• ISSN 1001-1455  CN 51-1148/O3
  • EI、Scopus、CA、JST、EBSCO、DOAJ收录
  • 力学类中文核心期刊
  • 中国科技核心期刊、CSCD统计源期刊

基于Tersoff势的晶格中波动传播

周子清 王鹏飞 徐松林

周子清, 王鹏飞, 徐松林. 基于Tersoff势的晶格中波动传播[J]. 爆炸与冲击, 2024, 44(9): 091421. doi: 10.11883/bzycj-2024-0007
引用本文: 周子清, 王鹏飞, 徐松林. 基于Tersoff势的晶格中波动传播[J]. 爆炸与冲击, 2024, 44(9): 091421. doi: 10.11883/bzycj-2024-0007
ZHOU Ziqing, WANG Pengfei, XU Songlin. Wave propagation in lattices based on Tersoff potential[J]. Explosion And Shock Waves, 2024, 44(9): 091421. doi: 10.11883/bzycj-2024-0007
Citation: ZHOU Ziqing, WANG Pengfei, XU Songlin. Wave propagation in lattices based on Tersoff potential[J]. Explosion And Shock Waves, 2024, 44(9): 091421. doi: 10.11883/bzycj-2024-0007

基于Tersoff势的晶格中波动传播

doi: 10.11883/bzycj-2024-0007
基金项目: 国家自然科学基金(12372372,11672286,11872361);高压物理与地震科技联合实验室开放基金 (2019HPPES01);中石油与中科院重大战略合作项目(2015A-4812);中央高校基本科研业务费专项资金(WK2480000008)
详细信息
    作者简介:

    周子清(1997- ),男,硕士研究生,zhzqing@mail.ustc.edu.cn

    通讯作者:

    王鹏飞(1985- ),男,博士,副研究员,pfwang5@ustc.edu.cn

  • 中图分类号: O347.4

Wave propagation in lattices based on Tersoff potential

  • 摘要: 在晶格间的Tersoff势作用下分别研究了单晶体系和多晶体系中的波动传播特性。首先,在微振动的情况下,分别基于晶格间线性作用、Tersoff势作用以及含缺陷的Tersoff势作用3种势能函数研究了单晶体系中格波的传播,得到了晶格中的色散关系以及格波波速的表达式。其次,分别以碳晶格和硅晶格为例,运用有限差分方法,研究了3种势能作用下单晶体系中的波动传播过程,对比了压缩和拉伸冲击下晶格的运动差异,并讨论了入射速度对位移峰值和受力峰值的影响,揭示了单晶体系中波动传播与连续介质中波动传播的差异。最后,分别以金刚石和碳化硅为例,采用分子动力学模拟方法,研究了多晶体系中的波动传播特性,讨论了不同空间位置原子的运动差异。结果表明:多晶体系中晶格结构更复杂,其中的波动传播特性与单晶体系存在差异;缺陷的存在对波动传播规律影响显著,这种影响在多晶体系中表现得更加突出。
  • 图  1  一维原子链振动模型[27]

    Figure  1.  Vibration model of one-dimensional atomic chain[27]

    图  2  Tersoff势下角频率与波数的关系

    Figure  2.  Relationship between angular frequency and wavenumber under Tersoff potential

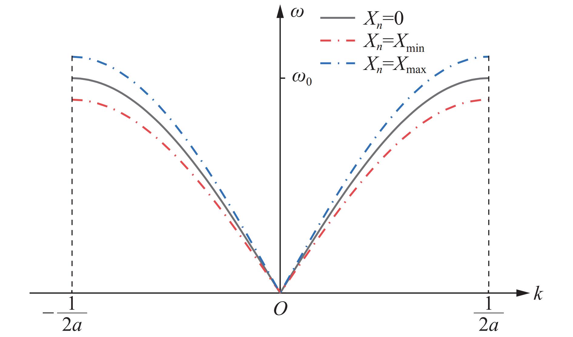
    图  3  含缺陷的Tersoff势下角频率与波数的关系

    Figure  3.  Relationship between angular frequency and wavenumber under Tersoff potential with defects

    图  4  碳晶格中势力与晶格间距的关系

    Figure  4.  Relationship between force and lattice spacing in carbon lattices

    图  5  不同势作用下碳晶格中波的传播特性

    Figure  5.  Propagation characteristics of waves in carbon lattice under different potentials

    图  6  压缩和拉伸过程中波形的对比

    Figure  6.  Comparison of waveforms during compression and stretching processes

    图  7  含缺陷时压缩和拉伸过程中波形的对比

    Figure  7.  Comparison of waveforms during compression and stretching processes with defects

    图  8  C晶格和Si晶格中波的传播特性

    Figure  8.  Propagation characteristics of waves in carbon lattice and silicon lattice

    图  9  单晶中入射速度的影响

    Figure  9.  Influence of incident velocity in single crystals

    图  10  金刚石和碳化硅的分子动力学模型

    Figure  10.  Molecular dynamics models of diamond and silicon carbide

    图  11  金刚石中波的传播特性

    Figure  11.  Propagation characteristics of waves in diamond

    图  12  金刚石中间与顶端原子的运动过程

    Figure  12.  Motion process of the middle and top atoms in diamond

    图  13  压缩和拉伸过程中金刚石中的波传播特性

    Figure  13.  Wave propagation characteristics of diamond during compression and stretching processes

    图  14  金刚石与碳化硅中波传播过程的对比

    Figure  14.  Comparison of wave propagation processes in diamond and silicon carbide

    图  15  多晶体系中入射速度对波传播的影响

    Figure  15.  Influences of incident velocity on wave propagation in polycrystalline systems

    表  1  Tersoff势函数中的材料参数[30]

    Table  1.   Material parameters in Tersoff potential[30]

    共价键种类 m1 γ λ3–1 C d cosθ0 n1
    C―C 3.0 1.0 0 38 049 4.348 4 –0.570 58 0.727 51
    Si―Si 3.0 1.0 0 100 390 16.217 0 –0.598 25 0.787 34
    共价键种类 β λ2–1 B/eV R D λ1–1 A1/eV
    C―C 1.572 4×10–7 2.211 90 346.70 1.95 0.15 3.487 9 1 393.6
    Si―Si 1.100 0×10–6 1.732 22 471.18 2.85 0.15 2.479 9 1 830.8
    下载: 导出CSV

    表  2  2种晶格在平衡位置处的参数

    Table  2.   Parameters of two types of lattices at equilibrium positions

    原子种类摩尔质量/(g·mol−1)平衡距离/Å晶格常数/Å
    C121.543.57
    Si282.355.43
    下载: 导出CSV
  • [1] 徐松林, 刘永贵, 席道瑛. 岩石物理与动力学原理 [M]. 北京: 科学出版社, 2019: 1–21.

    XU S L, LIU Y G, XI D Y. Rock physics and dynamics principle [M]. Beijing: Science Press, 2019: 1–21.
    [2] 王礼立. 应力波基础 [M]. 2版. 北京: 国防工业出版社, 2005: 1–28.

    WANG L L. Foundation of stress waves [M] 2nd ed. Beijing: National Defense Industry Press, 2005: 1–28.
    [3] 袁良柱, 陆建华, 苗春贺, 等. 基于分数阶模型的牡蛎壳动力学特性研究 [J]. 爆炸与冲击, 2023, 43(1): 011101. DOI: 10.11883/bzycj-2022-0318.

    YUAN L Z, LU J H, MIAO C H, et al. Dynamic properties of oyster shells based on a fractional-order model [J]. Explosion and Shock Waves, 2023, 43(1): 011101. DOI: 10.11883/bzycj-2022-0318.
    [4] 袁良柱, 苗春贺, 单俊芳, 等. 冲击下混凝土试样应变率效应和惯性效应探讨 [J]. 爆炸与冲击, 2022, 42(1): 013101. DOI: 10.11883/bzycj-2021-0114.

    YUAN L Z, MIAO C H, SHAN J F, et al. On strain-rate and inertia effects of concrete samples under impact [J]. Explosion and Shock Waves, 2022, 42(1): 013101. DOI: 10.11883/bzycj-2021-0114.
    [5] CHEN M D, XU S L, YUAN L Z, et al. Influence of stress state on dynamic behaviors of concrete under true triaxial confinements [J]. International Journal of Mechanical Sciences, 2023, 253: 108399. DOI: 10.2139/ssrn.4332010.
    [6] JANG S, RABBANI M, OGRINC A L, et al. Tribochemistry of diamond-like carbon: interplay between hydrogen content in the film and oxidative gas in the environment [J]. ACS Applied Materials & Interfaces, 2023, 15(31): 37997–38007. DOI: 10.1021/acsami.3c05316.
    [7] HU L F, ZHAI X Y, LI J G, et al. Improving the mechanical properties and tribological behavior of sulfobetaine polyurethane based on hydrophobic chains to be applied as artificial meniscus [J]. ACS Applied Materials & Interfaces, 2023, 15(25): 29801–29812. DOI: 10.1021/acsami.3c02940.
    [8] WANG D Y, WANG P F, WU Y F, et al. Temperature and rate-dependent plastic deformation mechanism of carbon nanotube fiber: experiments and modeling [J]. Journal of the Mechanics and Physics of Solids, 2023, 173: 105241. DOI: 10.1016/j.jmps.2023.105241.
    [9] 薛晓. 碳纳米管纤维的动静态力学性能研究 [D]. 合肥: 中国科学技术大学, 2020: 53–61. DOI: 10.27517/d.cnki.gzkju.2020.000565.

    XUE X. Investigation of dynamic and quasi-static mechanical properties of carbon nanotube fibers [D]. Hefei: University of Science and Technology of China, 2020: 53–61. DOI: 10.27517/d.cnki.gzkju.2020.000565.
    [10] MACHADO M, MOREIRA P, FLORES P, et al. Compliant contact force models in multibody dynamics: evolution of the Hertz contact theory [J]. Mechanism and Machine Theory, 2012, 53: 99–121. DOI: 10.1016/j.mechmachtheory.2012.02.010.
    [11] BORODICH F M. The Hertz-type and adhesive contact problems for depth-sensing indentation [J]. Advances in Applied Mechanics, 2014, 47: 225–366. DOI: 10.1016/b978-0-12-800130-1.00003-5.
    [12] YANG F, XIE W H, MENG S H. Impact and blast performance enhancement in bio-inspired helicoidal structures: a numerical study [J]. Journal of the Mechanics and Physics of Solids, 2020, 142: 104025. DOI: 10.1016/j.jmps.2020.104025.
    [13] PENG Q, LIU X M, WEI Y G. Elastic impact of sphere on large plate [J]. Journal of the Mechanics and Physics of Solids, 2021, 156: 104604. DOI: 10.1016/j.jmps.2021.104604.
    [14] TANG X, YANG J. Wave propagation in granular material: what is the role of particle shape? [J]. Journal of the Mechanics and Physics of Solids, 2021, 157: 104605. DOI: 10.1016/j.jmps.2021.104605.
    [15] ALBERDI R, ROBBINS J, WALSH T, et al. Exploring wave propagation in heterogeneous metastructures using the relaxed micromorphic model [J]. Journal of the Mechanics and Physics of Solids, 2021, 155: 104540. DOI: 10.1016/j.jmps.2021.104540.
    [16] WAYMEL R F, WANG E, AWASTHI A, et al. Propagation and dissipation of elasto-plastic stress waves in two dimensional ordered granular media [J]. Journal of the Mechanics and Physics of Solids, 2018, 120: 117–131. DOI: 10.1016/j.jmps.2017.11.007.
    [17] LI S F, WANG G. Introduction to micromechanics and nanomechanics [M]. Singapore: World Scientific Publishing Co. Pre. Ltd., 2008.
    [18] ZUNDEL L, MALONE K, CERDÁN L, et al. Lattice resonances for thermoplasmonics [J]. ACS Photonics, 2023, 10(1): 274–282. DOI: 10.1021/acsphotonics.2c01610.
    [19] CERDÁN L, ZUNDEL L, MANJAVACAS A. Chiral lattice resonances in 2.5-dimensional periodic arrays with achiral unit cells [J]. ACS Photonics, 2023, 10(6): 1925–1935. DOI: 10.1021/acsphotonics.3c00369.
    [20] HU Y G, LIEW K M, WANG Q, et al. Nonlocal shell model for elastic wave propagation in single-and double-walled carbon nanotubes [J]. Journal of the Mechanics and Physics of Solids, 2008, 56(12): 3475–3485. DOI: 10.1016/j.jmps.2008.08.010.
    [21] AGARWAL G, VALISETTY R R, DONGARE A M. Shock wave compression behavior and dislocation density evolution in Al microstructures at the atomic scales and the mesoscales [J]. International Journal of Plasticity, 2020, 128: 102678. DOI: 10.1016/j.ijplas.2020.1026.
    [22] SAM A, ÁLVAREZ M B, VENEGAS R, et al. Multiscale acoustic properties of nanoporous materials: from microscopic dynamics to mechanics and wave propagation [J]. The Journal of Physical Chemistry C, 2023, 127(15): 7471–7483. DOI: 10.1021/acs.jpcc.3c00060.
    [23] 薛定谔. 薛定谔讲演录 [M]. 2版. 范岱年, 胡新和, 译. 北京: 北京大学出版社, 2019: 7–8.

    SCHRÖDINGER E. Lectures of Schrödinger [M]. 2nd ed. Translated by FAN D N, HU X H. Beijing: Peking University Press, 2019: 7–8.
    [24] TOLOS L, CENTELLES M, RAMOS A. The equation of state for the nucleonic and hyperonic core of neutron stars [J]. Publications of the Astronomical Society of Australia, 2017, 34: e065. DOI: 10.1017/pasa.2017.60.
    [25] AARABI M, SARKA J, PANDEY A, et al. Quantum dynamical investigation of dihydrogen-hydride exchange in a transition-metal polyhydride complex [J]. The Journal of Physical Chemistry A, 2023, 127(31): 6385–6399. DOI: 10.1021/acs.jpca.3c01863.
    [26] HO W W, CHOI S. Exact emergent quantum state designs from quantum chaotic dynamics [J]. Physical Review Letters, 2022, 128(6): 060601. DOI: 10.1103/PhysRevLett.128.060601.
    [27] 黄昆. 固体物理学 [M]. 北京: 人民教育出版社, 1966: 35–43.
    [28] 王礼立, 胡时胜, 杨黎明, 等. 材料动力学 [M]. 合肥: 中国科学技术大学出版社, 2017: 33–158.
    [29] BRENNER D W. Tersoff-type potentials for carbon, hydrogen and oxygen [J]. MRS Online Proceedings Library (OPL), 1988, 141: 59. DOI: 10.1557/proc-141-59.
    [30] TERSOFF J. Modeling solid-state chemistry: interatomic potentials for multicomponent systems [J]. Physical Review B, 1989, 39(8): 5566. DOI: 10.1103/PhysRevB.39.5566.
  • 加载中
图(15) / 表(2)
计量
  • 文章访问数:  980
  • HTML全文浏览量:  455
  • PDF下载量:  113
  • 被引次数: 0
出版历程
  • 收稿日期:  2024-01-02
  • 修回日期:  2024-03-13
  • 网络出版日期:  2024-04-23
  • 刊出日期:  2024-09-20

目录

    /

    返回文章
    返回