Numerical research on fragment impact damage of typical aircraft structures based on an adaptive FEM-SPH coupling algorithm
-
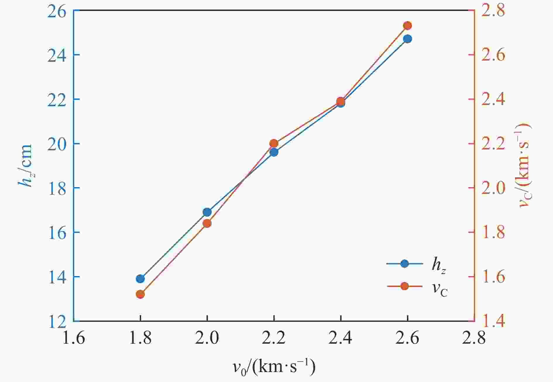
摘要: 针对飞机典型部位在遭到高速破片攻击后结构整体的战伤状态及破片的剩余行为开展数值模拟。应用LS-DYNA软件,结合有限单元方法(finite element method, FEM)和光滑粒子流体动力学(smoothed particle hydrodynamics, SPH)两者的优势,建立自适应的FEM-SPH耦合模拟方法,并构建2种飞机典型部位的计算模型,采用六面体网格局部细化方法实现了核心位置的精确模拟,并进行试验来验证数值模型;开展了一系列高速冲击战伤模拟,对比了不同工况下破片高速冲击结构后形成的碎片云和破口形貌,并对破片的剩余速度和质量进行分析,确定了破片在结构蒙皮上的临界跳飞角。结果表明:自适应FEM-SPH耦合算法的计算结果与试验结果吻合良好,能够对破片高速冲击战伤进行有效准确模拟;碎片云分布形状随破片速度增加变得狭长,冲击角度会改变碎片云和结构破口形状朝向;碎片云高度和扩散速度随破片速度或角度的变化趋势基本一致并都呈线性关系;破片的速度减少量不随初始速度变化,质量减少量则与冲击速度正相关,两者与冲击角度都负相关;破片临界跳飞角与冲击速度大小基本呈线性关系。
-
关键词:
- 自适应FEM-SPH耦合算法 /
- 高速冲击 /
- 碎片云 /
- 破片冲击
Abstract: A numerical simulation study is carried out on the overall battle damage circumstances of structures and the residual behavior of fragments after the typical parts of aircraft are attacked by high-velocity fragments. An adaptive FEM-SPH coupling simulation method is established by using the LS-DYNA software and combining the advantages of finite element method (FEM) and smoothed particle hydrodynamics (SPH). Using this coupling simulation method, the computational model of two typical parts of the aircraft is set up, and the accurate simulation of the core position is realized by a local refinement method of hexahedral FEM grids. Experiments were carried out to verify the numerical model. A series of high-velocity impact (HVI) battle damage simulations are carried out. The debris cloud and crater appearance formed after fragment impacting on structure at high velocity under different working conditions are compared, while the residual velocity and mass of the fragment are analyzed. The critical ricochet angles of the fragment on the skin are also determined. The major conclusions are given below. The calculation results of the adaptive FEM-SPH coupling algorithm are in good agreement with the experimental results, and it can simulate fragment HVI damage effectively and precisely. The distribution shape of debris cloud becomes narrow and long with the increase of fragment incident velocity, and the incidence angle can change the shape orientation of debris cloud and crater on the structure. The variation trends of height and spread velocity of debris cloud with incident velocity or angle are basically consistent and linear. The velocity reduction of the fragment does not change with the incident velocity, and the mass reduction is positively correlated with it, both of which are negatively correlated with the incidence angle. The critical ricochet angle of fragment varies almost linearly with the incident velocity. The research results can provide a reference for the damage prediction and rapid maintenance of aircraft after air combat. -
表 1 材料的本构模型和状态方程参数
Table 1. Material parameters of constitutive model and quation of state
材料 ρ/(kg·m−3) E/GPa ν σy /GPa ET /GPa cS /(m·s−1) SS Γ 10钢 7850 207.0 0.30 1.05 20 OT-4钛 4550 115.0 0.30 5350 1.340 1.97 7075 铝2810 71.7 0.33 5120 1.028 1.23 表 2 各速度下临界跳飞角拟合曲线的参数
Table 2. Parameters of fitting curves to define the critical ricochet angle under different velocities
v0/(km·s−1) a/(km·s−1) b/(km·s−1) c/(km·s−1) R2 θc/(°) 2.4 −20.2 3001 − 111233 0.9817 72.13 2.2 −7.8 1179 − 44504 0.9497 71.70 2.0 −7.0 1059 − 39745 0.9093 70.69 1.8 −14.3 2105 − 77215 0.8971 70.22 -
[1] 陈远富. 杀伤战斗部作用下典型飞机目标易损性研究[D]. 南京: 南京理工大学, 2016: 49–52. [2] 徐梓熙, 刘彦, 闫俊伯, 等. 不同破片对典型飞机目标的毁伤效应 [J]. 兵工学报, 2020, 41(S2): 63–68. DOI: 10.3969/j.issn.1000-1093.2020.S2.008.XU Z X, LIU Y, YAN J B, et al. Experimental investigation on the damage of aircraft subjected to different fragments loading [J]. Acta Armamantarii, 2020, 41(S2): 63–68. DOI: 10.3969/j.issn.1000-1093.2020.S2.008. [3] JIN L M, HU H , SUN B Z, et al. A simplified microstructure model of bi-axial warp-knitted composite for ballistic impact simulation [J]. Composites Part B: Engineering, 2010, 41(5): 337–353. DOI: 10.1016/j.compositesb.2010.03.006. [4] 邓云飞, 袁家俊. 攻角对卵形头弹撞击铝合金薄板影响的数值研究 [J]. 高压物理学报, 2018, 32(4): 127–133. DOI: 10.11858/gywlxb.20170601.DENG Y F, YUAN J J. Numerical research of influence of attack angle on thin aluminum alloy plate impacted by ogival-nosed projectile [J]. Chinese Journal of High Pressure Physics, 2018, 32(4): 127–133. DOI: 10.11858/gywlxb.20170601. [5] 袁潇洒. TC4/PEEK/Cf层板抗高速冲击性能数值模拟与试验研究[D]. 南京: 南京航空航天大学, 2021: 46–87. [6] 邓希旻, 武海军, 董恒, 等. 椭圆截面截锥弹体的高速穿甲特性及阻力模型 [J]. 爆炸与冲击, 2023, 43(9): 091406. DOI: 10.11883/bzycj-2023-0074.DENG X M, WU H J, DONG H, et al. A study of high-velocity penetration characteristics and resistance model of elliptical cross-section truncated ogive projectile [J]. Explosion and Shock Waves, 2023, 43(9): 091406. DOI: 10.11883/bzycj-2023-0074. [7] 杨扬. C/SiC复合材料抗冲击特性及其数值模拟中的核心算法研究[D]. 西安: 西北工业大学, 2015: 41–68. [8] 强洪夫, 范树佳, 陈福振, 等. 基于拟流体模型的SPH新方法及其在弹丸超高速碰撞薄板中的应用 [J]. 爆炸与冲击, 2017, 37(6): 990–1000. DOI: 10.11883/1001-1455(2017)06-0990-11.QIANG H F, FAN S J, CHEN F Z, et al. A new smoothed particle hydrodynamics method based on the pseudo-fluid model and its application in hypervelocity impact of a projectile on a thin plate [J]. Explosion and Shock Waves, 2017, 37(6): 990–1000. DOI: 10.11883/1001-1455(2017)06-0990-11. [9] WU W D, LIU J M, XIE W, et al. Microscopic and macroscopic fragmentation characteristics under hypervelocity impact based on MD and SPH method [J]. Nanomaterials, 2021, 11(11): 2953. DOI: 10.3390/nano11112953. [10] CHENG Y H, WU H, JIANG P F, et al. Ballistic resistance of high-strength armor steel against ogive-nosed projectile impact [J]. Thin-Walled Structures, 2023, 183: 110350. DOI: 10.1016/j.tws.2022.110350. [11] JOHNSON G R. Linking of Lagrangian particle methods to standard finite element methods for high velocity impact computations [J]. Nuclear Engineering and Design, 1994, 150(2/3): 265–274. DOI: 10.1016/0029-5493(94)90143-0. [12] JOHNSON G R, STRYK R A, BEISSEL S R. An algorithm to automatically convert distorted finite elements into meshless particles during dynamic deformation [J]. International Journal of Impact Engineering, 2002, 27(10): 997–1013. DOI: 10.1016/S0734-743X(02)00030-1. [13] JOHNSON G R, STRYK R A. Conversion of 3D distorted elements into meshless particles during dynamic deformation [J]. International Journal of Impact Engineering, 2003, 28(9): 947–966. DOI: 10.1016/S0734-743X(03)00012-5. [14] HE Q G, CHEN X W, CHEN J F. Finite element-smoothed particle hydrodynamics adaptive method in simulating debris cloud [J]. Acta Astronautica, 2020, 175: 99–117. DOI: 10.1016/j.actaastro.2020.05.056. [15] 杨玉好, 郭香华, 张庆明. 动能块超高速碰撞多层防护结构的毁伤特性数值模拟 [J]. 高压物理学报, 2022, 36(4): 044204. DOI: 10.11858/gywlxb.20220533.YANG Y H, GUO X H, ZHANG Q M. Numerical simulation of damage characteristics of multi-layer protective structure under hypervelocity impact of kinetic energy block [J]. Chinese Journal of High Pressure Physics, 2022, 36(4): 044204. DOI: 10.11858/gywlxb.20220533. [16] CHEN Z, HE Y P, HUANG C, et al. Numerical simulation of sloping structure-level ice interaction based on SPH-FEM conversion algorithm [C]//Proceedings of the 13th International Ocean and Polar Engineering Conference. Shanghai, China: 731–735. [17] 高耀东, 武卫晓. 基于FEM-SPH算法矸石层对采煤机截齿的影响分析 [J]. 煤矿机械, 2020, 41(1): 78–81. DOI: 10.13436/j.mkjx.202001027.GAO Y D, WU W X. Influence analysis of gangue layer on bit of shearer based on FEM-SPH algorithm [J]. Coal Mine Machinery, 2020, 41(1): 78–81. DOI: 10.13436/j.mkjx.202001027. [18] YU S X, FAN Q B, CHENG X W, et al. Numerical simulation of the process of Zr58Nb3Cu12Ni12Al15 bulk glasses fragment penetrating into two separated plates and forming debris cloud [J]. Journal of Materials Research and Technology, 2022, 19: 2115–2125. DOI: 10.1016/j.jmrt.2022.05.142. [19] JOHNSON G R, STRYK R A, GERLACH C A, et al. A quantitative assessment of computational results for behind armor debris [C]//23rd International Symposium on Ballistics. Tarragona, Spain: International Ballistics Society, 2007: 1165–1172. [20] BUZYURKIN A E, GLADKY I L, KRAUS E I. Determination of parameters of the Johnson-Cook model for the description of deformation and fracture of titanium alloys [J]. Journal of Applied Mechanics and Technical Physics, 2015, 56(2): 330–336. DOI: 10.1134/S0021894415020194. [21] BRAR N S, JOSHI V S, HARRIS B W, et al. Constitutive model constants for Al7075-T651 and Al7075-T6 [C]//16th Conference of the American-Physical-Society-Topical-Group on Shock Compression of Condensed Matter. Nashville, TN, US: American Institute of Physics, 2009: 945–948. -


下载: