Analysis of internal explosion load characteristics and dynamic behavior in RC box structures
-
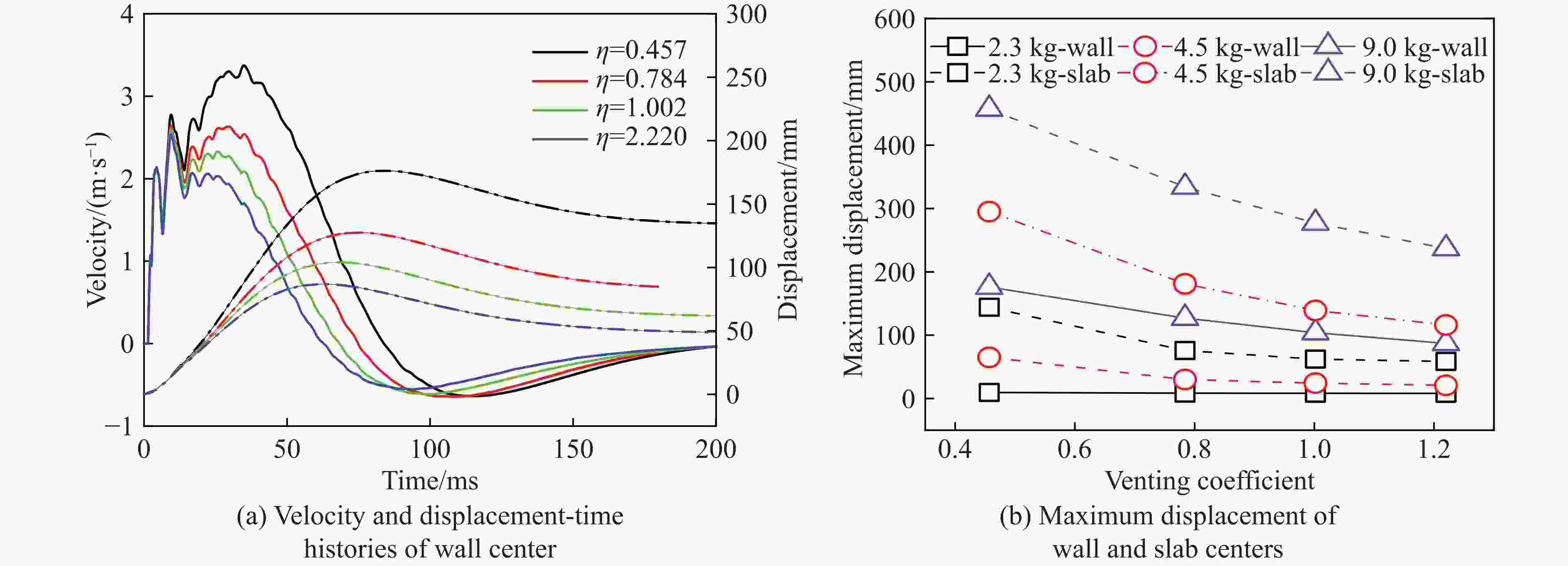
摘要: 爆炸冲击波在钢筋混凝土(reinforced concrete,RC)箱型结构中难以向外自由扩散,经多次反射叠加后可加剧结构的破坏。为全面探究RC箱型结构内爆炸载荷特性及其动力行为特征,通过复现完全密闭和半密闭(带泄爆口)RC箱型结构的内爆炸试验,验证了所采用有限元建模和分析方法的适用性。进一步,针对典型RC箱型结构和美国联邦应急管理署规定的爆炸恐怖袭击类型,开展了3种爆炸威胁和4种泄爆面积下的内爆炸数值模拟分析,考察了结构内壁面中心和内角隅处的载荷及其分布以及结构的动力行为特征。结果表明:泄爆面积对各特征点爆炸波峰值超压的影响较小,而爆炸波冲量随泄爆面积的增大近似呈指数形式降低;结构内壁面的载荷分布受结构尺寸的影响显著,呈内凹或W形;当泄爆系数从0.457增大至1.220时,墙板最大位移可降低50%以上;相较于超压准则,冲量准则可以更准确地评估构件毁伤等级。最后,提出了考虑泄爆面积的冲量增强因子和毁伤增强因子计算方法,能够较好地预测不同泄爆系数下的内爆炸载荷和结构动力行为。Abstract: In a reinforced concrete (RC) box structure, the dissipation of blast waves is restricted, and damage to the structure can be intensified due to multiple reflections. To thoroughly investigate the load characteristics and dynamic behavior of internal explosions in an RC box structure, the applicability of the finite element method was verified by replicating internal explosion tests on fully enclosed and semi-enclosed (with venting openings) RC box structures. Based on this, numerical simulations of internal explosions were conducted for the prototypical RC box structure and the type of terrorist bombing attacks specified by the Federal Emergency Management Agency under three explosion scenarios and four venting areas. The influence of venting area on the load characteristics at the inner surfaces and corners, the load distribution on the inner surfaces, and the time histories of displacement and velocity at the centers of the inner surfaces under internal explosion loads were explored. Additionally, a formula for calculating the total impulse of the structure’s inner surface was proposed, considering both the venting area and the spatial distribution of the impulse. The results show that the venting area has a negligible effect on the overpressure, while the impulse decreases exponentially with increasing venting area. The load distribution characteristics on the structure’s inner surface are significantly influenced by the structural dimensions, exhibiting an indented or W pattern. The maximum displacement at the centers of walls and slabs is reduced by about 50% as the venting coefficient changes from 0.457 to 1.220. Finally, based on the total impulse and maximum displacement response of each component under free-field explosion loads, a calculation method for the impulse and damage enhancement coefficient was proposed based on the venting area, effectively predicting the internal explosion load and the structure’s dynamic behavior at various venting coefficients.
-
Key words:
- internal explosion /
- RC box structure /
- load characteristics /
- dynamic behavior
-
表 1 各试验工况有限元模型的网格尺寸
Table 1. Mesh sizes of finite element model for each explosion scenario
工况 TNT当量/g 2D模型 3D模型 来源 炸药尺寸/mm 空气网格尺寸/mm 等效炸药网格密度 空气网格尺寸/mm 结构网格尺寸/mm 1 720 76.2×76.2 12.0×12.0 255.8 72×72×72 36×36×36 文献[22-23] 2 315 57.8×57.8 9.1×9.1 255.8 72×72×72 36×36×36 3 95.3 38.8×38.8 6.1×6.1 255.8 24×24×24 12×12×12 文献[27] 4 253.0 53.8×53.8 8.5×8.5 255.8 24×24×24 12×12×12 5 400.0 62.9×62.9 10.0×10.0 255.8 24×24×24 12×12×12 混凝土结构(*MAT_CONCRETE_DAMAGE_REL3) ρc/(kg·m−3) 抗压强度/MPa 最大失效主应变 2 400 30.0/40.0 0.3 钢筋(*MAT_PLASTIC_KINMATIC) 类型 直径/mm 弹性模量/GPa 泊松比 屈服强度/MPa 拉伸强度/MPa 最大伸长率/% D4 4 208 0.3 581 640 3.43 D6 6 205 0.3 486 670 8.87 D8 8 204 0.3 451 676 11.56 炸药(*MAT_HIGH_ENERGY_BURN和 EOS_JWL) ρe/(kg·m−3) D/(m·s−1) p/GPa A/GPa B/GPa R1 R2 $ \omega $ E0/(J·m−3) 1 630 6 930 21 370 3.747 4.15 0.9 0.35 7×109 空气(*MAT_NULL和*EOS_LINEAR_POLYNOMIAL) ρa/(kg·m−3) E/(J·m−3) γ0 pc/MPa C0 C1 C2 C3 C4 C5 C6 1.29 2.5×105 0 −0.1 0 0 0 0 0.4 0.4 0 表 3 爆炸工况设计
Table 3. Design of explosion scenarios
工况 泄爆面积/m2 泄爆系数 TNT当量/kg 工况 泄爆面积/m2 泄爆系数 TNT当量/kg S1 1.89 0.457 2.3 S7 4.14 1.002 2.3 S2 1.89 0.457 4.5 S8 4.14 1.002 4.5 S3 1.89 0.457 9.0 S9 4.14 1.002 9.0 S4 3.24 0.784 2.3 S10 5.04 1.220 2.3 S5 3.24 0.784 4.5 S11 5.04 1.220 4.5 S6 3.24 0.784 9.0 S12 5.04 1.220 9.0 表 4 自由场爆炸作用于墙体和顶板的反射超压冲量
Table 4. Total reflected impulse of the walls and slabs under free air explosion
TNT当量/kg I1-wall/(kPa·s) I2-wall/(kPa·s) I3-wall/(kPa·s) I4-wall/(kPa·s) 墙体总冲量/(kPa·s·m2) 2.3 0.33 0.66 0.49 0.28 6.78 4.5 0.59 1.01 0.81 0.52 11.19 9.0 1.00 1.40 1.25 0.91 17.19 TNT当量/kg I1-slab/(kPa·s) I2-slab/(kPa·s) I3-slab/(kPa·s) I4-slab/(kPa·s) 顶板总冲量/(kPa·s·m2) 2.3 0.45 0.91 0.45 0.17 7.69 4.5 0.60 1.11 0.60 0.33 10.94 9.0 0.97 1.38 0.97 0.61 14.86 表 5 自由场爆炸作用下结构墙板中心点最大位移
Table 5. Maximum displacement of wall and slab centers under free air explosion
TNT当量/kg 距离/m 构件 尺寸/mm 厚度/mm 位移/mm 2.3 1.41 顶板 5 000×5 000 180 19.8 2.38 墙 3 000×5 000 240 1.5 4.5 1.41 顶板 5 000×5 000 180 50.0 2.38 墙 3 000×5 000 240 9.9 9.0 1.41 顶板 5 000×5 000 180 122.0 2.38 墙 3 000×5 000 240 45.0 -
[1] 张舵, 姚术健, 黄河, 等. 箱型结构内部爆炸破坏研究进展 [J]. 爆炸与冲击, 2021, 41(7): 071102. DOI: 10.11883/bzycj-2020-0388.ZHANG D, YAO S J, HUANG H, et al. A review on internal blast damage effects of multi-box type structures [J]. Explosion and Shock Waves, 2021, 41(7): 071102. DOI: 10.11883/bzycj-2020-0388. [2] 百度百科. 孟买爆炸案 [EB/OL]. (2024-01-17)[2024-12-10]. https://baike.baidu.com/item/孟买爆炸案/3660635?fr=ge_ala. [3] CHEN G Q, LU J X, WU H. Dynamic behavior and retrofitting of RC frame building under vehicular bomb explosion [J]. Engineering Failure Analysis, 2023, 143: 106925. DOI: 10.1016/j.engfailanal.2022.106925. [4] SIELICKI P W, ŁODYGOWSKI T. Masonry wall behaviour under explosive loading [J]. Engineering Failure Analysis, 2019, 104: 274–291. DOI: 10.1016/j.engfailanal.2019.05.030. [5] CHEN D, WU H, FANG Q. Simplified micro-model for brick masonry walls under out-of-plane quasi-static and blast loadings [J]. International Journal of Impact Engineering, 2023, 174: 104529. DOI: 10.1016/j.ijimpeng.2023.104529. [6] GERETTO C, YUEN S C K, NURICK G N. An experimental study of the effects of degrees of confinement on the response of square mild steel plates subjected to blast loading [J]. International Journal of Impact Engineering, 2015, 79: 32–44. DOI: 10.1016/j.ijimpeng.2014.08.002. [7] ZHOU H, ZHENG C, LU A G, et al. An experimental study of the effects of degrees of confinement on the response of thermoplastic fibre-metal laminates subjected to blast loading [J]. Thin-Walled Structures, 2023, 192: 111125. DOI: 10.1016/j.tws.2023.111125. [8] CHAN P C, KLEIN H H. A study of blast effects inside an enclosure [J]. Journal of Fluids Engineering, 1994, 116(3): 450–455. DOI: 10.1115/1.2910297. [9] 吕晋贤, 吴昊, 卢永刚, 等. 爆炸作用下建筑结构高效毁伤评估方法 [J]. 爆炸与冲击, 2025, 45(1): 015101. DOI: 10.11883/bzycj-2024-0053.LYU J X, WU H, LU Y G, et al. High-efficiency assessment method of damage for building structures under explosions [J]. Explosion and Shock Waves, 2025, 45(1): 015101. DOI: 10.11883/bzycj-2024-0053. [10] 侯海量, 朱锡, 梅志远. 舱内爆炸载荷及舱室板架结构的失效模式分析 [J]. 爆炸与冲击, 2007, 27(2): 151–158. DOI: 10.11883/1001-1455(2007)02-0151-08.HOU H L, ZHU X, MEI Z Y. Study on the blast load and failure mode of ship structure subject to internal explosion [J]. Explosion and Shock Waves, 2007, 27(2): 151–158. DOI: 10.11883/1001-1455(2007)02-0151-08. [11] 侯海量, 朱锡, 李伟, 等. 舱内爆炸冲击载荷特性实验研究 [J]. 船舶力学, 2010, 14(8): 901–907. DOI: 10.3969/j.issn.1007-7294.2010.08.011.HOU H L, ZHU X, LI W, et al. Experimental studies on characteristics of blast loading when exploded inside ship cabin [J]. Journal of Ship Mechanics, 2010, 14(8): 901–907. DOI: 10.3969/j.issn.1007-7294.2010.08.011. [12] 孔祥韶, 吴卫国, 李俊, 等. 角隅结构对舱内爆炸载荷影响的实验研究 [J]. 中国造船, 2012, 53(3): 40–50. DOI: 10.3969/j.issn.1000-4882.2012.03.007.KONG X S, WU W G, LI J, et al. Experimental research of influence of corner structure on blast loading under inner explosion [J]. Shipbuilding of China, 2012, 53(3): 40–50. DOI: 10.3969/j.issn.1000-4882.2012.03.007. [13] 刘博文, 龙仁荣, 张庆明, 等. 舱内爆炸角隅汇聚反射冲击波超压特性研究 [J]. 爆炸与冲击, 2023, 43(1): 012201. DOI: 10.11883/bzycj-2022-0232.LIU B W, LONG R R, ZHANG Q M, et al. Study on the corner overpressure characteristics of concentrated reflected shock wave due to internal blast in cabin [J]. Explosion and Shock Waves, 2023, 43(1): 012201. DOI: 10.11883/bzycj-2022-0232. [14] 马银亮, 张攀, 程远胜, 等. 舱内爆炸载荷下箱型舱室角隅连接结构设计 [J]. 爆炸与冲击, 2022, 42(12): 125102. DOI: 10.11883/bzycj-2021-0437.MA Y L, ZHANG P, CHENG Y S, et al. Design of corner connection structures of box-type cabins subjected to internal blast loading [J]. Explosion and Shock Waves, 2022, 42(12): 125102. DOI: 10.11883/bzycj-2021-0437. [15] 邢存震, 唐恩凌, 梁德刚, 等. 密闭空间内爆炸冲击波超压特性试验研究 [J]. 沈阳理工大学学报, 2017, 36(1): 33–37. DOI: 10.3969/j.issn.1003-1251.2017.01.009.XING C Z, TANG E L, LIANG D G, et al. Study on the characteristics of shockwave overpressure in enclosed space [J]. Journal of Shenyang Ligong University, 2017, 36(1): 33–37. DOI: 10.3969/j.issn.1003-1251.2017.01.009. [16] 李旭东. 内爆准静态压力载荷对舱壁结构的毁伤效应研究 [D]. 太原: 中北大学, 2020. DOI: 10.27470/d.cnki.ghbgc.2020.001050.LI X D. Study on the damage effect of internal explosive quasi-static pressure loads to bulkhead structures [D]. Taiyuan: North University of China, 2020. DOI: 10.27470/d.cnki.ghbgc.2020.001050. [17] FELDGUN V R, KARINSKI Y S, EDRI I, et al. On blast pressure analysis due to a partially confined explosion: Ⅱ. numerical studies [J]. International Journal of Protective Structures, 2012, 3(1): 61–79. DOI: 10.1260/2041-4196.3.1.61. [18] KONG X S, WU W G, LI J, et al. Experimental investigation on characteristics of blast load in partially confined cabin structure [J]. Journal of Shanghai Jiaotong University (Science), 2013, 18(5): 583–589. DOI: 10.1007/s12204-013-1431-0. [19] PARK Y, KIM K, PARK S W, et al. Experimental evaluation on blast resistance of reinforced concrete structures under partially confined explosion [J]. International Journal of Concrete Structures and Materials, 2024, 18(1): 34. DOI: 10.1186/s40069-024-00663-2. [20] FELDGUN V R, KARINSKI Y S, EDRI I, et al. Prediction of the quasi-static pressure in confined and partially confined explosions and its application to blast response simulation of flexible structures [J]. International Journal of Impact Engineering, 2016, 90: 46–60. DOI: 10.1016/j.ijimpeng.2015.12.001. [21] EDRI I, FELDGUN V R, KARINSKI Y S, et al. On blast pressure analysis due to a partially confined explosion: Ⅲ. afterburning effect [J]. International Journal of Protective Structures, 2012, 3(3): 311–331. DOI: 10.1260/2041-4196.3.3.311. [22] 柏小娜, 李向东, 杨亚东. 封闭空间内爆炸冲击波超压计算模型及分布特性研究 [J]. 爆破器材, 2015, 44(3): 22–26. DOI: 10.3969/j.issn.1001-8352.2015.03.005.BAI X N, LI X D, YANG Y D. Calculation model and the distribution of wave pressure under internal explosion in closed space [J]. Explosive Materials, 2015, 44(3): 22–26. DOI: 10.3969/j.issn.1001-8352.2015.03.005. [23] 杨亚东, 李向东, 王晓鸣. 长方体密闭结构内爆炸冲击波传播与叠加分析模型 [J]. 兵工学报, 2016, 37(8): 1449–1455. DOI: 10.3969/j.issn.1000-1093.2016.08.016.YANG Y D, LI X D, WANG X M. An analytical model for propagation and superposition of internal explosion shockwaves in closed cuboid structure [J]. Acta Armamentarii, 2016, 37(8): 1449–1455. DOI: 10.3969/j.issn.1000-1093.2016.08.016. [24] 柏准, 胡玉涛, 钱秉文, 等. 多次内爆炸荷载下剪力墙累积毁伤破坏试验 [J]. 兵工学报, 2023, 44(S1): 50–58. DOI: 10.12382/bgxb.2023.0768.BAI Z, HU Y T, QIAN B W, et al. Experimental study on cumulative damage of shear wall under multiple internal explosions [J]. Acta Armamentarii, 2023, 44(S1): 50–58. DOI: 10.12382/bgxb.2023.0768. [25] ZYSKOWSKI A, SOCHET I, MAVROT G, et al. Study of the explosion process in a small scale experiment-structural loading [J]. Journal of Loss Prevention in the Process Industries, 2004, 17(4): 291–299. DOI: 10.1016/j.jlp.2004.05.003. [26] HU Y, WU C Q, LUKASZEWICZ M, et al. Characteristics of confined blast loading in unvented structures [J]. International Journal of Protective Structures, 2011, 2(1): 21–44. DOI: 10.1260/2041-4196.2.1.21. [27] GUO X K, LI Y, MCCRUM D P, et al. A reinforced concrete shear wall building structure subjected to internal TNT explosions: test results and numerical validation [J]. International Journal of Impact Engineering, 2024, 190: 104950. DOI: 10.1016/j.ijimpeng.2024.104950. [28] KIM H J, HWANG K, YOON Y H, et al. Numerical analysis of the effect of afterburning on damage to the concrete structure under interior explosion [J]. International Journal of Concrete Structures and Materials, 2022, 16(1): 6. DOI: 10.1186/s40069-022-00497-w. [29] The Navy and the Air Force. Structures to resist the effects of accidental explosions: TM 5-1300 [S]. Washinton DC, USA: United States Department of the Army, 1990. [30] ESPARZA E D, BAKER W E, OLDHAM G A. Blast pressures inside and outside suppressive structures [R]. San Antonio, Texas: Southwest Research Institute, 1975. [31] ANDERSON Jr C E, BAKER W E, WAUTERS D K, et al. Quasi-static pressure, duration, and impulse for explosions (e. g. HE) in structures [J]. International Journal of Mechanical Sciences, 1983, 25(6): 455–464. DOI: 10.1016/0020-7403(83)90059-0. [32] 张玉磊, 苏健军, 李芝绒, 等. TNT内爆炸准静态压力特性 [J]. 爆炸与冲击, 2018, 38(6): 1429–1434. DOI: 10.11883/bzycj-2017-0170.ZHANG Y L, SU J J, LI Z R, et al. Quasi-static pressure characteristic of TNT’s internal explosion [J]. Explosion and Shock Waves, 2018, 38(6): 1429–1434. DOI: 10.11883/bzycj-2017-0170. [33] 张玉磊, 陈华, 韩璐, 等. 泄压口面积对温压炸药内爆炸准静态压力的影响 [J]. 火炸药学报, 2020, 43(5): 521–525. DOI: 10.14077/j.issn.1007-7812.201909024.ZHANG Y L, CHEN H, HAN L, et al. Effect of venting area on quasi-static pressure of internal explosion for thermobaric explosive [J]. Chinese Journal of Explosives & Propellants, 2020, 43(5): 521–525. DOI: 10.14077/j.issn.1007-7812.201909024. [34] 中华人民共和国住房和城乡建设部. 火炸药及其制品工厂建筑结构设计规范: GB 51182—2016 [S]. 北京: 中国计划出版社, 2017.Ministry of Housing and Urban Rural Development of the People’s Republic of China. Code for design of architecture and structure for the factory of explosives and their products: GB 51182—2016 [S]. Beijing: China Planning Press, 2017. [35] 中华人民共和国住房和城乡建设部. 混凝土结构设计规范: GB/T 50010—2010 [S]. 北京: 中国建筑工业出版社, 2011.Ministry of Housing and Urban Rural Development of the People’s Republic of China. Code for design of concrete structures: GB/T 50010—2010 [S]. Beijing: China Architecture & Building Press, 2011. [36] 中华人民共和国住房和城乡建设部, 中华人民共和国国家质量监督检验检疫总局. 建筑抗震设计规范: GB 50011—2010 [S]. 北京: 中国建筑工业出版社, 2016.Ministry of Housing and Urban Rural Development of the People’s Republic of China, General Administration of Quality Supervision, Inspection and Quarantine of the People’s Republic of China. Code for seismic design of buildings: GB 51182—2010 [S]. Beijing: China Architecture & Building Press, 2016. [37] Department of Homeland Security. Primer to design safe school projects in case of terrorist attacks and school shootings: FEMA-428 [S]. Washington DC, USA: Federal Emergency Management Agency, 2012. [38] 汪维. 钢筋混凝土构件在爆炸载荷作用下的毁伤效应及评估方法研究 [D]. 长沙: 国防科学技术大学, 2012.WANG W. Study on damage effects and assessments method of reinforced concrete structural members under blast loading [D]. Changsha: National University of Defense Technology, 2012. [39] HENRYCH J, ABRAHAMSON G R. The dynamics of explosion and its use [J]. Journal of Applied Mechanics, 1980, 47(1): 218. DOI: 10.1115/1.3153619. [40] ORLENKO Л П. 爆炸物理学(上册) [M]. 3版. 孙承纬, 译. 北京: 科学出版社, 2011: 286–293. -


下载: