车电池系统结构优化 [J]. 中国机械工程, 2020, 31(9): 1021–1030. DOI: 10.3969/j.issn.1004-132X.2020.09.002.CHEN T, LI N N, LI Z, et al. Structural optimization of electric vehicle battery systems under pole side impacts [J]. China Mechanical Engineering, 2020, 31(9): 1021–1030. DOI: 10.3969/j.issn.1004-132X.2020.09.002. [19] YI J, LI X Y, XIAO M, et al. Construction of nested maximin designs based on successive local enumeration and modified novel global harmony search algorithm [J]. Engineering Optimization, 2017, 49(1): 161–180. DOI: 10.1080/0305215X.2016.1170825. [20] RAUTELA M, GOPALAKRISHNAN S. Ultrasonic guided wave based structural damage detection and localization using model assisted convolutional and recurrent neural networks [J]. Expert Systems with Applications, 2021, 167: 114189. DOI: 10.1016/j.eswa.2020.114189. -


下载:

