
The evaluation method of ship's explosion shock resistance is challenged by some key mechanical problems, such as strong nonlinear fluid-structure coupling, large-deformation and failure evolution of solid structure. By coupling the respective advantages of peridynamics (PD) and smoothed particle hydrodynamics (SPH), an efficient PD-SPH numerical model suitable for underwater explosion shock simulations is developed. The SPH method is employed to simulate underwater shock wave propagation and fluid-structure interaction, while the PD method accurately characterizes the complete mechanical behavior of solid structures from elastic deformation to progressive damage failure. A PD-SPH numerical model is established for non-medicinal underwater shock wave loading devices. To improve the computational efficiency in large-scale simulations, a multi-GPU parallel computing framework based on domain decomposition and data-communication mechanisms is established. Model validation and parallel efficiency tests demonstrate that the proposed method can accurately predict shock wave wall pressure and target dynamic deformation, successfully reproduce typical crack propagation patterns in thin-plate structures, and simulate the entire damage process of complex grid sandwich structure. In complex fluid-structure coupling scenarios with more than 5 million particles, the actual calculation time can be compressed to nearly 1 hours. The research outcomes provide a high-precision and efficient numerical analysis tool for the design of explosion-resistant naval structures, offering significant reference value for engineering applications of fluid-structure interaction in underwater explosion problems.

Prefabricated building structures have been widely applied in civil engineering due to their advantages of energy conservation, environmental protection, controllable quality, and efficient construction. As the core load-bearing components of prefabricated building structures, precast reinforced concrete slabs (PC slabs) are vulnerable to threats from gas explosions, industrial explosions, and terrorist attacks. To accurately assess the damage state of PC slabs under explosion, enhance structural blast resistance, and reduce casualties, this paper constructs an explosion response dataset of PC slabs. Six geometric parameters (slab thickness, span, reinforcement ratio, etc.) and two explosion load parameters (peak pressure, impulse) are selected as input features. Three machine learning algorithms (GPR, RF, and XGBoost) are used to predict the maximum displacement of PC slabs, and their prediction accuracies are compared by Mean Absolute Error (<italic>RMSE</italic>),Coefficient of Determination(<italic>R²</italic>), Mean Absolute Percentage Error(<italic>MAE</italic>), Scattering Index(<italic>SI</italic>), and Comprehensive Performance ObjectiveFunction(<italic>OBJ</italic>). Furthermore, a damage classification evaluation model based on the support rotation angle damage criterion is proposed. The performance differences of the model under three criteria are analyzed by confusion matrix and five classification indices (<italic>Accuracy</italic>, <italic>Precision</italic>, <italic>Rrecall</italic>, <italic>F1-score</italic>, and Kappa coefficient), and compared with simplified models and empirical prediction methods. The research results indicate that in terms of maximum displacement prediction for PC slabs under explosion loads, the XGBoost model demonstrates the best performance among the three machine learning models(GPR、RF and XGBoost). Specifically, its fitting degree is superior to that of GPR and RF models, and it shows the most outstanding comprehensive performance, with a damage recognition accuracy of 92.5 %, which fully demonstrates its high-efficiency in identifying different damage types. The XGBoost-based damage classification evaluation model for PC slabs under explosion loads exhibits strong performance, providing important references for structural blast resistance design and rapid post-blast damage assessment.

The Mie-Grüneisen mixture model is conveniently used in the multi-component problem with Mie-Grüneisen EOS (equation of states). In the Mie-Grüneisen EOS, the isentropic and Hugoniot curves are two typical reference states curves. However, the curves of these two reference states contain singularity points and cause difficulty when the interface is treated by volume fraction, which is accustomed used as a color function in traditional model. The difficulty lies in that the volume fraction model produces fragments of fluid volumes near the interface due to its diffused style, these volume fragments may encounter the singularity points and make the sound velocity abnormally high at the interface in some isentropic reference curves. On the other side, the singularity points may cause the sound velocity negative for some Hugoniot reference states and interrupt the calculation. To avoid volumes fragments near the interface area, the volume fraction is replaced by mass fraction, and the relative volume is defined by the reciprocal of proportional density of fluid component. This definition makes the relative volume no less than which of fluids mixture. Thanks to the reconstructed relative volume, the sound velocity forms a trough shape at the interface and does not cause high peak value. Moreover, some equations in Mie-Grüneisen mixture model contains the derivatives items of reference states parameters, when these items are defined as weighted average mixture at the interface, they often become negative if weighted average of mass fraction are directly used. To prevent the negative value at the interface, the reference states are optimized at the interface. Numerical examples show that the mass fraction has tiny improvement on the accuracy of results, it makes the sound velocity steady on the isentropic reference states of medium and spend less time steps than volume fraction model. And the mass fraction can be used to correct the negative sound velocity in Hugoniot reference states. Then the calculation is kept smooth and accurate.

In physics, "source" refers to the starting point of matter or energy, while "sink" refers to the point of arrival of matter or energy. Underground explosions are equivalent to a simple energy source, whose energy radiates outward from the boundaries of each explosion zone in the form of radial force work, and the range of the damage zone determines the magnitude of the energy flow density of the radiated seismic waves. The elastic characteristic energy radiated from underground confined explosion and contact explosion was analyzed, and the energy factors corresponding to each zone of underground confined explosions were calculated. It is suggested that the characteristic energy factors can characterize the energy source characteristics of the "expansion center" of underground explosions very well. Compared with underground explosions, a detailed analysis was conducted on the energy balance relationship and adjustment mechanism in the ideal fluid cavity annihilation problem, and the relationship between work done by water pressure and energy accumulation, transmission and conversion were established. The characteristic energy factor was introduced to describe the characteristics of energy sink, which will provide theoretical reference for subsequent research on energy sink in solid materials.

The evolution of a planar heavy/light gas interface (SF6/N2) subjected to a perturbed shock wave produced by diffracting a planar incident shock over a rigid cylinder is investigated, focusing particularly on the incident impact of Mach reflection wave configuration. While the incident planar shock wave Mach number is 1.8, numerical schlieren images of the Mach reflection wave are provided, and the wave evolution during the incident impact on the heavy/light interface is quantitatively analyzed. Based on numerical simulations, the refraction process is analyzed and resolved using the three-shock theory, which appears to predict accurately the post-refraction shock wave shape, as well as the velocity perturbation and circulation deposition on the interface. Additionally, by drawing shock polar curves and rarefaction wave characteristic lines, the pressure changes and flow deflection across the wave configuration during the incident impact process are vividly described. Both the theoretical analysis and numerical simulation results indicate that differences in shock intensity and incident angles within the Mach reflection wave configuration induce velocity perturbation on the interface. The tangential velocity caused by the shock impact results in circulation deposition on the interface. Velocity perturbation and circulation deposition dominate the early evolution of the heavy/light interface.

Hydrogen energy, as a zero-carbon energy source, holds broad application prospects in critical defense systems due to its high energy density and zero carbon emissions. To enhance energy utilization efficiency and ensure operational safety, an integrated approach combining experimental and numerical simulations was adopted to systematically examine the effects of hydrogen concentration on explosion dynamics within a confined environment. Experiments were carried out in a cylindrical chamber equipped with high-frequency pressure sensors and a high-speed camera to record transient overpressure and track flame development. Complementing the experimental setup, computational fluid dynamics (CFD) simulations were implemented using a detailed 19-step hydrogen/air chemical reaction mechanism to accurately reproduce the spatiotemporal evolution of flow field velocity during the premixed gas explosion process. Results indicate that the maximum explosion pressure occurred at a hydrogen concentration of 30 vol.%, peaking at 0.62394 MPa. The peak flame area was largest at both 30 vol.% and 45 vol.%, exceeding results at 15 vol.% and 60 vol.% by 14.6% and 6.3%, respectively. The 30 vol.% condition also achieved the peak flame area in the shortest time, at 8.2 ms. Furthermore, geometric constraints at the junction of the cylindrical sidewall and the endwall led to accumulation of unburned hydrogen, causing localized increases in density and pressure and resulting in four clearly discernible high-velocity regions within the flow field. At 9 ms, the flow velocity profile along the centerline exhibited symmetry with a dual-peak structure appearing unilaterally. While the 45 vol.% condition showed an early transient velocity advantage due to intensified local heat release, the 30 vol.% condition demonstrated superior late-stage velocity recovery owing to more stable and sustained combustion near the stoichiometric ratio. These findings underscore the high combustion efficiency and stability achievable near stoichiometric conditions, providing a scientific foundation for the design and optimization of high-efficiency hydrogen combustion systems.

Integrated with related penetrating test results and mesoscopic finite element simulation analysis, the deformation and failure characteristics of tungsten fiber reinforced metallic glass matrix (WF/MG) composite long rods with different fiber diameters were investigated systematically, and the similarities and differences among the ‘self-sharpening’ behavior as well as the corresponding penetration / perforation performance of various composite long rods were discussed, then the transformation of deformation and failure modes of projectiles under different impact velocities was analyzed in detail. Related analysis demonstrated that due to the differences in the mechanical properties among the tungsten fibers with different diameters, i.e., bending resistance and shear resistance, etc., the corresponding composite long rods exhibit different failure characteristics during the penetration process, and it further affects their penetration / perforation performance. The impact velocity also plays an important role on the deformation and failure modes of composite long rods and the corresponding penetration / perforation performance: when the impact velocity is relatively low, the fibers in the nose of composite rod projectile exhibits unstable buckling phenomenon and gradually disperse during the penetration process, which makes the projectile nose blunt at a certain extent, and induces the increase in the penetration resistance and decrease in the penetration performance; along with the impact velocity increases, in the case that the fiber diameter is small, the fibers on the outer side of projectile nose refluxes back, and when the fiber diameter is large, the fibers mainly behave as shear failure, and it further strengthen the ‘self-sharpening’ behavior as well as the penetration performance of projectile; when the impact velocity and fiber diameter reach a certain upper threshold values, The thickness of ‘edge layer’ in the rod nose is sharply reduced, and thus the ‘self-sharpening’ property is weakened, and the penetration performance of projectile is decayed again. Related research is beneficial to predicting the penetration / perforation performance of WF/MG composite long rods with different fiber diameters under different impact velocities, and optimizing the structural design of projectile as well as the impact velocity, etc.

Deep coal rock blasting poses high risks, and hydraulic fracturing faces limitations, necessitating the development of controllable rock-breaking technologies. As an advanced high-energy gas fracturing technique, high-energy gas-generating agents demonstrate remarkable advantages in rock fragmentation, providing robust technical support for efficient and safe coal mining. This study focuses on the casing materials of high-energy gas-generating agents, investigating their impact on borehole wall pressure during coal rock fracturing. A comprehensive pressure monitoring system was established, employing three casing materials—transparent PVC, white PVC, and kraft paper tubes—for borehole wall pressure experiments. Attenuation indices and reliability were selected as evaluation metrics to analyze the influence of material physical properties on borehole wall pressure. Results indicate that the initiator, upon ignition, generates stress waves and a small amount of gas. The stress wave induces the first pressure peak, followed by a decline due to gas diffusion. The superposition of reflected stress waves and gas expansion waves forms the second peak, while gas expansion variations produce the third peak. Without the main agent, the initiator group exhibits the lowest pressure peak, shortest pressure rise time, minimal loading rate, limited energy release, and low transmission efficiency. For the three groups containing the main agent, pressure peaks near the high-energy gas-generating agent (10 cm away) approximate 200 MPa, with pressure rise times around 20 ms. The attenuation coefficients of pressure peaks for the three casing materials follow the order: transparent PVC > white PVC > kraft paper tube. The attenuation coefficients of pressure rise times rank as: transparent PVC > kraft paper tube > white PVC. For loading rate attenuation coefficients, the sequence is: white PVC > transparent PVC > kraft paper tube. Due to its high elastic modulus and low Poisson’s ratio, white PVC casing demonstrates optimal performance in pressure peak, rise time, and loading rate near the high-energy gas-generating agent, achieving the highest energy transmission efficiency. Transparent PVC casing exhibits higher pressure peaks and loading rates than the paper tube near the agent but underperforms at longer distances, indicating strong directionality and concentration. The kraft paper tube ensures uniform energy distribution but exhibits the weakest overall energy concentration, along with the longest rise times and lowest loading rates. These findings provide a theoretical foundation for optimizing high-energy gas-generating agent designs and enhancing rock-breaking efficacy.

During the high-speed water entry, the trans-media vehicle goes through multiple tail-slapping, which may cause damage to the main structure and its accessories. The bending moment induced by tail-slapping phenomenon may also lead to the trajectory instability of the trans-media vehicle. Based on the VOF multiphase flow method, the study of the load characteristics of the main body and attached structures of the trans-media vehicle and its accessories in the stages of the generation, development, and collapse of cavity under the condition of inclined water-entering with an attack angle has been conducted. The influence of the water entry inclination angle on the tail-slapping load, cavity collapse load and the trajectory stability are revealed. The results show that the cavity collapse stage is the most dangerous working condition during the water entry process. As the water entry inclination angle increases, the axial and normal forces on the structure increase in the cavitation collapse stage, while the normal overload coefficient approaches a constant. When the inclination Angle into the water increased from 60° to 90°, the pitch moment coefficient of the structure increased by 47.1%. A larger inclination angle can reduce the axial and normal loads of the horizontal rudders during the cavity collapse stage, and also improve the trajectory stability of the vehicle. However, it will increase the axial loads of the vertical rudders at the same time. When the cavity wall impacts the tail of the trans-media vehicle during the cavity collapse stage, the three-directional rotation of the body is suppressed, causing it to be in a brief state of rest.

Gas leakage and explosion accidents pose a serious threat to public safety, and a prerequisite for accurately predicting the explosive effects of combustible gas leakage is to determine the concentration distribution after leakage. To develop a real-time, full-field spatiotemporal prediction model for combustible gas leakage and diffusion and to achieve efficient prediction of the equivalent gas cloud volume, a novel graph neural network model based on a dual-neural-network architecture and a multi-stage training strategy, named Multi-Stage Dual Graph Neural Network (MSDGNN), has been proposed in this study. The MSDGNN model consists of two synergistic sub-networks: (1) the Concentration Network (<italic>N</italic>con), which establishes the mapping relationship between the concentration fields of two consecutive timesteps, and (2) the Volume Network (<italic>N</italic>vol), which generates the equivalent gas cloud volume at each timestep to provide a quantitative metric for explosion risk assessment. To further enhance model performance, a multi-stage progressive training strategy has been developed to jointly optimize the dual networks. To evaluate the performance of MSDGNN, a dataset considering different leakage rates, leakage points, and leakage durations was constructed. Experimental results demonstrate that compared with traditional single-network architectures (e.g., MGN), the dual-network architecture effectively decouples the tasks of concentration field prediction and risk assessment. This approach significantly mitigates the interference of weight factors in single-objective loss functions during the training process. The multi-stage training strategy, through stepwise parameter optimization, successfully addresses the issue of insufficient data fitting encountered in traditional methods. Compared with MGN, the Mean Absolute Percentage Error (MAPE) for concentration fields and equivalent gas cloud volumes is reduced from 49.47% and 108.93% to 7.55% and 9.07%, respectively. Furthermore, the generalization error (MAPE) of MSDGNN for concentration fields and equivalent gas cloud volumes is reduced from 41.18% and 38.81% to 8.01% and 14.92%, respectively. In addition, MSDGNN exhibits robust prediction performance even when key parameters such as leakage rate, leakage location, and leakage duration exceed the range of training data. Compared with CFD numerical simulation methods, the proposed model achieves a three-order-of-magnitude improvement in computational efficiency while maintaining prediction accuracy, providing an effective real-time analytical tool for industrial safety monitoring.

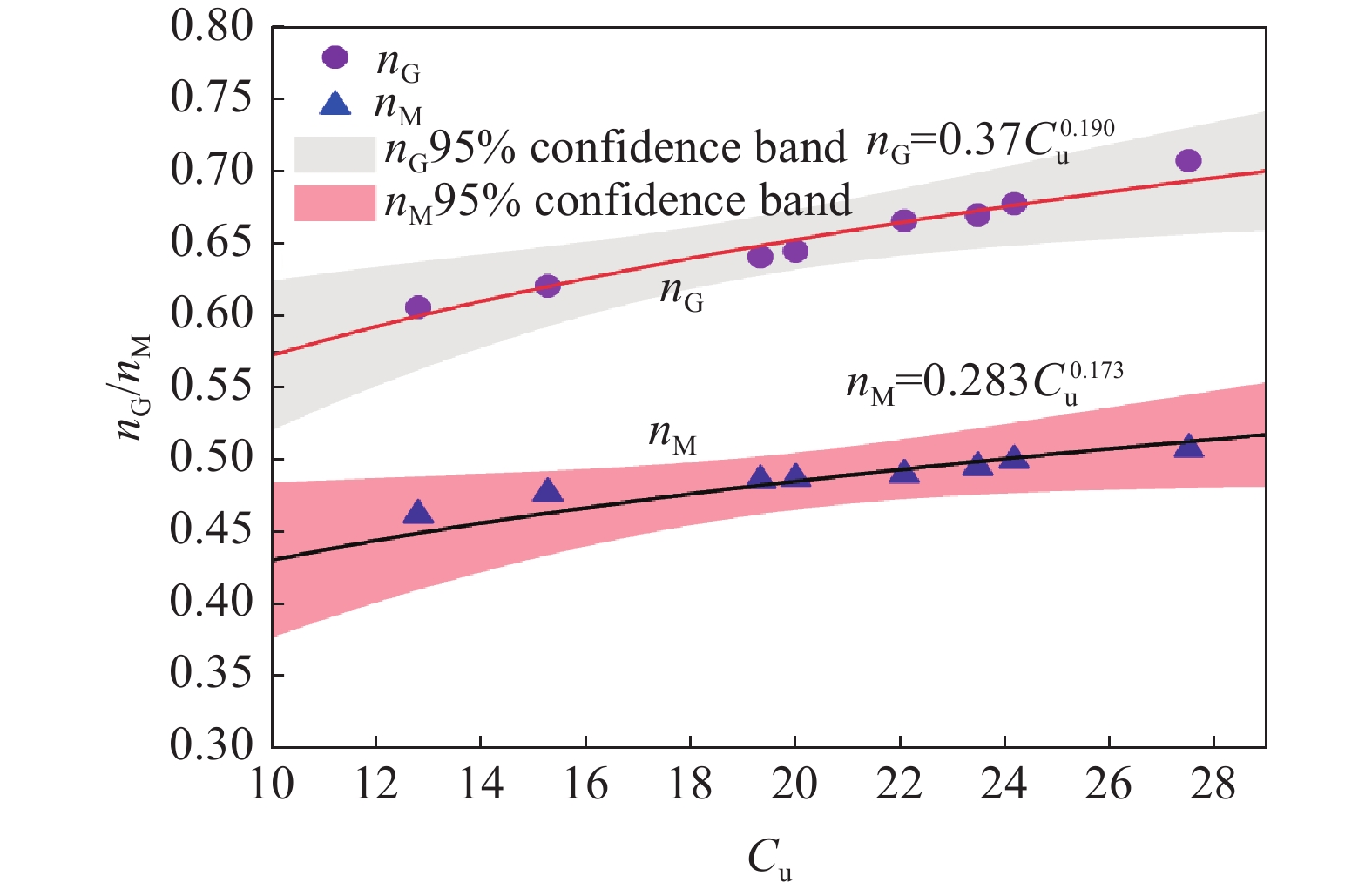
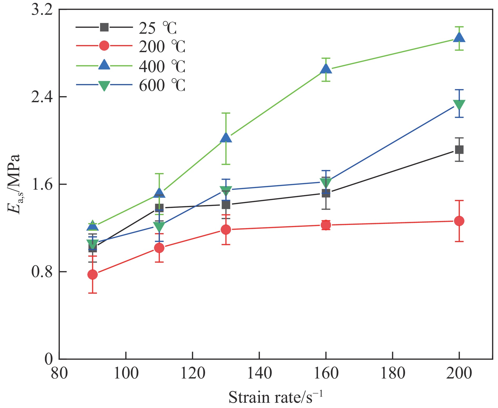
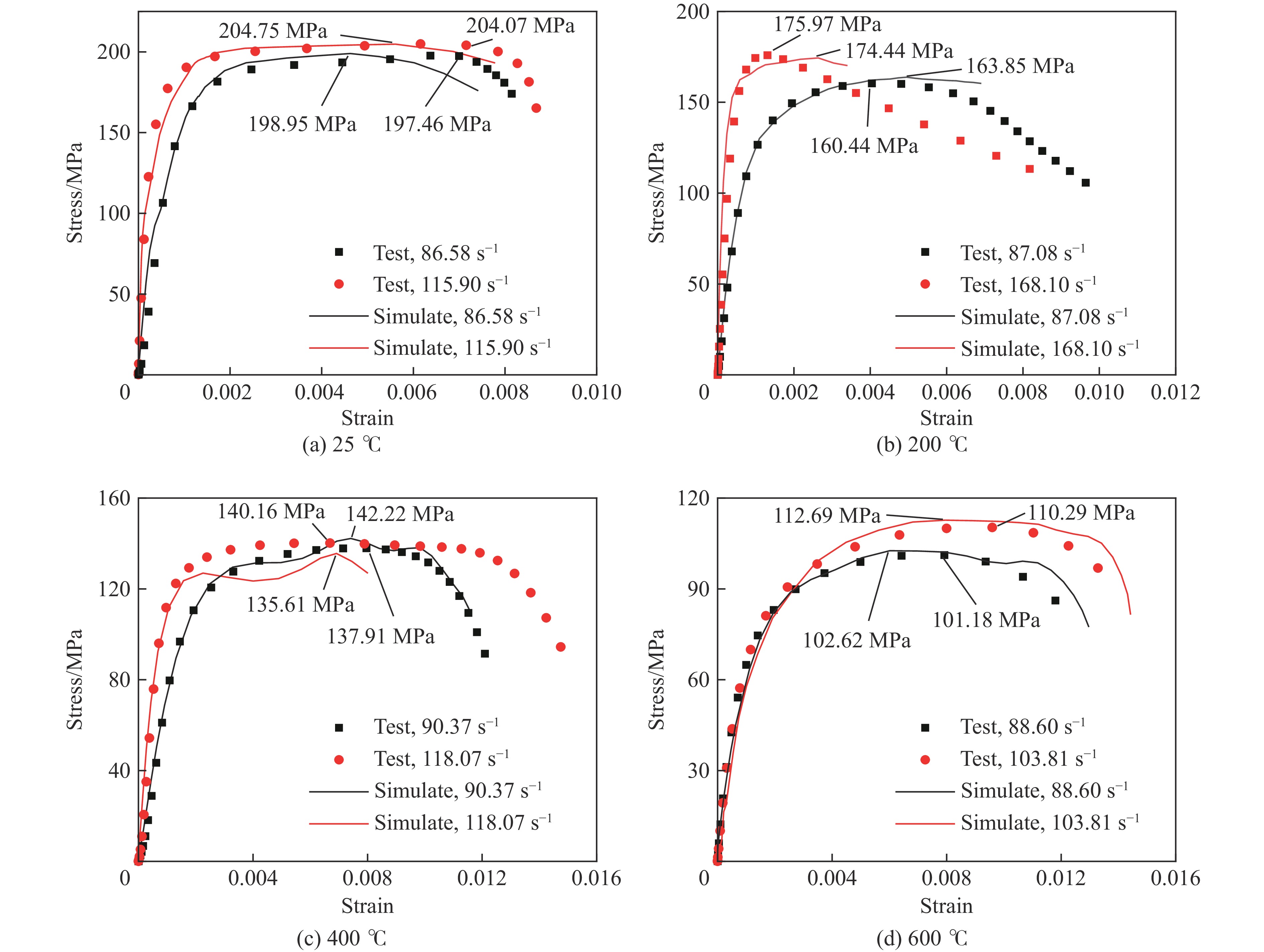
In order to further explore the influence of interstitial C atom on the strain rate effect and temperature effect of CoCrNi-based medium-entropy alloy, the compression mechanical behavior, microstructure evolution and deformation mechanism of CoCrNiSi0.3C0.048 medium-entropy alloy were systematically studied at a wide temperature and strain rate range./t/nThe investigated alloy is composed of FCC matrix and three-level precipitate microstructure, i.e. the primary Cr23C6 carbides (2 - 10 μm), the secondary SiC precipitates (200 - 500 nm), and the tertiary SiC precipitates (~50 nm). The results show that the serrated flow phenomenon is observed on the true stress-strain curve of the alloy at 400 ℃, and the amplitude of the serrations decreases gradually with the increase of strain until it disappears. In addition, the abnormal stress peak (the 3rd-type strain aging phenomenon) appears on the curve of the quasi-static flow stress with temperature, but at high strain rate, the abnormal stress peak disappears. Through the characterization and analysis of the deformed microstructure, it is speculated that the main reason for the phenomenon of 3rd-type strain aging under quasi-static conditions may be ac ascribe to the existence of interstitial C atoms. During the process of continuous plastic deformation and development, a series of mixed structures similar to heterogeneous structures are generated, which are composed of dense dislocation cells, micro bands, stack faults, dislocation clusters and deformation twins. These mixed structures intensify the interaction between interstitial atoms and moving dislocation, and then pin the dislocation, which results in dynamic strain aging phenomenon occurs. The reason why the 3rd-type strain aging does not appear under dynamic conditions may be that the movement of solute atoms is slower than that of the dislocation. The dislocation cannot be pinned in time. In addition, the precipitation of a large number of nanoscale SiC precipitates weakens the "pinning" effect of interstitial atoms under dynamic loading.

Industrial electronic detonators are usually filled with relatively sensitive detonation agents, which makes electronic detonators in the production and application process, prone to accidental explosion, there is a certain safety risk. Target:In order to meet the needs of industry safety and market, this paper studies a new no-primary electronic detonator. Methods: The main methods used were theoretical analysis of working mechanism, numerical simulation of blade speed, high-speed photography and underwater explosion test methods for product initiation capability.Conclusion:The rationality of its structure is proved through a series of tests. If the lead plate perforation test shows that the electronic detonator is 400mg, the second main charge is 200mg, and the third main charge is 320mg, The pressure density is 1.56 g/cm3, At the pressure density of the second load is 1.41 g/cm3, Three-pack in bulk, The detonation transmission of the detonator is relatively stable, Can form a stable detonation; In contrast with the traditional nonexplosive detonator, It shows that the axial detonator of this structure is large; The closing diameter of the pilot generator is controlled in the 5.6~5.7mm range, Can realize the combustion to detonation and obtain a reliable detonator flying speed. The product structure design of the study eliminated four drugs compared with the traditional detonator structure, which both simplifies the production process and improves the safety. The rationality and advantages of the structure are verified by lead plate test and underwater explosion test.

Laminated composite rock body widely exists in engineering fields such as mining, tunneling, transportation construction and slope management, which is a common geological structure in nature. In this paper, we simulate layered composite rock body by epoxy resin material, and use dynamic photoelasticity-digital image correlation comprehensive experimental system to visualize and refine the propagation process of explosive stress wave in gradient medium, and study the attenuation law and energy flow density evolution law of explosive stress wave in two cases of forward gradient and reverse gradient. The results show that there is no obvious change in the number of stripe levels in the forward propagation path, and there is obvious reflection at the nodal surface, and the number of stripe levels in the reverse propagation path is in the attenuation pattern, and the kinetic-optical elasticity stripe at the nodal surface has a very good continuity, and the explosive stress wave has a better penetrability in the reverse-gradient medium. The change of joints and materials in the gradient medium changes the rate of horizontal stress attenuation, and the horizontal stress attenuation is faster in the forward gradient medium. Through the introduction of the Poincar´e vector to compare the energy flow density, it is found that in the same measurement point in the forward gradient materials in the energy flow density amount of the faster decay rate, the explosion stress wave propagation process in the forward gradient materials belongs to the “energy absorption” process.

For the purpose of preventing propylene explosion risk in production and use, propylene explosion limit was tested by 12L spherical exlosion device to study the relationship between explosion limits and various initial temperature(20~180℃)or pressure(0.1~0.9MPa)in air. The study found that with the initial temperature and pressure rising,the upper explosion limit obviously elevate,but the low explosion limit decrease slightly,the explosion limit expand. At an initial temperature of 180℃, as the pressure increases the increase of the upper explosion limit of propylene is significantly higher than the linear increase, the content of carbon powder in the explosion products increased significantly, and the lower explosion limit of propylene changed from linear to slide-like curve. The coupling effect of initial temperature and initial pressure is obviously higher than that of single factor, and the influence on the upper explosion limit is obviously higher than that of the lower explosion limit. In the range of test temperature and pressure, the coupling effect is as follows : the upper explosion limit increases by 108 %, and the lower explosion limit decreases by 18.05 %. The single factor effect of initial temperature : the upper explosion limit increased by 3.8 %, and the lower explosion limit decreased by 3.41 %.The single factor effect of initial pressure : the upper explosion limit increased by 51.3 %, and the lower explosion limit decreased by 2.44 %. In this paper, the influence surface and fitting formula of initial temperature and initial pressure on the explosion limits of propylene-air mixtures are provided.

To effectively control the explosion intensity of hydrogen–air mixtures in confined spaces and elucidate the suppression mechanism of micron-sized water mist containing dimethyl methylphosphonate (DMMP, O=P(CH3)(OCH3)2), this study combines constant-volume combustion bomb experiments with chemical kinetic simulations using Chemkin-Pro. Results indicate that water mist containing O=P(CH₃)(OCH₃)₂ promotes the formation of cellular structures on the flame front, thereby inducing flame instability. At equivalence ratios (Φ) of 0.8, 1.0, and 1.5, the O=P(CH3)(OCH3)2-laden water mist effectively reduces the average flame speed (with reductions ranging from 24.2% to 47.2%) and suppresses the formation of tulip flames, which are replaced by wrinkled flame structures. The mist suppresses the pressure rise rate by reducing the laminar flame speed, but simultaneously enhances flame instability, which tends to increase the pressure rise rate. The overall suppression performance (with pressure reduction ranging from 41.0% to 65.8%) results from the coupling of these two opposing effects. Additionally, the O=P(CH3)(OCH3)2-laden mist achieves effective explosion suppression by reducing the concentrations of H∙, O∙, and OH∙ radicals, with reductions exceeding 80%. The physical suppression arises from pre-flame cooling and dilution effects of the water mist, while the chemical suppression is attributed to the decomposition of O=P(CH3)(OCH3)2 into phosphorus-containing radicals such as HOPO∙, HOPO2∙, HPO2∙, PO(OH)2∙, and PO(H)(OH)∙. These species scavenge reactive H∙ and OH∙ radicals, promoting the formation of stable products like H2 and H2O, thereby interrupting the chain reactions in hydrogen-air explosions.

Underwater explosions (UNDEX) in deep-sea environments involve complex interactions between detonation products, water compressibility, and high hydrostatic pressure, making both theoretical modeling and experimental validation particularly challenging. While previous research has provided valuable insights into the basic features of shock wave propagation and bubble dynamics in underwater explosions, most existing studies are limited to shallow water scenarios or narrowly defined environmental parameters. Systematic investigations into the behavior of UNDEX under varying deep-sea conditions remain relatively scarce. This study aims to bridge that gap by conducting a comprehensive numerical analysis of shock wave load characteristics and gas bubble pulsation behaviors under a range of deep-sea conditions. A modified version of the unified bubble model, known as the Zhang equation, is employed to simulate the dynamic response of the underwater explosion across varying water depths, charge masses, and stand-off distances. The simulation framework accounts for both nonlinear pressure attenuation and the strong coupling between shock waves and bubble oscillations. The results reveal that the peak pressure of the shock wave is primarily influenced by the charge mass and stand-off distance, and increases with water depth at an approximate rate of 1% per kilometer. In contrast, both shock wave impulse and specific shock wave energy decrease with increasing water depth and stand-off distance, but show a positive correlation with charge magnitude. In terms of bubble dynamics, the maximum pulsation radius is found to be highly sensitive to both charge mass and ambient pressure, with larger charges producing more extensive pulsation cycles. Notably, as water depth increases, the suppressive effect of hydrostatic pressure becomes more pronounced, significantly weakening the intensity of bubble pulsation. Furthermore, the simulation indicates an asymmetry in the pulsation cycle: the expansion phase consistently lasts slightly longer than the collapse phase. These findings contribute to a more nuanced understanding of underwater explosion phenomena in deep-sea environments and have practical implications for naval engineering, subsea structural safety assessment, and explosive ordnance disposal in complex oceanic settings.


In response to the insufficient lightweight issue of the baffle plate for the nose end frame with aluminum alloy stiffened structure in active civil aircraft, a new type of aluminum foam sandwich baffle structure is proposed based on an in-depth exploration of the energy absorption mechanism of aluminum foam sandwich structures against bird impact. This innovative design employs an asymmetric panel configuration: a highly ductile 2024-T3 aluminum alloy upper face sheet, a high-strength 7075-T6 aluminum alloy lower face sheet, and an aluminum foam core layer in between. It replaces the traditional aluminum alloy stiffened panel, aiming to significantly reduce structural weight while ensuring excellent bird strike resistance. First, the effectiveness of the bird body constitutive model and its contact algorithm was verified by comparing the high-speed bird body impact test on aluminum alloy flat plates with the simulated strain data. Based on previous experimental data, combined with parameter inversion and simulation cases, the simulation data of homogeneous and gradient aluminum foams are in good agreement with the test results, which verifies the accuracy and applicability of the aluminum foam material constitutive model.Furthermore, using the professional Pam-crash software, transient impact dynamics simulations of bird strikes were conducted on both the stiffened panel structure and the aluminum foam sandwich structure end frame. Combined with the damage and deformation conditions of each component and energy absorption data, a comparative analysis was made on the differences in their impact response characteristics and energy absorption mechanisms.The study shows that the stiffened panel mainly absorbs the energy of bird body impact through its plastic deformation, while the aluminum foam sandwich structure absorbs energy synergistically through the compressive collapse failure of the core layer and the large plastic deformation mechanism of the upper face sheet. The optimized aluminum foam sandwich structure is significantly superior to the traditional stiffened panel structure in terms of energy absorption efficiency.Subsequently, a full-coverage optimization design scheme for the baffle was completed based on the energy absorption characteristics of the aluminum foam sandwich structure.According to the full-coverage bird impact simulation results, the proposed aluminum foam sandwich baffle design achieves a structural weight reduction of more than 30% while maintaining the same bird strike resistance performance as the in-service structure.This research provides reliable technical references and innovative ideas for the lightweight bird strike-resistant design of civil aircraft nose bulkhead.

Novel low-yield earth-penetrating nuclear warheads utilizing multi-point focused explosions pose a severe threat to deep underground structures. Addressing the critical challenge that traditional single-point simulations fail to replicate the synergistic damage effects inherent in such multi-point detonations, this paper innovatively designs and develops a vacuum chamber-based simulation test system for large-yield multi-point focused explosion cratering effects. The core innovation lies in the unique application of vacuum chamber technology, enabling efficient, cost-effective simulation of these complex phenomena with high result repeatability. Based on vacuum chamber explosion simulation theory, we established the similarity laws governing large-yield multi-point explosion cratering, determining key parameters including vacuum chamber pressure and simulated multi-source cavity pressure, while synchronization tests verified simultaneity across explosive sources. Referencing the US "Palanquin" underground nuclear test, we conducted vacuum chamber simulations for three-point sources under deep burial (4.3 kt, 85 m depth) and shallow burial (5 kt, 20 m depth) scenarios, comparing results with single-point explosion prototype data and empirical formulas. Results demonstrate that multi-point explosions significantly enhance crater radius, volume, and free-surface projection area compared to single-point events, dramatically expanding the damage zone, with explosive burial depth profoundly influencing the effect. This study pioneers a first-of-its-kind vacuum chamber multi-point explosion simulation system, providing an indispensable experimental platform and robust theoretical foundation for accurately assessing damage mechanisms and effectiveness of earth-penetrating nuclear multi-point strikes on deep underground engineering, holding substantial value for protective structure design and related engineering applications.

To investigate the coupled effects of trajectory angle and pitch angle on the deflection characteristics of projectiles penetrating thin concrete targets, an extensive numerical simulation study was systematically conducted, focusing primarily on the oblique penetration scenarios of single-layer concrete thin targets. The projectile was divided into six distinct segments (the nose section comprising 2 segments and the body section divided into 4 segments) for detailed force analysis to accurately capture its dynamic response. Various combinations of trajectory angles (ranging from 5° to 30°) and pitch angles (ranging from -6° to 6°) with different magnitudes and directions were selected to examine their individual and combined influences. The reliability of the numerical simulation method was rigorously verified based on the penetration test results of projectiles with different trajectory angles and pitch angles into two-layer spaced concrete targets. The results indicate that the deflection of the projectile is jointly caused by the reversal of the force direction on the projectile head and the change in the direction of the deflection moment induced by the forward motion of the projectile body during penetration. Under positive trajectory angle conditions, the trajectory exhibits an upward deflection. If a pitch angle is present, the sign of the pitch angle determines the direction of the trajectory deflection. When the trajectory angle and pitch angle are in the same direction, the attitude angle of the projectile after exiting the target first decreases and then increases in the opposite direction. Conversely, when the trajectory angle and pitch angle are in opposite directions, a smaller pitch angle causes the attitude angle of the projectile to continuously increase after exiting the target. In this scenario, a larger trajectory angle leads to the projectile undergoing three deflections during penetration. If the pitch angle exceeds 2°, the attitude angle of the projectile after exiting the target first decreases and then increases in the opposite direction.

With the increase in global terrorism and industrial accidents, research on the safety of infrastructure under explosion impacts has become particularly urgent. As a key means to explore the dynamic response and damage characteristics of materials and structures under explosive shock, the safe, efficient, and accurate simulation of explosion impact loading technologies has become a research hotspot and challenge in this field. The review summarizes the equivalent loading test techniques for simulating explosion loads, including dynamite-driven shock tubes, high-pressure gas-driven shock tubes, drop hammer impact testing machines, and hydraulic driving simulators. Each of these techniques has advantages and limitations in simulating the blast wave, but all aim to provide a controllable and safe experimental environment to reproduce the high-speed air flow and shock wave generated by explosions. Through comparative analysis, the performance of various technologies in terms of accuracy, applicability and operational convenience in simulating explosive loads is revealed. Finally, a new type of simulated explosion loading test technology based on liquid-gas phase transition expansion is introduced, and the follow-up research directions are prospected.

The catenary reinforced method can enhance the crashworthiness of re-entrant honeycomb (RH) by avoiding hollow structural characteristics, strengthening negative Poission’s ratio effect, and utilizing the high load-bearing effectiveness of catenary structure simultaneously. Herein, the sandwich beam with reinforced RH (RRH) is proposed, and its metallic specimens are fabricated to conduct a quasi-static three-point bending experiment. The introduced catenary structure can limit the rotation deformation of inclined cell walls around vertices. By introducing catenary structures, the drop in load-bearing force after initial plastic deformation is reduced from 29.3% to 6.6%. Compared to RH cored beams, the maximum load-bearing force and energy absorption of RRH ones can be improved by 26.7% and 8.9%, respectively. A parametric analysis is conducted to determine that the thicknesses of front facesheet, back facesheet, and core have a significant effect on deformation behavior and energy absorption of RRH cored sandwich beams. The multi-objective optimization is conducted on RRH cored sandwich beams. Compared to the baseline, the maximum load-bearing force and energy absorption of optimized one can be enhanced by 64.9% and 46.9%, respectively. Compared to in-plane and out-of-plane classic honeycomb cored sandwich beams, the proposed reinforced re-entrant honeycomb ones exhibit better anti-impact performance. The research results can provide useful guidance for the reinforcement design of honeycomb cored sandwich beams.

In order to quantitatively evaluate the overload stability of defective charges, a charge overload test system that can take into account both high overload pressure and wide pulse was innovatively established, and the overload stability of charges with different defects was tested. By quantifying the influence of the experimental system on the characteristic value of charge load, the correlation mechanism between charge response behavior and image gray level was revealed. By introducing the conversion factor of testing device, the overload stability evaluation model of defective charge was proposed, and the response critical pressure threshold of different defective charge was predicted. The results indicate that the overload peak value greater than 1GPa and high impulse pulse width greater than 100μs can be achieved. With the increase of defect diameter, the response level of loading response increases significantly. The critical pressure of combustion reaction decreases from 0.71gpa to 0.26gpa with the increase of charge defect diameter from 0mm to 12mm. When the defect diameter of the charge reaches 10mm, the critical pressure of deflagration reaction is 1.56GPa. With the increase of defect diameter, the critical pressure of deflagration reaction decreases to 1.25GPa when the defect is Φ12mm. The reaction critical pressure predicted by the model is within the confidence range of the experimental data surrounded by the minimum reaction overload pressure and the maximum unreacted overload pressure, which verifies the reliability of the model, and provides theoretical and experimental data support for the safe service of defective charge.

In order to explore the propagation characteristics of P wave in nonlinear oblique joints rock mass, the method combing theoretical analysis, comparative verification and numerical calculation is adopted. Firstly, the hyperbolic joint model with normal nonlinear deformation and tangential linear deformation is introduced. Based on the interaction relationship between stress wave and linear joint, the propagation equation of P wave incident oblique joints is deduced according to the wave theory, Snell theorem, conservation principle of wave front momentum, displacement discontinuity theory and superposition principle. Then, based on the parameters of incident P wave and the conditions of jointed rock mass in literature, the transmission and reflection coefficients are calculated and found to be very close, which verified the accuracy and feasibility of the theoretical model. Furthermore, the auxiliary function of

Significant differences in structure and layout exist between the Blended Wing Body (BWB) civil aircraft and conventional cylindrical fuselage metal aircraft. As a result, the impact resistance characteristics of the non-circular fuselage structure and the injury mechanisms for occupants remain unclear. A 460-seat BWB aircraft model was developed based on the Pultruded Rod Stitched Efficient Unitized Structure (PRSEUS) proposed by National Aeronautics and Space Administration (NASA). The aircraft has a wingspan of 80 meters, a range of approximately 16,000 km, a cruising Mach number of 0.85, and a cruising altitude of 11,000 meters. Three typical loading conditions—critical maneuvering loads (2.5g overload and -1.0g overload) and cabin pressurization loads (Double the cabin pressurization load)—were used as input conditions to evaluate the strength and stiffness of the BWB structure. Through iterative structural design optimization, the model was confirmed to meet the typical loading requirements and demonstrated sufficient safety margins. The model included all major structural components of the BWB configuration, such as skin, frames, stringers, cargo floor, cabin floor, support columns, and fuselage ribs. In the finite element modeling process, from the perspective of reducing the amount of calculation, the part of the crash response that had less influence was reasonably simplified, such as the outer wings and engines were simplified as concentrated mass points. The cabin seats and passengers were also modeled as concentrated masses and fixed to the seat rails. The primary structural components of the BWB aircraft model, including the skin, stringers, floor, and floor beams, were constructed from AS4 carbon fiber composite laminates and modeled using shell elements. The pultruded rods were made of AS4 carbon fiber composite and modeled using beam elements. The foam core of the frames and fuselage ribs were made of Rohacell-110-WF foam material and modeled using solid elements. The remaining structures were made of 7075 aluminum alloy and modeled using shell elements. The final model had a total mass of 162.87 tons and consisted of 2,679,991 elements. Five vertical impact velocities ranging from 26 ft/s to 30 ft/s were selected to analyze the cabin space integrity, acceleration response of the cabin floor, and the impact characteristics of the primary load-bearing structures. The results show that the cabin area of the lift-body fuselage remains largely intact under different impact velocities. The primary damage occurs below the cabin floor, with compressive damage concentrated in the lower structures of the middle and aft fuselage. The survivable space is preserved. Compared to a round-section fuselage, the deformation of BWB frames is relatively small, and the upward bulging is not significant, making it difficult to form effective plastic hinges. During the crash, the acceleration load distribution of the blended wing body-integrated aircraft shows a decreasing trend from the central aisle to the sides of the fuselage, with peak acceleration loads being higher at the central aisle. Under all five crash conditions, passenger injury levels in various cabin positions fall within the serious but acceptable and safe regions. Regarding structural energy absorption, the frames serve as the primary energy-absorbing structures, followed by the fuselage ribs. However, the cargo pillars do not effectively crush and absorb energy. For the future crashworthiness design of BWB civil aircraft, the cargo structure should be a key consideration.

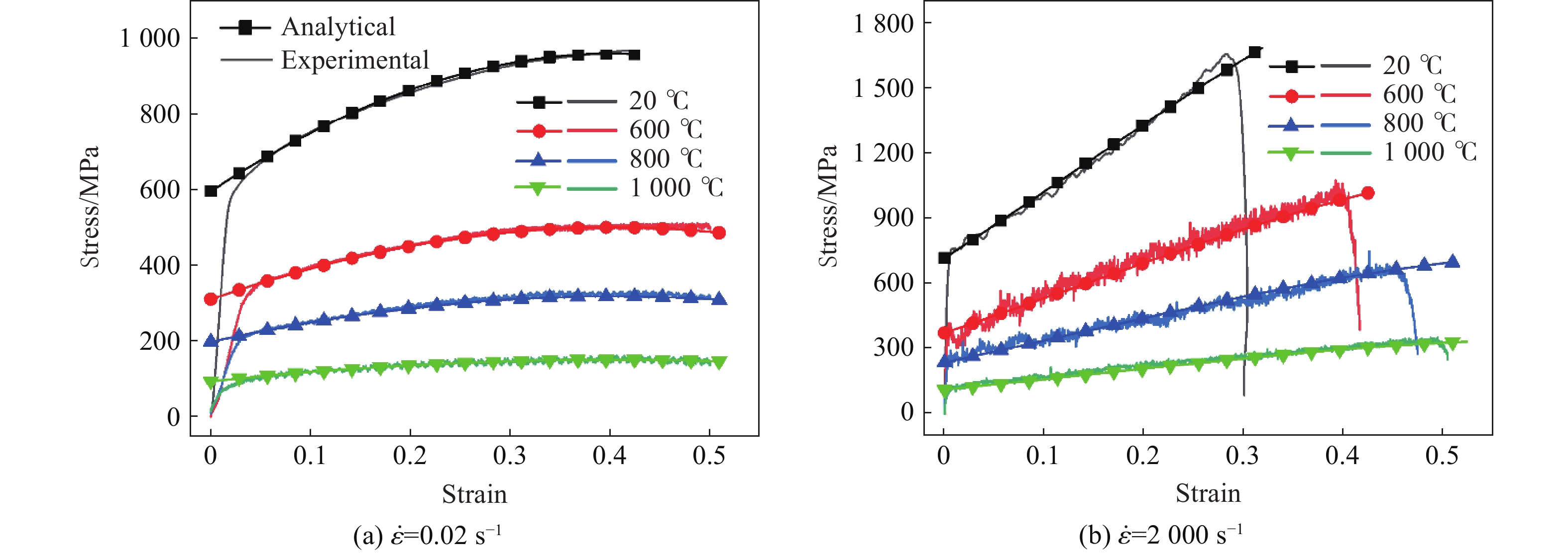
To accurately characterize the stress-strain constitutive relationship of metal materials under high strain rates, a high-precision constitutive relationship prediction model based on Graph Neural Networks (GNN) and Kolmogorov-Arnold Networks (KAN) was developed. Traditional Johnson-Cook (JC) models often fail to account for the coupling effects among temperature, strain rate, and strain, which are crucial for describing the dynamic behavior of materials under extreme conditions. This limitation was addressed by constructing graph-structured data in the GNN model to capture the nonlinear correlations of multidimensional parameters and leveraging the Kolmogorov-Arnold theorem in the KAN model to achieve precise mapping of high-dimensional input spaces. The research methodology involved several key steps. Experimental data from ODS copper from ODS copper under high strain rate compression were collected using a Split Hopkinson Pressure Bar (SHPB) system and subsequently preprocessed. The dataset included temperature, strain rate, strain, and stress. In the GNN model, when temperature and strain rate were constant, nodes were connected in sequence based on strain values to form edges. When temperature was constant, a reasonable threshold was set between nodes with adjacent strain rates, and nodes within this threshold were connected to form edges. The GNN employed a Message Passing Neural Network (MPNN) architecture to learn and predict material properties. Model parameters were optimized using the Adam optimizer, with the Root Mean Squared Error (RMSE) serving as the loss function. The KAN model was constructed based on the Kolmogorov-Arnold representation theorem and consisted of multiple KAN-Linear layers. Each KAN-Linear unit included base weights and spline weights. Base weights handled linear relationships through traditional linear transformations, while spline weights managed nonlinear mappings via B-spline interpolation. Both models were trained on the preprocessed dataset, and their performance was evaluated using metrics such as the Mean Relative Error (MRE), Root Mean Squared Error (RMSE), and the coefficient of determination (R²). The GNN model achieved an average MRE of 9.2% with an R² value exceeding 0.95, while the KAN model recorded an MRE of 9.1% with a similar R² value. Both models significantly outperformed the JC model, which had an MRE of 0.38 and an R² value of 0.75. Furthermore, the predictive capabilities of the GNN and KAN models were validated through finite element simulations. The simulation results demonstrated that the stress-strain distributions predicted by the GNN and KAN models were more consistent with theoretical expectations compared to those predicted by the JC model, particularly in capturing the material's softening phase. The findings highlight the potential of integrating advanced machine learning techniques, such as GNN and KAN, into the field of materials science to enhance the accuracy and efficiency of constitutive modeling. The models offer a promising alternative to traditional empirical models and hold significant implications for engineering applications in aerospace, automotive, and other industries where materials are subjected to high strain rates.

A high-pressure physical property research technology for metal powders was established based on laser driving method. Through target optimization design and experimental verification, while achieving the regulation of shock wave loading characteristics, the technical difficulties caused by the lack of fixed geometric shapes in powder materials for measurement have been solved; The use of local coating method in the target structure solves the influence of adhesive on the thickness measurement of quartz standard material, ensuring the authenticity of the data. By utilizing three-dimensional CT imaging technology to characterize the assembly quality of experimental targets, micro targets that meet the requirements of laser driven metal powder high-pressure physical property diagnosis were obtained through improved assembly methods, and the development of targets with different initial densities was also achieved. The experimental results show good data consistency, which is consistent with the independently calculated WEOS simulation results and can effectively distinguish the data trends under different initial densities. This experimental technique can be extended to the study of high-pressure physical properties of other powder particles.

Abstract: Based on the split Hopkinson pressure bar (SHPB) technique, Mode I dynamic fracture tests were carried out on alumina ceramic using a newly designed miniature three-point bending fracture specimen combined with a fixture. The fracture initiation time of the specimen was obtained by the strain gauge method. The accuracy of measured fracture initiation time was verified by a high-speed photography. The variation of the Mode I dynamic stress intensity factor at the crack tip and the dynamic fracture toughness of the material were obtained by the Experimental-numerical method. The results show that with the loading rate increasing from 0.45TPa·m1/2·s-1 to 1.83TPa·m1/2·s-1, the dynamic fracture toughness of alumina ceramic increased from 8.39TPa·m1/2 to 15.76TPa·m1/2, while the fracture initiation time decreases continuously. The analysis of fracture morphology shows that with the increase of loading rates, the failure mode of alumina ceramic gradually changes from domination of intergranular fracture to a mixture of transgranular and intergranular. During this period, more microdefects are activated at a higher loading rate, and eventually evolve into transgranular fractures. The transition of failure modes results in the consumption of more energy, and contributes to the elevation of fracture toughness of the material.

The dynamic response and damage assessment of reinforced concrete (RC) piers under lateral impact loads are investigated in this paper. High-fidelity finite element models of RC piers under lateral impact are developed established using the explicit dynamic analysis software LS-DYNA. The finite element models are calibrated by using the test data from lateral impact tests of RC piers. The influence of impact velocity, impact mass, impact location, and axial compression ratio on the dynamic response and damage evolution of RC piers are investigated. Based on the residual load-carrying capacity and residual displacement, the indicators of relative residual deformation and relative residual load-carrying capacity are proposed. The corresponding values of relative residual load-carrying capacity for slight damage, moderate damage, severe damage, and collapse are determined. Moreover, a mapping relationship between relative residual deformation and relative residual load-carrying capacity of RC piers with various axial compression ratios and impacted at different impact locations is established. A new damage assessment method for RC piers under impact load is proposed based on the mapping relationship. The research results indicate that RC piers subjected to impact at the mid-column position primarily exhibit flexural-shear failure, where as local shear failure predominantly occurs when the impact is at the column base. As the impact velocity and mass increase, the residual displacement increases significantly, while the residual bearing capacity decreases. The axial compression ratio within the range of 0.2 to 0.4 has a limited effect on the peak impact force and peak displacement but significantly affects the residual displacement when the impact occurs at the mid-column. When the mid-column region and the column base region are subjected to lateral impact, there exists an approximate linear relationship between relative residual deformation and relative residual load-carrying capacity, where the greater the relative residual deformation, the smaller the relative residual load-carrying capacity. Under equal conditions of relative residual deformation, the relative residual load-carrying capacity of column base impact is lower than that of mid-column impact, with a greater decrease in residual load-bearing performance. When the mid-column position and the column base position are subjected to lateral impact, there exists an approximate linear relationship between relative residual deformation and relative residual load-carrying capacity, such that the greater the relative residual deformation, the smaller the relative residual load-carrying capacity. Under conditions of equal relative residual deformation, the relative residual load-carrying capacity of the base-column impact is lower than that of the mid-column impact, with a more significant decrease in load-carrying capacity. The research findings could provide theoretical support for the impact resistance design and damage assessment of RC piers in practical engineering applications.

Layered rock masses are prone to bedding plane cracking or even large-scale collapse under impact loads such as blasting. In engineering practices, bolts or cables are commonly employed for anchoring support. This study conducted dynamic impact tests on bedded sandstone specimens under four anchoring conditions: unanchored, end-anchored, half-anchored, and fully-anchored. The effects of different anchoring methods on the dynamic mechanical properties, energy dissipation patterns, and fracture fractal characteristics of layered sandstone were analyzed. The results show: The strength of unanchored specimens decreases first and then increases with the increase of bedding plane angle, showing a "V"-shaped curve. After anchorage, the strength of the specimens is significantly improved. As the anchorage length increases, the curve gradually transforms into an inverted "V"-shaped characteristic. From an energy perspective, the transmitted energy trends of all four specimen types are similar to their strength variations. With increasing bedding angle, the reflected energy curve exhibits an inverted "V" shape, the transmitted energy gradually decreases, while the dissipated energy increases. The anchoring method primarily influences the overall magnitude of these curves. The fragments from failed specimens exhibit distinct fractal characteristics. The fractal dimension D shows an inverted "V" trend with bedding angle variation. Full-anchor specimens display the least fragmentation, while no-anchor specimens suffer the most severe damage. Based on this, the unit dissipated energy index was calculated, presenting a "V"-shaped curve. Full-anchor specimens exhibit the highest overall unit dissipated energy index, indicating their superior resistance to damage. The research findings provide valuable references for the anchoring support design of layered rock mass engineering.

Coal dust explosion has become one of the most serious accidents in underground coal mines due to its powerful destructive force and extensive damage range. Using the Box-Behnken experimental design method, the influence of multi-factor coupling effects on the intensity of coal dust explosion during the transient explosion reaction process was studied. A total of 45 groups of 20L spherical explosion tests were conducted, observing the macroscopic characteristics of the intensity of coal dust explosion under the coupling effects of five factors: coal dust concentration (A), coal dust particle size (B), coal volatile matter (C), ignition energy (D), and ignition delay (E). The explosion process was monitored by measuring pressure changes, and the maximum explosion pressure (response value Y1) and the maximum explosion pressure rise rate (response value Y2) were determined from the pressure-time curve. The Design-Expert software was used to analyze the experimental results to establish a quadratic regression model for response values Y1 and Y2. The results show that in the variance analysis (ANOVA), the coefficient of determination (R) for Y1 and Y2 is 0.9771 and 0.9258, respectively, indicating a good fit between the model and experimental data. The single factor that has the greatest influence on the maximum explosion pressure (Y1) is ignition energy and ignition delay, and the single factor that has the greatest influence on the rise rate of the maximum explosion pressure (Y2) is coal dust particle size and ignition delay. In the quadratic regression model, the significant two-factor interaction affecting Y1 are AB, AD, AE, BC, CD, CE, and DE, while significant two-factor interaction affecting Y2 are AE, BC, BE, CE, and DE. Among them, ignition delay plays a decisive role in response values Y1 and Y2.The research results can provide a theoretical basis for dust explosion prevention work in underground coal mines.

Contact explosion is an important condition in the damage and protection of underwater structures, and the pulsating bubbles generated by explosive underwater explosion are an important damage source. At present, the research on underwater explosion bubbles mainly focuses on the pulsating characteristics of spherical bubbles under free-field and typical boundary conditions, while there is limited research on non-spherical bubbles under contact explosion conditions. This study systematically investigates the pulsation characteristics of underwater contact explosion bubbles through theoretical modeling, numerical simulations, and experiments. To address the theoretical gap in contact explosion dynamics, a hemispherical bubble dynamics model under rigid wall contact conditions is established based on incompressible and inviscid fluid assumptions. By comparing with the spherical bubble pulsation model in an incompressible flow field, quantitative relationships between parameters such as the maximum bubble radius, initial radius, pulsation period, in the two models were obtained. Theoretical analysis reveals that the maximum radius, initial radius, and pulsation period of contact explosion bubbles are 1.26 (theoretical scaling factor) times those of free-field conditions. An error analysis of the aforementioned conclusions was performed, accounting for fluid compressibility, unstable bubble deformation, and energy dissipation induced by bubble-rigid wall interactions. Numerical simulations using LS-DYNA for 0.3 g TNT underwater explosions demonstrate that the maximum radius and pulsation period under contact explosion conditions are 1.22 and 1.20 times those of free-field results, respectively, with simulation errors below 10% compared to theoretical predictions. Experimental validation in a water tank shows that the maximum radius and period of contact explosion bubbles are 1.10 and 1.06 times those of free-field conditions. During the experiments, plate vibrations were observed upon explosion, which significantly contributed to experimental errors. This work addresses the theoretical gap in contact explosion bubble dynamics, enhances the understanding of boundary effects in underwater explosion phenomena, and provides a theoretical foundation for damage assessment in underwater contact explosions.

Concrete pipelines are widely used in major water transmission network projects in China, such as the South-to-North Water Diversion Project. However, buried pipelines in mountainous areas are prone to damage and leakage due to rockfall impacts. To investigate the protective effect of ground concrete cushion layers on buried pipelines, field rockfall impact tests were conducted by pre-burying multi-section bell-and-spigot concrete pipelines and casting in-situ concrete cushions on the ground. Combined with the DH8302 dynamic strain testing system, the spatial distribution characteristics of dynamic strain in the pipeline body and the variation law of earth pressure at the bell-and-spigot joints were analyzed. The LS-DYNA numerical simulation software was used to establish a detailed model of the rockfall impact test, and the reliability of the numerical model was verified by comparing simulation results with test results. By increasing the impact energy of rockfalls, the failure characteristics of buried bell-and-spigot concrete pipelines were studied. The influence mechanism of concrete cushion parameters (thickness and strength) on the protective effect was further analyzed by varying these parameters. The results show that: (1) Under the condition of a burial depth of 2 m, unstable crack propagation in the pipeline body is more likely to cause leakage of bell-and-spigot concrete pipelines under rockfall impact; (2) The peak tensile strain in the pipeline body decreases nonlinearly with the increase of cushion thickness and strength. The cushion thickness must exceed a critical value (15 cm) to significantly dissipate energy, and there is an optimal strength range (C30-C35) – excessive strength enhancement will reduce protective efficiency; (3) Cushion thickness accounts for 74% of the protective effect contribution, indicating that the design principle of "geometry prior to material" should be followed. It is recommended to use a concrete cushion with a strength of C30-C35 and a thickness of ≥0.2 m, which can significantly reduce the risk of pipeline impact damage and provide a quantitative design basis for pipeline protection in mountainous areas.

Regarding the calculation problem of the thickness limit of high-strength steel-concrete composite structures under the impact of slender thin-walled projectiles, this paper carried out tests on the impact of composite targets by slender thin-walled projectiles. Based on the test results, the protection mechanism of the composite structure and the failure modes of the projectile structure were analyzed. On the basis of the original thickness limit calculation model, considering the key factor of the projectile structure strength, a new thickness limit calculation model was then proposed, and the relevant parameters were empirically discussed. The research results show that: The protection mechanism of the high-strength steel-concrete composite structure lies in that the high-strength steel provides material strength, and the concrete back plate provides support stiffness, with the two complementing each other's advantages. Since the slender thin-walled projectiles are prone to compressive expansion and cracking failures during the impact process, the influence of the projectile structure strength on the impact effect must be considered in the calculation model. The design of the composite structure needs to take into account both the mechanical properties of the high-strength steel and the thickness limit of the composite structure. In addition, this paper points out that the calculation model has some shortcomings, such as the empirical nature of the parameters and the conservative nature of the calculation results. The model still needs to be revised in subsequent research. The research achievements of this paper can provide a theoretical basis for the design and application of high-strength steel-concrete composite structures in the field of protection engineering.

In order to investigate the damage mechanism and load characteristics of caisson wharf subject to underwater contact and near-field explosion, finite element numerical simulation verified by the experimental results was conducted based on the caisson wharf model test. This analysis delved into the shock wave propagation and attenuation within the caisson wharf, as well as the destruction process and damage mechanisms of the caisson wharf. The results shows that the damage areas and characteristics of the caisson wharf are largely consistent under both underwater contact and near-field explosion. The damage degree decreases as the charge distance increases. The primary destruction areas are blasting wall and the slab near explosive, and the side walls and internal partitions of the caisson wharf are relatively minor damage, the damage characteristics of caisson wharf is primarily shaped during the underwater explosion shockwave phase, which takes approximately twice the duration of the shockwave propagation through the caisson wharf. Additionally, shockwaves within the caisson wharf subjected to underwater contact and near-field explosions undergo reflection and transmission at the interfaces between the partitions and fillings within the compartments. Shock wave produces different load variation patterns due to the different propagation media. The blasting wall and cabin are subjected to significant loads, and the shock wave load rapidly decays within caisson wharf.

The load distribution of building surface under blast wave has a direct impact on the failure mode and degree of building. In order to study the distribution of blast wave load of building surface under surface burst, firstly, the fine scaled experiments under laboratory environment were conducted. The blast wave pressure-time curves on the surface of building model under the situation of surface burst of spherical charge as well as the distribution law of blast wave characteristic parameters were obtained. Subsequently, the numerical simulation method of blast wave propagation was developed and verified by the experimental data. Through simulation, the blast load distribution and time-histories of blast pressure on the rear face of building were analyzed. Finally, the theoretical method based on blast wave time-history analysis and superposition rule was proposed, and the quantitative analysis model of the blast load distribution on the rear face of building which was verified by numerical results was obtained. The results show that the maximum blast load on the front face of building located at the bottom of the building, which the overall distribution was relatively uniform. The blast load on the rear face of building was mainly concentrated on the two sides of the top angle and the central axis, which was formed by the superposition of the diffraction waves from top and side edges, and the maximum overpressure occurred at the intersection position of different diffraction shock waves, which is affected by the building size and explosion distance. The research results can provide guidance for the damage assessment and design of building under explosion damage.

To meet the need for accurate and rapid prediction of overpressure generated by an explosion, a graph neural network (GNN)-based artificial intelligence model was proposed in this paper for predicting the spatial and temporal distribution of the blast overpressure. The model relies on high-fidelity training data generated through computational fluid dynamics (CFD) simulations using the open-source software blastFoam, and the validity of the numerical simulations was validated against experimental data from existing literature. In the simulations, the computational domain was discretized using hexahedral meshes, and key physical parameters—including pressure, velocity, and node type—were extracted and converted into structured graph data via mesh remapping technology. This approach enabled the construction of two specialized datasets: a free-field explosion dataset and a confined explosion dataset for TNT, which serve as the foundation for training and evaluating the GNN model. The GNN model contains three modules: an encoder, a processor and a decoder. The predicted results of the pressure field can be output through inputting the standard graph format data. The GNN model was trained using the two training datasets for the two specialized scenarios, separately. The root mean square error (RMSE) and the coefficient of determination (R2) of the model on the testing datasets were monitored, and the predicted results were compared with the computed results of the CFD. All the above comparisons show that the GNN-based model proposed in this paper attains good predicted results in both the free-field explosion and the confined explosion scenarios. The GNN-based model has the advantages in extracting strong feature under small samples, rapid prediction with stratified accuracy, and versatile applications. Moreover, the GNN-based model can achieve the prediction of the blast overpressure field of the three-dimensional space both in temporal and spatial dimensions. In light of the GNN-based model for rapidly predicting the overpressure field, it has the potential to be implemented in protective engineering, ammunition engineering, and blasting technology.

Liquid oxygen (LOX) blasting is a novel gas-based rock fracturing technology that relies on rapid phase transition and volumetric expansion to generate high-pressure gas for rock breakage. To address the unclear mechanisms of LOX phase transition, the poorly understood expansion process, and the uncontrollable effects of absorbent materials, this study investigates the complete explosion process of LOX charges with various absorbents. An experimental setup was developed, and high-speed imaging was employed to track the explosion behavior of LOX charges using different absorbent materials. Video data were processed to analyze the ignition-to-detonation time and critical explosion stages. The results demonstrate that the structural and combustion characteristics of absorbents play a decisive role in the LOX explosion process. Fibrous absorbents, due to limited LOX retention and slow combustion rates, cause delayed ignition and post-blast secondary combustion. In contrast, granular absorbents—with higher specific surface areas—enable efficient LOX absorption and complete combustion, significantly reducing ignition time and leaving no residue. Regulating the microstructure of absorbents can effectively adjust the coupling among LOX fixation, combustion rate, and energy release. For the first time, high-speed imaging captured asymmetric charge displacement induced by the combined effect of absorbent combustion rate and charge structure, which is compared to punching phenomena observed in field-scale blasting. Future studies should focus on developing new absorbents with moderate combustion rates, strong LOX retention capacity, and low cost to enhance the safety, efficiency, and engineering applicability of LOX blasting.

To augment the ballistic protection capabilities of armor systems, an investigation into the impact resistance of composite structures comprising silicon carbide ceramics and novel twinning-induced plasticity (TWIP) steel has been undertaken. Employing a light gas gun for experimental impact testing, alongside microstructural characterization and numerical simulation, the study focused on the spall strength, deformation mechanisms, and damage characteristics of the ceramic-TWIP steel composite under high-velocity impact loading. The experimental outcomes revealed that the composite structure demonstrated a 22.76% enhancement in spall strength and a 7.09% increment in strain rate response compared to the pristine TWIP steel. The composite structure exhibited reduced spallation, diminished crack propagation, and a lower incidence of micro-voids, indicative of superior impact resistance performance. Microscopic analysis has unveiled the damage mechanisms of materials under impact loading, including the formation, aggregation of micro-pores, and the initiation of primary cracks. Numerical simulations using LS/DYNA were conducted to research the impact resistance of such composite structures, with experimental results validating the accuracy of the models. Stress distributions at various moments during the impact process were analyzed numerically, and the critical impact velocity for crack steel properties on the impact resistance of the composite structure. This research provides an important theoretical foundation for the application of these novel metal/ceramic composite structures in the field of impact protection.

In order to investigate the impact of target damage on projectile penetration performance, a series of penetration experiments were conducted on a concrete target utilising a former jet and a subsequent kinetic energy projectile. The critical factors influencing the performance of pre-damaged concrete penetrated by the projectile were analyzed. The relationship between the strength of the concrete materials in the pre-damaged concrete target was determined. Based on this, a semi-empirical model of projectile penetration of pre-damaged concrete was established by combining the aforementioned cavity expansion theory with the results of the preceding analysis. The impact of projectile and target parameters on the performance of secondary penetration of the projectile was then analyzed. The findings indicate that the impact of pre-damaged concrete on the depth of projectile penetration is contingent upon the discrepancy in crater volume and concrete damage. It can be posited that the damage to the target is the predominant influencing factor. When there is a finite-length damage zone within the concrete target and the diameter of the cavity of the target is between 0.3 and 0.5 time the diameter of the projectile, the effect is even less pronounced. When a finite-length damage zone exists within the target, the pre-damage cavity is 0.3-0.5 times the diameter of the projectile. In this instance, the gain in depth of penetration is most pronounced. In the event of penetrating damage to the target, a ratio of 0.3 between the diameter of the target tunnel and that of the projectile is observed. The difference in penetration depth between the pre-damaged target and the pre-drilled target is found to be greater, with a gradual increase in this difference as the ratio increases further. When the damage state of the target is certain, decreasing the projectile diameter or increasing the CRH of the ogive-nosed projectile is more advantageous to increase the depth of penetration.

The calculation method of explosion relief area for lithium-ion battery thermal runaway (LIBTR) environmental structures is still unclear. Using an 8L cylindrical explosion test device, five discharge diameters of 10.5mm, 15mm, 21.2mm, 30mm and 60mm were set to simulate the explosion relief law of LIBTR environmental structures. The results show that the explosion relief pressure Pred of the gas (BVG) released by thermal runaway of lithium-ion batteries is higher than the Pred of the BVG-graphite powder mixture, and the influence of solid particles ejected by thermal runaway can be ignored; Pred decays exponentially with the increase of the discharge diameter and grows logarithmically with the opening pressure Pstat of the explosion relief device; combined with the specifications, the calculation formula for the explosion relief area of lithium-ion battery structures is obtained, and the commonly used pressure relief ratio C is given as 0.11. The research results provide a reference for the explosion relief of lithium battery environmental constructure.

With the rapid development of hypervelocity weapons, analyzing the penetration effectiveness of hypervelocity weapon warheads on concrete shield is significant for the design of newly-built protective structures and the safety evaluation of as-built protective structures. Focusing on the penetration performance of AGM-183A hypervelocity weapon warhead against three typical shields: normal strength concrete (NSC), ultra-high performance concrete (UHPC) and corundum rubble concrete (CRC), firstly, the reliability of the numerical algorithms, mesh size and material model parameters used in the finite element analysis method was fully validated by comparing the experimental and simulation results of three types of target subjected to penetration of steel/tungsten alloy projectiles. Subsequently, a numerical analysis method for prototype scenario was established based on a mesh transition strategy equivalent to penetration depth and recovered projectile length. Finally, a series of simulations were conducted for the AGM-183A hypervelocity weapon warhead penetrating aforementioned three shields at velocities ranging from 3 to 8 Ma. The results indicate that: (1) the AGM-183A hypervelocity weapon warhead reaches maximum penetration depth when NSC, UHPC and CRC shields subjected to penetration at velocities of 4 Ma, 4 Ma and 3 Ma, respectively, with depths of 4.26 m, 3.74 m and 1 m. Due to instability phenomena of projectiles, such as fractures at the junction between the head and body caused by local stress concentration, further increases in penetration velocity lead to a decrease in penetration effectiveness; (2) compared with the combined penetration and explosion damage depths of conventional sound speed penetrating warheads SDB, WDU-43/B and BLU-109/B, the penetration depths induced by AGM-183A into NSC, UHPC and CRC shields are 3.2, 1.6 and 1.8 times, 4.7, 2.1 and 2.2 times, and 3.4, 1.3 and 1.5 times higher, respectively; (3) the recommended design thicknesses of the three shields against the AGM-183A hypervelocity weapon warhead are 8.01 m, 7.03 m and 1.88 m, respectively. The UHPC shield shows no significant improvement subjected to hypervelocity penetration compared with the NSC shield. Comparatively, the CRC shield is recommended for shield design, which can be effectively subjected to both conventional subsonic and hypervelocity impacts.

In this study, it is proposed to combine the negative Poisson's ratio structure with ultra-high toughness cementitious composites (UHTCC) to improve the explosion resistance of the blast wall. And through a combination of the explosion experiment and numerical simulation, the anti-explosive property of the negative Poisson's ratio slab has been studied, in order to prove the superiority of the anti-explosive properties of the negative Poisson's ratio UHTCC slab. Firstly, the negative Poisson's ratio structure was constructed by using concrete 3D printing technology, and the finite element model is verified by the results of the contact explosion test. On this basis, the finite element model is used to simulate and analyze the effects of different materials of slabs, different structures of slabs, different cell concave angles and different solid layer thickness ratios on the structural damage patterns and the ability of energy absorption under contact explosion. The results show that: (1) Due to the high toughness, explosion resistance of UHTCC slabs is significantly better than the concrete slabs.The UHTCC slabs all remained intact and the concrete target slabs were all penetrated. (2) Negative Poisson's ratio slab has the best ability to absorb energy during three kinds of structures, while the solid slab is more able to maintain the structural integrity. (3) When the negative Poisson's ratio of the cell concave angle is 61° , the structure has optimal explosion resistance, and smaller and larger angle both reduce the explosion resistance of structure. (4) When the thickness of the negative Poisson's ratio structure is too large as a proportion of the total thickness, the slab is severely damaged. Increasing the solid layer thickness of the backburst surface of the slab or increasing the solid layer thickness of the explosion-facing surface and the backburst surface at the same time is conducive to weakening of the blast shock wave and improving structural integrity. This study confirmed the superiority of the explosion resistance of negative Poisson's ratio UHTCC slab, and provides a theoretical basis for the design of blast walls based on negative Poisson's ratio structure.

In order to study the anti-explosion performance of a single-room reinforced concrete building under internal explosion loads, a full-scale reinforced concrete single-room building, whose dimensions were 4m×4m×3m, was designed and constructed. For the internal explosion test, 3kg TNT was placed in the geometric center of the room. Sensors were installed at the center of the shear wall and roof to record data and analyze the damage characteristics of the single-room structure. In addition, an anti-explosion numerical model of the reinforced concrete single-room structure was established and verified using the LS-DYNA software. The weight of the explosives in the numerical model was changed to study the damage process and shock wave propagation law of the single-room building. Based on the experimental and simulation results, the damage modes of the single room structure were categorized by the dimensionless weighted parameter Dr, and relevant empirical formulas were obtained through data fitting. The results show that when 3kg TNT explodes in the geometric center of the room structure, the single-room structure exhibits roof bulging, with long cracks appearing along the roof edges. However, the whole structure does not collapse; Under the internal explosion condition, the local damage characteristics of reinforced concrete buildings are not only closely related to the explosive yield, but also significantly affected by the design of structural connection nodes and structural details; Due to the delayed dynamic response of reinforced concrete, the next shock wave has acted on the building before the last shock wave has reacted obviously, which subjects it to multiple impacts within a very short time; By varying the charge weight, five damage-aggravating modes (Model I to Model V) were identified. The five damage modes were quantitatively defined using the weighted parameter Dr, and a function curve relating it to the explosive equivalent was fitted. These research findings can provide a reference for damage assessment of shear wall-structured rooms.

Supercritical CO2 phase transition rock-breaking is a dynamic destruction process under the combined action of shock waves and high-pressure gas. To deeply investigate the rock-breaking mechanisms of supercritical CO2 phase transition under multi-hole synchronous initiation and in-situ stress coupling conditions, targeting the actual working conditions of CO2 field rock-breaking, the initial rock-breaking pressure of a single hole was analyzed based on the thin-walled cylinder theory. A predictive model for the joint rock-breaking radius of multi-hole shock waves and high-pressure gas under in-situ stress was developed by integrating the one-dimensional detonation gas expansion theory. Field experiments on multi-hole CO2 phase transition rock-breaking were subsequently conducted for comparative validation. The results show that when the fracturing pipe is buried shallowly, the influence of in-situ stress on the stress distribution of the rock mass is relatively weak. When the pressure of a single hole is consistent, the more fracturing holes there are, the greater the superposed peak stress of each hole. In the direction perpendicular to the layout of the test hole, the peak stress of each hole shows a U-shaped parabolic distribution. The superposed stress of the fracturing holes at both ends is the largest. In the direction parallel to the layout of the test hole, the peak stress of each hole shows an inverted U-shaped parabolic distribution, and the superposed stress of the middle fracturing hole is the largest. In addition, the rock mass damage and fracture range under multi-pore impact obtained by acoustic wave testing in the field is in the shape of a three-dimensional funnel. The vertical damage and fracture range is between 5.05 and 5.73 m, and the planar damage and fracture range is between 4.3 and 5.6 m. The error between the measured value of the planar damage and fracture range and the theoretical calculated value is between 5% and 18.7%. The calculation error mainly comes from the uneven superposition stress of each fracturing hole. Further analysis shows that the radius of supercritical CO2 phase transition rock-breaking increases semi-parabolically with the superposed stress of the fracturing hole and increases logarithmically with the depth of the fracturing hole. As the compressive strength of the rock mass increases, the rock fracture toughness increases nearly linearly, and the corresponding rock-breaking radius decreases nearly linearly. The research results can provide a quantitative design basis for the optimization of engineering parameters in multi-pore supercritical CO2 phase transition rock-breaking.

Reinforced concrete (RC) shed serves as an effective in-situ solution for rockfall protection along mountainous highways and railways. Using the commercial software LS-DYNA, refined numerical simulations were conducted to investigate the damage and failure assessment of a prototype framed T-beam type RC shed under rockfall impact. The simulations considered scenarios both with and without cushions, including 600 mm and 1200 mm sand cushions, as well as 1200 mm sand-expandable polyethylene (EPE) composite cushion. Firstly, a refined finite element model of a prototype framed T-beam type RC shed located on the Shanghai-Kunming railway under rockfall impact was developed, of which the rockfall masses ranging from 1 t to 30 t and impact velocities ranging from 10 m/s to 57 m/s. Secondly, by comparing with the results of existing impact tests on bare RC slab, as well as RC slabs with sand and EPE cushions, i.e., impact force-time history of the drop hammer, acceleration and penetration depth-time histories of the rockfall, as well as reaction force and deflection-time histories of the RC slabs, the accuracy and reliability of the adopted material constitutive model, mesh size, contact algorithm, and corresponding parameters were validated. Furthermore, the damage patterns and dynamic responses of the prototype shed without cushion, with sand cushion, and with sand-EPE composite cushion were compared and analyzed. Finally, taking the maximum penetration depth of the rockfall reaching the total thickness of the roof slab and cushion as the failure threshold of the shed, the corresponding relationship between the rockfall mass and the critical impact velocity was established, which enabled rapid assessment of protective performance of sheds. It indicates that: (1) Under the impact of a 15 t rockfall at velocities of 10 m/s and 25 m/s, the damage to the shed without cushion is primarily concentrated in the impact area of the roof slab. On average, the use of sand cushion and sand-EPE composite cushion reduces the peak impact force by 92.8% and 91.6%, respectively. The maximum deflections, ranging from 2 mm to 20 mm, indicate only slight damage to other flexural components of the shed; (2) At impact velocity of 10 m/s, the sand-EPE composite cushion exhibits superior buffering and energy dissipation performance compared to the sand cushion. However, with impact velocity increasing to 25 m/s, the EPE in the composite cushion is rapidly compacted, leading to a diminished protective effect. In this scenario, the impact force and energy transferred to the roof slab with the composite cushion are 89.3% and 37.8% higher than those with the sand cushion, respectively; (3) The critical impact velocity of rockfall corresponding to the failure damage of the shed follows an exponential decay trend as the rockfall mass increases. The application of cushions can increase the critical impact velocity by 52% to 155%, significantly improving the protective performance of the shed.

During the underwater multiple projectiles launch process, the projectiles operate in a complex and dynamic flow field environment. The trajectory deflection of projectile is influenced not only by initial conditions such as velocity and crossflow but also by mutual interference effects among multiple projectiles. To investigate the cavitation evolution and trajectory interference characteristics in multiple projectiles underwater launch, this study establishes a numerical simulation model based on the overlapping grid technique and finite volume method, coupled with a six-degree-of-freedom (6-DOF) motion model. The influence mechanisms of spatial arrangement mode, launch velocity, and crossflow on trajectory deflection are systematically analyzed. The results demonstrate that: (1) The spatial arrangement has a minor impact on trajectory deflection and an equilateral triangular configuration can be adopted in practical applications to optimize launch space utilization; (2) As the launch velocity increases, the wake interference between projectiles intensifies, leading to significant flow field disturbances and stronger mutual trajectory interference; (3) Higher crossflow velocities exacerbate asymmetric cavitation development near the projectile shoulders, and when the crossflow exceeds 0.75m/s, it becomes the dominant factor in trajectory deflection. These research findings provide a theoretical basis for trajectory prediction and layout optimization in multiple projectiles underwater launch.

The quasi-static pressure thermodynamic model for confined explosions provides an effective characterization of pressure evolution with mass-to-volume ratio m/V while enabling the derivation of critical parameters, including adiabatic index through moles of product and quasi-static temperature. However, the thermodynamic model based on detonation and combustion equations that neglects reaction equilibrium demonstrates growing deviations from the quasi-static pressure curve in UFC 3-340-02 blast-resistant design standard after carbon precipitates in detonation products, and existing research inadequately addresses the necessity of incorporating reaction equilibrium for various physical quantities in Trinitrotoluene (TNT) confined explosion thermodynamic models. To investigate the impact of reaction equilibrium on thermodynamic model results, the model neglecting reaction equilibrium was first modified based on the energy conservation equation of isochoric processes and the solid carbon precipitation phenomenon, which improves the model's consistency with the UFC curve when m/V≥0.371 kg/m3. Then, a comparative analysis was conducted on the results of thermodynamic models considering and not considering the reaction equilibrium based on the unified solution framework. The two thermodynamic models were solved within the range of 0.01 kg/m3≤m/V≤10 kg/m3 by using Newton's method and back propagation algorithm. The results indicate that while reaction equilibrium consideration induces less than 20% variation in quasi-static pressure predictions, it alters critical thresholds: the m/V for carbon precipitation shifts from 0.371 to 3.850 kg/m3, and peak temperature transitions from 0.371 to 0.680 kg/m3. Significant divergence in mole numbers of product composition emerges progressively when m/V exceeds 0.1 kg/m3. Therefore, the reaction equilibrium-based thermodynamic model is a more rational choice for calculating quantities related to components and temperature in TNT confined explosions with m/V>0.1 kg/m3. Finally, a simplified approach employing symbolic regression was developed for calculating moles of products, temperature, and pressure during the quasi-static phase of TNT confined explosions and shows high alignment with thermodynamic model results. The research contributes to a theoretical understanding of equilibrium effects on thermodynamic model results and the practical implementation of rapid parameter estimation in TNT confined explosion scenarios.

In order to study the influence of constraint conditions on the reaction characteristics of CL-20-based PBX explosive after non-impact ignition, a variable constraint ignition test device was designed. Combined with high-speed camera and pressure sensor, the reaction intensity, reaction pressure growth and air shock wave overpressure of CL-20-based PBX explosive under different constraints were analyzed. Furthermore, the relationship between the constraint conditions and the reactivity of explosive charge is analyzed by comparing with the peak value of complete detonation air overpressure. The results show that the non-impact ignition reaction process of CL-20-based PBX explosive under constraint conditions is divided into two stages : slow growth of reaction pressure and rapid growth of reaction pressure. With the increase of constraint strength, the distinction between the two reaction stages is gradually not obvious. The constraint conditions have a significant effect on the reactivity of explosive charge. When the shell thickness is 6mm and the strength of bursting disc is 2MPa and 50MPa, the reactivity of explosive is 0.11 and 0.14 respectively. When the shell thickness is 20 mm and the bursting strength is 2 MPa, the charge reactivity is 0.31. It can be seen that the reaction intensity of CL-20-based PBX explosive can be effectively reduced by weakening the mechanical constraint strength.

Prestressed reinforced concrete (RC) T-beam bridges are more common in highway bridges, the bridge deck damage after the explosion attack is mostly in the form of a breach and affects its ability to pass, but the existing bridge explosion damage assessment studies are mainly concerned about the RC beam bridge piers and columns and the main girder of the post-blast residual bearing capacity, the lack of a more intuitive and rapid judgement of the bridge ability to assess the damage assessment method. In this regard, this paper to pre-stressed RC T-beam bridge deck plate by the explosion load after the breach size as a damage indicator, based on numerical simulation and multivariate nonlinear regression analysis to carry out rapid assessment of bridge deck damage research. The results show that: by comparing the transverse dimensions of the breach in the bridge deck under the action of the explosion, it is found that the influence of concrete strength is relatively small, while the explosion location, deck thickness, spacing of diaphragms, TNT equivalent and proportional blast distance and other parameters have a greater impact; due to the web and diaphragms have a strong enhancement and constraint effect on the bridge deck, under the same conditions, the transverse dimensions of the breach produced by the explosion on top of the deck between the web and the diaphragms are significantly smaller than those directly above the web and the diaphragms. Size is significantly smaller than that produced by the explosion directly above the web, the damage degree of the explosion on the bridge is significantly smaller than that of the explosion under the bridge. Further, based on the above parameters that have a greater impact, it is proposed to use the transverse dimensions of the breach as a damage indicator, the establishment of a rapid damage assessment formula for predicting the capacity of the bridge after the explosion.

Small sample size and unavoidable uncertainty seriously hinders the research of detonation experiments with multi-physical attributes. Probability learning on manifold (PLoM) involves diffusion map and Ito projection sampling, which can generate sufficient dataset satisfying the detonation physical mechanism. And uncertainty quantification of experiment can be fulfilled through PLoM. To begin with, scale transformation is implemented on the experimental data with multi-physical asset of insensitive high explosive PBX 9502. The training set is then obtained through the normalization of the scale matrix by means of principal component analysis. To make it further, an altered high-dimensional Gaussian kernel density estimation is utilized to derive the probability measure of the random matrix associated with the training dataset. Meanwhile, diffusion map is used to deduce the nonlinear manifold based on the training dataset. Sampling on the manifold is fulfilled through Itô-MCMC generator defined by a dissipative Hamilton system driven by the Wiener process. At last, the learning set is obtained via inverse transformation. The result shows that the Gaussian statistics obtained from random numbers generated from PLoM coincide with the statistical information of density of PBX 9502 calibrated by Los Alamos National Laboratory (LANL) and Prof. Chengwei Sun. Furthermore, the double logarithm model related to the distance to detonation and initial impact stress is constructed through the data generated. It also holds for the relationship between the time of detonation and initial shock stress. Fitting precision of the curve is almost equivalent to the accuracy of LANL, however the cost is negligible. More accurate digital test result is obtained through the learning and processing of existing experimental data via PLoM. PLoM is general enough to extend to detonation experiment of other type of explosives.

The response of plate structures under multiple explosive loads has important engineering significance. Currently, there are many experimental and numerical studies on this issue, but research based on theoretical methods is still lacking. This article focuses on the theoretical model of displacement response of a circular plate under multiple explosive loads. The energy equation based on membrane theory is used to describe the motion of the circular plate. Multiple explosive loads are simplified into multiple linear decay pulses. The displacement field caused by the first loading is approximated by a linear function, and the displacement field after the second loading is approximated by a quadratic function. The effects of strain rate strengthening and multiple loading hardening on material flow stress are considered, and the theoretical solution of displacement response of the circular plate under multiple explosive loads is given. Simulations of dynamic response of the circular plate under two and three explosive loads are conducted by LS-Dyna. It is found that the error between the theoretical and numerical values of the midpoint displacement of the circular plate is mainly of the rage 20% -30% for the two explosive load conditions, and below 20% for the three explosive load conditions. Theoretical formulas indicate that the midpoint displacement of a circular plate under multiple explosive loads can be expressed as a function of the displacement caused solely by the last loading and the cumulative displacement of previous loads, which is the square root of the weighted sum of squares of the two, and the weighting coefficient depends on the form of the assumed displacement field. The displacement increment caused by the subsequent loading is smaller than the displacement caused by it alone, and the magnitude of this increment is related to the cumulative displacement of the previous loadings. The larger the cumulative displacement of the previous loadings, the smaller the displacement increment caused by the subsequent loading.

Accurate prediction of building explosion power field is very important for damage assessment and anti-explosion design of engineering structures. The prediction accuracy of traditional empirical formulas is often limited due to the failure to fully consider the complexity of environmental factors. Numerical simulation can provide more accurate overpressure load parameters, but it is inefficient in dealing with large-scale urban scenes and difficult to meet the needs of rapid damage assessment. In order to solve this problem, this paper innovatively constructs a prediction model of explosion power field based on graph neural network ( GNN ), which aims to directly use the geometric characteristics of buildings to achieve rapid and accurate prediction of three-dimensional physical fields such as explosion peak overpressure, peak impulse and shock wave arrival time on their surfaces. By comparing with the numerical simulation results, the model shows excellent prediction performance : the mean square error of the prediction of the surface overpressure parameters of the single building with different geometric structures is0.97 % ; The average prediction error of the surface overpressure parameters of complex geometric buildings and building communities is 3.17 %. When applied to actual urban areas, the average prediction error is 1.29 % ; the single prediction of the physical field takes no more than 0.6 seconds, which is 3 to 4 orders of magnitude faster than the numerical simulation. The high-precision prediction based on the model can not only reconstruct the overpressure time history curve at any position on the building surface, but also accurately evaluate the damage degree of the structure. The GNN model proposed in this paper provides a new method for rapid and accurate prediction of the explosion power field of urban buildings in explosion scenarios, which can greatly improve the explosion damage assessment and anti-explosion design capabilities of ultra-large-scale complex scene engineering buildings, and has great engineering value.

The common scientific foundation in the process of resource exploitation and utilization is deep rock mechanics theory. Accurately understanding the dynamic mechanical properties of deep rocks not only provides insights into the geological processes and evolution of Earth's interior, but also offers a theoretical basis for the effective extraction of deep minerals and energy. In this study, the dynamic mechanical behavior of white sandstone from a coal mine was experimentally and numerically analyzed under uniaxial, biaxial, and triaxial stress conditions. A comparative analysis was conducted using numerical simulations based on three representative constitutive models (the Riedel-Hiermaier-Thoma (RHT) model, the Holmquist-Johnson-Cook (HJC) model, and the Clay-Structure-Coupling Model (CSCM)). These simulations were validated by experimental results obtained from three-dimensional Hopkinson bar tests. The results indicate that the shear failure damage of white sandstone specimens decreases with the increasing prestress, and the damage under triaxial stress conditions is significantly lower than that under uniaxial and biaxial conditions. Among the three models, the RHT constitutive model demonstrates the closest agreement with the experimental results in terms of stress waveforms, peak stress, peak strain, and damage degree. Compared to the experimental data, the RHT model exhibits a stress peak deviation rate of 3.5% and 13.6% for the reflected wave under uniaxial and biaxial conditions, respectively, while the stress peak deviation rate for the transmitted wave is the lowest. Additionally, the peak stress and strain values predicted by the RHT model are numerically closer to the experimental results. The damage state predicted by the RHT model also aligns well with the experimental observations: under uniaxial loading, the damage exhibits a U-shaped pattern, which the HJC model shows a larger V-shaped damage pattern and fracture, and the CSCM model only displays surface damage with a smaller affected area. In terms of energy absorption and dissipation, the simulation results based on the three constitutive models shows minimal differences. The incident, reflected, and transmitted energy values are nearly identical across all three models.

To investigate the propagation characteristics of blast shock waves and thermal effects of fireballs in tunnel explosions involving thermobaric explosives, numerical simulations were conducted using OpenFOAM. The simulation accuracy was validated through comparative analysis with experimental data from tunnel explosion tests. The effects of axial distance along the tunnel and explosive mass on shock wave propagation characteristics and fireball thermal effects were systematically studied. The results demonstrated that under identical charge mass conditions, when the axial distance exceeds 1/3 times the equivalent tunnel diameter, the attenuation law of shock wave overpressure peak and planar wave formation distance remain independent of axial position. After planar wave formation, the impulse initially increases with axial distance before stabilizing. At equivalent axial distances, the planar wave formation distance increases with explosive mass. Post planar wave formation, the attenuation pattern of the shock wave overpressure peak remains unaffected by charge mass, while the impulse exhibits a growth trend proportional to the increase in charge mass. Under the influence of the tunnel portal energy dissipation effect (tunnel effect), explosion-induced fireballs exhibit a consistent propagation tendency toward the proximal tunnel portal. The confinement imposed by tunnel walls restricts the lateral expansion of the fireball perpendicular to the tunnel axis, while facilitating the formation of a high-temperature tip along the longitudinal axis. Especially, the temperature distribution along the tunnel axis maintains axial symmetry despite directional propagation biases. A fitting formula was established to characterize the relationship between the maximum axial propagation distance of explosion fireballs at different temperatures and the explosive mass, enabling the prediction of axial spread limits for fireballs at specific temperatures in typical thermobaric explosive detonations within tunnel-confined environments.

In order to select the shaped charge structure suitable for large-distance non-contact penetration damage in water, three typical shaped charge structures, explosively formed projectile ( EFP ), jetting projectile charge ( JPC ) and shaped charge jet ( JET ), were selected. The velocity tests of different penetrators before entering water, before hitting the target and after penetrating the target were carried out, and the penetration tests of double-layer spaced targets in water were carried out.Firstly, a comparative test of penetration of three kinds of shaped charge in air was carried out to verify the rationality of the structure of shaped charge. The air explosion height of 35 cm was selected to meet the requirements of penetration of the three kinds of shaped charge. At the same time, the velocity of the three kinds of shaped charge before penetrating into water was measured, which provides the basis for underwater penetration test. Secondly, the penetration test of three kinds of shaped charge on underwater double-layer spacer target was carried out when the air height was 35 cm and the length of water medium in front of the target was 20 cm, 45 cm and 100 cm. The reflected pressure curves of shaped charge penetration in water were measured by wall pressure sensor and PVDF sensor respectively. The velocity of the penetrator at the time of water entry, before the target and after the target is measured by the double-layer on-off net target. Through the damage effect of the double-layer interval target plate, the damage performance of the three shaped charge structures to the water medium in front of the near, middle and far targets is obtained.Based on the projectile-target structure used in the experiment, a two-dimensional finite element model of shaped charge penetrating into a double-layer spaced target in water was established by using ANSYS / LS-DYNA finite element software. The measured velocity values of the shaped charge penetrator before entering the water, before hitting the target and after passing through the target were compared with the numerical simulation values to verify the accuracy of the model. The error rate is about 3 %. Based on the verified finite element model, the time series characteristics of the underwater damage element of the shaped charge, the peak characteristics of the forward shock wave in the water, the variation law of the penetration velocity in the water, and the penetration performance of the shaped charge against the double-layer spacer target in the water were studied.The results show that the forward shock wave reaches the target plate before the penetrator when the three shaped charge penetrates the water spaced target plate. As the length of the water medium increases, the peak pressure of the forward shock wave at the front target plate decreases linearly, and the peak pressure of the forward shock wave at the rear target plate decreases nonlinearly. The velocities of EFP, JPC and JET decrease nonlinearly with the increase of water medium, and the velocity in front of JET target is about twice that of JPC. When the length of the water medium in front of the target is not more than 25 cm, the maximum perforation diameter formed by EFP on the front target plate reaches 5 cm, which is 1.3 times that of JPC perforation diameter and 3 times that of JET perforation diameter. When the length of water medium in front of the target is 0~100 cm, both JPC and JET have good penetration effect on the double-layer spacer target, and the penetration performance of JPC is better than that of JET. Therefore, it can be concluded that both JPC and JET can meet the design requirements of shaped charge structure for non-contact penetration damage at large distance in water.

In view of the explosion response test in the cabin of warship structure, the marine special steel is expensive, which greatly increases the test cost, so the study on the equivalence of ordinary steel instead of special steel in the cabin explosion response test is carried out. In order to determine the equivalent relationship between targets with different materials, based on the principle of similarity of deformation at the central point of target structure, and considering that the target is not broken, the method of equivalent replacement of target materials is proposed by using the method of dimensional analysis. The finite element analysis software ATUODYN is used to simulate the process of explosion load acting on four different types of steel target plates of 921A steel, 907A steel, Q235 steel and Q355 steel in the closed space. the maximum error between the calculated results and the test results is 5.6%. The correctness of the numerical simulation method is verified. Through the fitting of the equivalent plate thickness obtained by numerical simulation, combined with the empirical formula between the equivalent plate thickness and dynamic yield strength of target plates of different materials, it is verified that the equivalent method of different types of steel target plates under the explosion load in the cabin has rationality and good applicability. It provides a theoretical basis and data reference for the cabin explosion test with ordinary marine steel instead of marine special steel.

Two kinds of structural projectiles of different materials were designed in this paper, and an experimental study of 11kg projectiles penetrating the reinforced concrete target at 1400m/s was carried out by a 203mm Davis gun. Based on the experimental results, the structural response, penetration ability and related engineering issues of the projectile are discussed. The results show that when the reinforced concrete target is penetrated at a velocity of 1400 m/s, the heads of projectiles made from two different materials experienced erosion and developed a mushrooming effect. This was caused by high temperatures resulting from friction between the projectile and the concrete during penetration, which significantly softened the projectile's surface. Furthermore, the contact pressure between the two exceeded the yield strength of the projectile's surface, causing the shell material to enter a state of plastic flow, ultimately leading to the erosion and mushrooming of the projectile head. Additionally, the surface material of the shell was stripped from the projectile due to the cutting action of the hard aggregates in the concrete, resulting in severe abrasion of the projectile body. When comparing the structural responses of projectiles made from different materials, it was evident that material properties influenced their behavior. Compared to 30CrMnSiNi2MoVE, DT1900—known for its higher strength, hardness, and better resistance to impact compression—showed less erosion at the projectile head. However, its inferior shear resistance and wear resistance led to more severe abrasion on the projectile body. The mass loss patterns under high-speed penetration for conical structure projectiles differed from those of solid long-rod projectiles, with mass loss primarily concentrated in the projectile body. The conical flared tail design, while suppressing ballistic deflection, increased the contact area between the projectile body and the target, enhancing the abrasive and cutting actions of aggregates and steel. Moreover, under high-speed penetration conditions, the erosion and mushrooming of the projectile head could reduce the penetration depth to some extent; the less erosion at the head, the greater the penetration depth. In experiments, the maximum penetration depth of DT1900 projectiles could reach up to nine times the length of the projectile.

To study the loading characteristics of shock wave along the water surface in near-surface explosion scenarios, explosion tests were carried out with three typical scaled height of burst . The explosion tests were contact burst (H_ = 0), near-surface blast (H_ ≈ 0.2m /kg1/3) and air blast (H_ ≈ 0.6m /kg1/3). In the experiment, 100 g, 200 g and 400 g TNT/RDX(40/60) explosives were used, and the shock wave overpressure and high-speed photographic images of the explosion were measured. Meanwhile, numerical simulation method is used to simulate the experiment. Based on the experimental and numerical simulation results, the explosion phenomena and the characteristics of shock wave loading on water surface were studied. The results show that there are significant differences in the explosion phenomena of contact burst, near-surface blast, and air blast. In contact burst, the detonation products directly drive the water surface to form a hemispherical cavity, and the water on the edge of the cavity is squeezed upwards to form a hollow water column. In near-surface blast, the collision of the detonation products with the water surface is relatively weak, and the shock wave on the water surface mainly propagates outwards as Mach waves along the water surface. In air blast, there are obvious regular and irregular reflection zones of the shock wave on the water surface. The shock wave overpressure on water surface of contact burst is lower than that of near-surface blast, therefore, the water surface cannot be considered as a rigid plane in contact burst. The underwater shock wave pressure of contact burst is higher than that of near-surface blast. The formulas of overpressure and positive pressure duration of shock wave on water surface within the range of 0.5~4.0 m/kg1/3 in contact burst and near-surface blast were obtained through data fitting, which can provide reference for shock wave loading calculation and analysis.

It is of great significance to develop an engineering model based on the physical mechanism of non-shock initiation reaction of structural charge, which can be used to describe the reaction evolution process and quantify the reaction intensity for evaluating the weapons and ammunition safety. Currently, some models describing the charge reaction evolution were one-dimensional pressurization of burning crack and charge burning crack network, but these models had many assumptions, and some restrictive problems, such as non-considering of the cavity expansion volume, and the unclear burning crack propagation coefficient. Therefore, a constrained charge combustion reaction evolution model was established with fracture toughness and reaction pressure as the main parameters based on the main control mechanism of charge reaction crack propagation in this study, which can describe the combustion gaseous product pressurization and shell constraint strength during combustion evolution. Relevant details for the control model establishment process were given. The model reliability of confined charge reaction combustion evolution was verified via the experiments of PBX-3 (87% HMX) explosive combustion reaction evolution under mass inertial confinement. The mass velocity-time was recorded by PDV (Photonic Doppler Velocimetry) transducers, the pressure-time profiles was recorded via pressure transducers and the experimental process was captured via high-speed camera. Above experimental results were compared with calculated results from the control model proposed in this work. The results show that the reaction pressurization process calculated via the model is roughly consistent with the pressure increasing trend in the experiment (calculated by the mass velocity), and the control model considering the structural venting effect can reflect the competition mechanism between combustion gas pressurization and venting in the pressure increasing process, and the relationship between the pressure increasing trend and the vent coefficient is in line with the mechanism analysis expectation. The results can provide support for deepening the understanding of accidental explosives combustion reaction evolution mechanism.
Modeling powder is used to simulate the highly fragmented state of pressed explosives resulting from collisions, and the gap extrusion ignition behavior of PBX modeling powder is studied. Experiments were designed based on the way of projectile impact method. To ensure that no flow space exists except the designed gap, the surface of the sample was covered with cushion and coated with grease for sealing. The movement and reaction of molding powder squeezing into the gap were recorded by high-speed photography. By changing the ratio of gap area to sample cross-sectional area, the influence of compaction on ignition was studied. The results show that in the absence of grease seal, PBX molding powder undergoes particle crushing and compaction, and then the compacted molding powder is extruded from the clearance near the cushion, and ignition occurs in the extrusion process. The ignition position is at the interface between explosive and cushion. In the case of grease seal, PBX molding powder does not ignite for a period of time after compaction. When the indenter moves halfway, a “wedge-shaped” slip zone is formed, and a slip-dead zone interface could be seen in high-speed camera photos. Then the deformation mode evolves from “single wedge” slip zone to “double wedge” slip zone, and the shear effect of slip-dead zone interface does not cause ignition. At the later stage of loading, the indenter travels close to the gap surface, and the “wedge-shaped” slip zone disappears. Before and after the collision between the indenter and the gap, the explosive ignites once in each instance. The first ignition occurs at the entrance of the gap, and the second ignition occurs at the corner of the indenter. Compaction effect has an important influence on ignition behavior. After compaction, the threshold value of ignition speed is obviously reduced, with the impact speed required to cause ignition being merely 4.5 m/s.
In a reinforced concrete (RC) box structure, the dissipation of blast waves is restricted, and damage to the structure can be intensified due to multiple reflections. To thoroughly investigate the load characteristics and dynamic behavior of internal explosions in an RC box structure, the applicability of the finite element method was verified by replicating internal explosion tests on fully enclosed and semi-enclosed (with venting openings) RC box structures. Based on this, numerical simulations of internal explosions were conducted for the prototypical RC box structure and the type of terrorist bombing attacks specified by the Federal Emergency Management Agency (FEMA) under three explosion scenarios and four venting areas. The influence of venting area on the load characteristics at the inner surfaces and corners, the load distribution on the inner surfaces, and the time histories of displacement and velocity at the centers of the inner surfaces under internal explosion loads were explored. Additionally, a formula for calculating the total impulse of the structure’s inner surface was proposed, considering both the venting area and the spatial distribution of the impulse. The results show that the venting area has a negligible effect on the overpressure, while the impulse decreases exponentially with increasing venting area. The load distribution characteristics on the structure’s inner surface are significantly influenced by the structural dimensions, exhibiting an “indented” or “W” pattern. The maximum displacement at the centers of walls and slabs is reduced by about 50% as the venting coefficient changes from 0.457 to 1.220. Finally, based on the total impulse and maximum displacement response of each component under free-field explosion loads, a calculation method for the impulse and damage enhancement coefficient was proposed based on the venting area, effectively predicting the internal explosion load and the structure’s dynamic behavior at various venting coefficients.
The defective cracks were prefabricated on the wall of the notch holes by using PMMA material, which were parallel or vertical to the notch, and the distance from the defective cracks to the holes center was 2, 3, and 4 mm. The influence of notch hole wall defects on the crack propagation of notch blasting was investigated by using a digital dynamic caustic experimental system with numerical simulation. At the same time, TATP explosives were employed as a charge, which served to mitigate the effect of gun smoke on the dynamic caustic experimental system and to improve the experimental design. The results demonstrate that the reflection of the stress wave at parallel defects results in a downward shift in the direction of crack initiation at the notch, but the refraction of the stress wave at vertical defects has no effect on the direction of crack initiation. The presence of wall defects in the hole impedes the impact of stress waves and blast gases on the cracks at the notch, resulting in a reduction in the length, expansion rate, and strength factor values of the cracks, and the degree of inhibition is contingent upon the distance of the defects from the centre of the borehole. As the distance between the parallel defects and the centre of the borehole increases, the inhibition effect of the parallel defects on both sides of the notch cracks gradually decreases. the inhibition effect of vertical defects on the far side of the notch cracks gradually decreases, while the inhibition effect on the proximal side of the notch cracks gradually enhances. The left and right notch cracks of vertical defects are more significantly affected by the boundary reflected stress wave than those of parallel defects. The notch cracks on the left side do not exhibit a clear pattern, owing to the pre-existing reflected stress wave at the defects. In contrast, the notch cracks on the right side are substantially diminished by the boundary-reflected stress wave as the vertical defects move away from the center of the notch holes.
In order to address the needs of modern combat vehicles for both personnel protection and lightweight design, optimizing their blast-resistant structures is necessary. Due to the high cost of physical experiments, finite element simulation has been commonly used instead. However, simulations of explosion and vehicle responses require extensive computational resources and incur high computational costs, leading to limited data availability for the optimization of explosion-proof structures. Since structural optimization demands sufficient data support, larger amount of valid data can improve the accuracy of the surrogate model and the precision of the optimal solution, yielding better optimization results. To overcome these challenges, a data-driven optimization method for vehicle’s explosion-proof structures was proposed, integrating data augmentation and semi-supervised regression. To address the limitations of generative adversarial networks (GANs) in handling numerical data, an improved model, a Gaussian density estimation-Wasserstein generative adversarial network (GDE-WGAN), was developed by modifying both the generator and discriminator of the WGAN model, a variant of the GANs. The feasibility of the proposed method was demonstrated based on the principle of information gain. The data generated by the GDE-WGAN were incorporated into a self-training framework, where an adaptive confidence assessment mechanism dynamically adjusted the way that the semi-supervised support vector regression model utilizes the generated data. The feasibility and superiority of the method were validated by comparing the enhanced performance of the semi-supervised regression model using different numerical data expansion techniques. Finally, multi-objective optimization was performed to obtain the optimal solutions of the data-augmented semi-supervised regression model and the initial model, followed by verification and comparison with finite element simulation results. It shows that the GDE-WGAN significantly enhances the performance of the semi-supervised regression model, and the generated data exhibit greater randomness and diversity through the network structure of the GANs, which benefits semi-supervised learning. When handling semi-supervised regression for high-dimensional nonlinear numerical data, both global and local data distribution similarities play a crucial role. Furthermore, finite element simulations indicate that the improved model predicts results more accurately than the initial model and achieves superior optimization outcomes.
To explore the anti-penetration abilities of irregular structures made of high-strength alloy steel, a target enhanced with ultra-high-strength spherical structures (UHS-SS) was manufactured in this work. The UHS-SS is fabricated from ultra-high-strength steel (UHSS) and mechanically anchored to the target via threaded high-tensile rods, ensuring structural integrity under projectile penetration loading. A series of penetration tests at an impact velocity of 400 m/s was performed using a 125 mm diameter cannon. The yaw-induced projectile deflection was recorded at
Traumatic brain injury (TBI) is the neurological disorder with the highest incidence and prevalence, and poses a huge public health burden for the whole society. An in-depth study of the biomechanics of TBI can help to improve the effectiveness of head protection, develop rapid assessment techniques and take timely interventions, thus reducing the risk of injury deterioration. As a numerical analysis tool, the finite element head model (FEHM) is able to simulate the dynamic response of the head during impact, including the spatial and temporal distribution of stress-strain in brain tissues, and the change of intracranial pressure, which provides an important basis for understanding the mechanical mechanism of TBI. This paper summarizes in detail the current status and development of mainstream finite element models of the human head at home and abroad, traces the development of the models, summarises the characteristics of the models and introduces the research progress of TBI mechanisms based on finite element models. The summary and sorting out of related research will be helpful for the development of new FEHMs and provide theoretical guidance and technical support for the risk assessment of traumatic brain injury and the design of protective equipment.
Coal-to-hydrogen is an effective solution for the low-carbon transformation of coal energy. To address the explosion safety issues during coal-to-hydrogen transportation via the natural gas pipeline network, the effect of non-premixed CO2 injection on the explosion characteristics of hydrogen-doped natural gas was investigated. An experimental explosion platform was independently designed and constructed to actively release CO2 into the hydrogen-doped methane explosion via a high-pressure gas injection device. The CO2 injection was turned on earlier than ignition to create a non-premixed turbulent atmosphere. The volume of CO2 injection was controlled by injection pressure (0, 0.5, 0.75, and 1.00 MPa) and injection time (0, 60, 120, and 180 ms). The explosion flame propagation dynamics and pressure behavior under non-premixed CO2 injection were analyzed. Results showed that injection pressure and injection time significantly influence the premixed explosion process. The injection of non-premixed CO2 into the premixed explosion induces turbulence, causing flame wrinkling. Structural changes in wrinkled flames increase the flame surface area, leading to accelerated flame propagation and enhanced explosion intensity. For a given injected time (e.g., 0 or 120 ms), increasing the injection pressure introduces more CO2, which enhances localized turbulence and disturbance in the flame, leading to further flame acceleration and more severe explosion consequences. As the injection time increases, the maximum explosion pressure of different injection pressures increases and then decreases. CO2 injection in the explosion plays a competitive relationship between turbulence promotion and dilution effect, and there is a critical injection time. Excessive CO2 injection can enhance its dilution effect, weakening the CO2 injection on the explosion of turbulence perturbation ability, which reduces the explosion intensity. Moreover, a larger injection pressure has a smaller critical injection time. Meanwhile, the maximum explosion pressure at larger injection pressures has a higher sensitivity to changes in injection time. Injection pressure and injection time are the key parameters of CO2 injection affecting the explosion hazard of hydrogen-doped natural gas. The findings provide fundamental guidelines for the safety prevention and control strategy of hydrogen transportation in the natural gas pipeline network.
Iridium alloys have been extensively utilized as structural materials in specific high-temperature applications, attributed to their superior strength and ductility at elevated temperatures. To enhance the understanding of high-speed impacts at elevated temperatures, it is imperative to characterize the mechanical properties of iridium alloys, including their failure response under high strain rates and elevated temperatures. In this study, the conventional split Hopkinson tension bar technique was modified to evaluate the tensile behavior of an iridium alloy at high strain rates and elevated temperatures. A dynamic high-temperature tensile testing technique for thin and flat specimens was established based on the high current heating method. A fixture with a slot was employed, enabling the specimen shoulder to bear the load and transmit it to the gauge section of the specimen. An integrated high current heater equipped with a self-controlled system was utilized to heat the iridium alloy specimen and maintain the desired high-temperature conditions. To prevent unintended heating of the bars, a pair of hollow water-cooled pillow blocks were installed. Moreover, to mitigate rapid cooling of the specimen, the cold contact time was meticulously controlled to be less than 1 ms. To elucidate the dynamic high-temperature properties of the iridium alloy, tensile tests were conducted using this technique at a strain rate of 103 s−1 and at temperatures of room temperature, 600, 900, and
The pressure characteristics and structural deformation mechanism of aluminum honeycomb sandwich plates (AHSPs) under water-entry impact were investigated through experimental methods. A self-designed drop experimental platform in the water tank was established, and the water-entry impact experiments of AHSPs at different drop heights were carried out. Meanwhile, the deformation of the face sheets was measured by a 3D scanner, and the time history of water impact pressure at different measuring points was monitored. Furthermore, the repeatability of the experiment was verified. On this basis, the water impact load characteristics of AHSPs during the process of water entry were studied and compared with those of other structures in published papers. In addition, the deformation modes and permanent deflection characteristics of AHSPs were analyzed, and the fitting formulas of the permanent deflection of the face sheets and the compression of the core were proposed. Results show that the distribution of the water impact pressure on the front sheet of AHSPs is uneven. However, within the range of drop heights studied, the peak value of the water impact pressure is approximately linear with the drop height. Additionally, compared to the water entry of rigid plates, the peak value of the water impact pressure of AHSPs is smaller. Compared with the mass equivalent aluminum plates, the peak value of the water impact pressure of AHSPs is much smaller, while the pressure duration of AHSPs is longer. The deformation modes of the face sheets of AHSPs at different drop heights are almost the same. Besides, with the increase of the drop height, the permanent deflections of the front and back faces of AHSPs increase approximately in the form of a quadratic parabola with decreasing slope. Suffering from water entry impact loadings, the permanent deflections of the back sheet of AHSPs are smaller than those of the equivalent aluminum plates, indicating that the AHSPs have better impact resistance compared with the equivalent aluminum plates.
To investigate the explosive energy release of Zr-based reactive material (Zr-RM) casings and the ignition effect of fragments driven by the explosion on fuel, casings composed primarily of zirconium (Zr), copper (Cu), nickel (Ni), aluminum (Al), and ytterbium (Y) were fabricated using alloy melting and casting techniques. The casings mentioned above had an outer diameter of 40 mm, a height of 80 mm, and a wall thickness of 5 mm. For comparison of subsequent damage effects, steel casings made of 45 steel with the same dimensions and mass were also prepared. Both types of casings were filled with JH-2 explosive charges. The charged structures were placed on a polyvinyl chloride pipe stand 1.5 m above the ground, and a fuel box containing 2.5 L of gasoline was positioned 2.0 m away from the explosion center. During the explosion-driven tests, a high-speed camera was utilized to capture the formation and propagation of the explosion fireball, the shockwave, and the impact process of casing fragments on the fuel tank. The fireball duration, shockwave velocity, and fragment impact effects were measured and analyzed. Additionally, the ignition and destruction effects of the fragments on the fuel were observed and recorded. The experimental results demonstrate that, when compared to steel casings of equal mass, Zr-RM casings under explosion-driven conditions exhibit a longer duration of firelight and faster shockwave velocities. Specifically, the fireball duration of Zr-RM casings is approximately 25.80 times that of steel casings, and the shockwave velocity is roughly 1.17 times faster. Zr-RM casings exhibit an enhancement effect on air shockwaves under explosion-driven conditions. Fragments of different materials cause structural damage to fuel tanks, including perforation and plastic deformation. After piercing the fuel tank, the reactive material ignites the fuel inside, demonstrating the ability to ignite gasoline. On the contrary, steel casings of equal mass do not ignite the fuel within the tank. This research provides a reference for the application of Zr-RM casing warheads.
To explore the influence of the propellant bed accumulation distribution on the three-dimensional characteristics of initial pressure wave in the chamber during the internal ballistic process of a large-caliber modular charge gun, a three-dimensional gas-solid two-phase combustion dynamic model of the modular charge was established. Firstly, solid powder particles were treated as discrete phase. Based on Euler-Lagrange method, the motion law and accumulation distribution of propellant particles under different initial broken sizes of cartridge end caps were simulated. Then, the propellant particles were treated as continuous phase and the evolution of pressure distribution in the chamber after combustion of the powder bed with different accumulation distribution was numerically simulated using the Euler-Euler method. The results show that the characteristics of the three-dimensional flow field in the bore are affected by the difference of the initial fracture size of the cartridge end cap. When the initial breaking angle of the cartridge end cap increases from 0° to 120°, the difference of the propellant particles in the area near breech and the area near forcing cone decreases from 12.2% to 0.6% after the dispersion and settlement of the propellant particles. Additionally, the absolute value of the initial negative pressure difference between the breech and the forcing cone decreases from 1.62 MPa to 0.76 MPa. The start-up time of the bullet is extended from 2.82 ms to 2.94 ms, and the time required for the forcing cone pressure to reach its peak is increases from 4.04 ms to 4.20 ms. At the same time, complex three-dimensional pressure fluctuations were observed in the chamber. Before the bullet movement, the chamber pressure can be divided into four pressure evolution characteristics along the X-axis direction, presenting the pressure with no changing, gradually decreasing, first decreasing and then increasing, as well as gradually increasing. After the bullet movement, the chamber pressure consistently decreases along the X-axis direction. However, along the Y-axis direction, the pressure in the chamber remains essentially unchanged before and after the bullet movement. The pressure in the chamber can be also divided into four pressure evolution characteristics along the Z-axis direction, presenting basically maintaining a constant level, gradually decreasing, first decreasing and then increasing, first decreasing and then increasing and then decreasing. The research results have some reference value for the interior ballistic safety analysis of modular charge guns.
Study on gas deflagration-to-detonation transition (DDT) is of great significance for the research and development of industrial explosion prevention and detonation propulsion technology. Staggered array of obstacles is a typical obstacle layout that may be involved in the gas ignition and explosion scenario. Its existence usually significantly promotes the occurrence of DDT. In view of the lack of understanding of DDT in staggered array of obstacles, high-precision algorithm and dynamic adaptive grid were applied to solve the two-dimensional, fully compressible reactivity Navier-Stokes equations coupled with a calibrated chemical-diffusive model. Numerical investigation on the initiation process of DDT of premixed hydrogen and air in staggered array of square obstacles under different obstacle spacings was carried out. The results showed that decreasing obstacle spacing is beneficial to increase flame surface area in the early stage of flame acceleration and enhance compression of unburned gas by shock wave in the later stage, thus shortening DDT run-up time and distance. However, when the obstacle spacing is reduced to a threshold value, stuttering detonation occurs and the DDT run-up distance increases. The occurrence of DDT is mainly caused by the interaction between the flame and the shock wave reflected from the front wall of obstacle. The detonation partially decouples when it diffracts around an obstacle. Detonation re-initiation may be triggered when the decoupled detonation collides with a wall or with the shock wave or failure detonation wave from the other side of the obstacle. If the obstacle spacing is too small, the shock wave intensity decays significantly during detonation decoupling. This can easily lead to detonation failure. In addition, shock waves can be reflected off the staggered array of square obstacles in the vertical and parallel directions to the flame propagation direction, which help shock waves to act on the flame and unburned gas mixture. Therefore, DDT is more likely to be initiated in the staggered array of square obstacles than that of circular obstacles.
In military operations, industrial accidents and other explosive events, head injuries caused by blast shock waves have become one of the main injury forms of injury, but the injury mechanism and damage threshold have not been clarified yet. In this paper, numerical simulation is used to study the dynamic response process of the head under explosion load, and the effects of TNT charge, air and water media on the deformation, pressure and acceleration of the cranium and brain are analyzed. First, the air-head fluid-structure interaction model is established using Euler-Lagrangian coupling method. Based on the validation of its effectiveness, the dynamic response process of the head was analyzed in terms of pressure, acceleration and frequency of the prefrontal cranium and brain tissue. By setting the initial conditions and boundary conditions, the effects of frontal and the behind shock loadings of the blast wave on the head were simulated. It has been found that the head tissue vibrates at high frequencies, up to 7 kHz, when the blast wave strikes the head directly. The acceleration on the prefrontal cranium and brain tissue had a large value initially and become small in the late stage, while the intracranial pressure varied in a cyclical manner. In the underwater environment, there were high-frequency periodic overpressure fluctuations in the brain tissues of frontal, parietal and temporal lobes, in which peak overpressure of 3.64 MPa can be generated in the prefrontal cranium, which is well above the threshold of 235 kPa for severe brain injury. In water, brain tissue is subjected to 5 times the peak pressure, a 5 fold increase in acceleration and a 2 fold increase in frequency compared to those in air. The results of this research provide a new perspective for understanding the mechanism of damage to the human brain caused by blast shock waves, and an reference for the development of future protective measures.
A Closed-Space Model was constructed using steel plates to examine the influence of afterburning energy load generated by explosive detonation products on the damage characteristics of confined space. Additionally, the quasi-static pressure in the confined space was simplified by applying the energy conservation law. Relying on the adiabatic index of the mixture of detonation products and air, as well as the complete afterburning degree of detonation products, a simulation method for the afterburning effect was proposed. This method was used to calculate the afterburning energy of detonation products and determine the beginning and ending times of the afterburning effect. The numerical simulation of implosion damage in a confined space was carried out by this method. The implosion simulation considering the afterburning energy load was performed by employing two simulation methods: constant reaction rate and linearly increasing reaction rate. The results were compared with the implosion simulation results without considering the afterburning effect. The influence and degree of change of the afterburning effect on the implosion damage characteristics were analyzed. It is found that the afterburning effect with different reaction rates has a significant influence on the detonation damage characteristics, except for the temperature, in confined spaces. Moreover, the enhancement effect of the constant reaction rate is the most significant. It increased the velocity and acceleration loads under implosion in the confined space by 42.67% and 71.21%, respectively. The overpressure and quasi-static pressure were increased by 74.42% and 74.95%, respectively, and the kinetic energy was increased by approximately 212%. The proposed simulation method for the afterburning effect can better simulate the dynamic response of implosion ruin in confined spaces and provides a more accurate simulation method of the afterburning effect for the design and evaluation of explosion-proof structures.
Shock initiation and ignition techniques driven by electrically exploded metallic bridge foils with insulating flyers have been widely implemented in initiation and ignition system of weapon. To address the deficiency in existing research regarding the description of the flow field evolution during the motion of flyer and promote the development of this technology towards efficient energy utilization and miniaturization, a double-pulse laser schlieren transient observation system was constructed. This system enables the acquisition of density distributions of the flow field and the motion distance of the flyer at different time. Additionally, a two-dimensional axisymmetric fluid dynamics calculation model and calculation method for the motion process of flyer driven by the electric explosion of metal foil were established, and corresponding numerical simulation calculations were performed in consideration of the evolution laws of the flow field inside and outside the acceleration chamber under the effects of the motion of flyer, the compression of shock wave, and the expansion of high-temperature and high-pressure plasma. The phase transition of bridge foil from solid phase to plasma phase was described by phase transition fraction, the state of plasma with high temperature and pressure was described by the state equation of plasma which consider the changes in particle number and coulomb interaction between particles, and the motion of flyer was described by dynamic grid model. The calculated flow field density distribution closely matches the experimental results, and the maximum errors in flyer motion distance and velocity are 6.1% and 8.1%, respectively, validating the accuracy of the calculation model and calculation method. The research results indicate that when the capacitance is 0.33 μF and the initiation voltage is
The leakage of combustible gas could lead to serious explosion accidents, which could cause great damage to people’s lives and property. Explosion suppression technology can effectively reduce the consequences of the explosion accidents, which is an important part of combustible gas explosion safety protection technology. As the core component of explosion suppression device, the performance of the explosion suppressant can directly affect the reliability of explosion suppression system. The research results in the field of explosion suppression at home and abroad are focused on, and the explosion suppression powder and its inhibition mechanism are systematically summarized and analyzed. Based on the different compositions, the explosion suppressing powder is divided into one-component and compound materials. According to the difference of the suppressing mechanism, the one-component suppressing powder is divided into active powder and inert powder. Due to the synergetic effects of different substances, the development of the compound material is the research hotspot. In the literature review part, this paper follows the structure “General introduction of powder materials—Related experimental and theoretical research—Suppression mechanism summary”. The first part provides the general introduction of the material, including the origin, structure and property. The second part offers the summary of the related research result about the material. The third part focuses on the physical and chemical suppression mechanism of different material, which contributes to the deeper understanding of the suppression effect. Finally, the existing problems of the research at present is summarized and the development of the future research work is discussed. In addition, this article proposes to standardize the testing process, emphasizes the use of numerical simulation to guide the suppressing of material synthesis and reduce the blindness of research. The aim of this review is to provide scientific understanding and technical support for the development of high-efficiency explosion suppression technology.
During firing of a truck-mounted howitzer, the crew compartment structure deforms elastically due to the muzzle blast load, creating pressure disturbances in the internal flow field of cabin. The resulting overpressure causes a significant threat to personnel and equipment safety. To meet driving requirements, the crew compartment of the truck-mounted howitzer is suspended on the chassis frame via an elastic support structure. At the same time, the stiffness and damping of the support structure are important factors affecting the deformation response of the cabin structure under the impact of the muzzle blast load. Therefore, adjusting the support parameters to optimize the flow field environment inside the crew compartment demonstrates high practical utility. To investigate the effects of different cabin support conditions on the flow field overpressure inside the crew compartment of a truck-mounted howitzer, a foreign trade type of equipment was taken as the object. An entire path numerical model simulating the shock wave propagation from the cannon's muzzle to the interior of the cabin under extreme firing conditions was established. Systematic validation tests were conducted, capturing overpressure data in both the external and internal flow fields of the crew compartment, as well as the acceleration of the cabin structure. Based on the validated numerical model, simulations were performed to calculate the structural responses and internal flow field overpressures under eight different support conditions. The results indicate that while different areas within the cabin exhibit varying sensitivity to changes in support conditions, increasing the support stiffness leads to significant reductions in the peak acceleration and velocity of the cabin structure, as well as a decrease in the peak overpressure within the internal flow field. However, the presence of damping in the support structure significantly enhances the acceleration response of the cabin structure, yet it further diminishes its velocity response and lower the peak overpressure in the internal flow field of the crew compartment.
To enhance the damage efficiency of fluoropolymer-based reactive fragments and broaden their application range, a novel core-shell composite structure active fragment has been proposed. To improve the strength of the matrix material, carbon fiber was introduced via a wet mixing method. Under specific sintering conditions, two types of samples were prepared: PTFE/Al/CF tungsten powder and PTFE/Al/CF tungsten ball. The basic mechanical properties of these samples were tested. The addition of tungsten powder was found to increase the dynamic compressive strength of the composite. Penetration tests were conducted on 3 mm+3 mm+2 mm+2 mm multi-layer interval aluminum targets using both types of fragments. The experimental data were automatically processed using a Python-based program, yielding the perforation area, deformation volume, and reaction light intensity for each layer of the target plate. The damage characteristics of the multi-interval target under different velocity and constraint conditions were compared and analyzed. The results show that the core-shell type fragment exhibits superior penetration ability. It can penetrate all four layers of the target plates at low speeds, although the perforation area is relatively small, with a perforation diameter approximately 0.95 times the fragment diameter. In contrast, the homogeneous fragment has a larger perforation area but weaker penetration ability. Its perforation diameter is about 1.21 times the fragment diameter, and it can only penetrate three layers of target plates at high speeds. The steel shell constraint significantly enhances the punching and penetration capabilities of the fragments. The primary active reaction of the fragment occurs during impact with the second layer of the target. The energy release reaction has a limited effect on improving the punching effect. The differences in damage characteristics are mainly attributed to the mechanical properties of the fragments. These findings provide valuable insights for the structural design and damage effect evaluation of reactive fragments.
Understanding the generation, transformation, and dissipation mechanisms of energy in high-pressure tanks during fire scenarios is of critical significance for the consequence assessment of explosion accidents. This study investigates the differences in properties between high-pressure hydrogen storage tanks and nitrogen tanks under fire conditions through comparative experiments. Fire tests were conducted using 6.8L-30MPa Type Ⅲ tanks. The results indicate that fire exposure can significantly impair the pressure-bearing capacity of the tanks. Specifically, the critical bursting pressure decreased from 125.1 MPa at room temperature to 46.8 MPa under fire conditions, representing a reduction of 62.6%. The explosion dynamics of hydrogen tanks were characterized by typical physical-chemical composite features. A fireball with a diameter of 9m was formed during the explosion. The peak shockwave pressure measured at a distance of 2 m reached 882.47 kPa, with a positive pressure duration of 168.11 ms. In contrast, nitrogen tanks experienced only physical explosions, with a peak shockwave pressure of 59.42 kPa and a positive pressure duration of merely 2.17 ms. This study analyzed the energy conversion pathways during explosions of high-compressed gas tanks (H2 and N2) in open environments. A novel method for assessing the blast power of hydrogen storage cylinder explosions in unconfined spaces was developed. Initially, the physical explosion energy was calculated based on fundamental parameters such as critical burst pressure, nominal volume, and initial filling pressure of the high-pressure tanks. The applicability of five mechanical energy calculation models was compared. Subsequently, the mass of hydrogen was determined using the actual gas equation, and the total chemical explosion energy was derived by integrating the heat of combustion of hydrogen. Finally, considering the contributions of mechanical and chemical energy to the shock wave intensity, the total explosion energy was converted into shock wave energy using an open space energy correction factor. Quantitative analysis and error verification were conducted in conjunction with measured data. The findings of this research provide essential support for enhancing risk assessment of explosion accidents involving high-pressure hydrogen storage devices.
Lattice mechanical metamaterials have been widely used in various fields due to the lightweight, flexible designability and excellent impact resistance. In this paper, an enhanced X-shaped lattice mechanical metamaterial was designed and fabricated by selective laser melting. The dynamic crushing behavior and energy absorption mechanism of this metamaterials subjected to low-velocity impact were explored experimentally and numerically. The influence of impact velocity on the deformation mode and energy absorption capability of the enhanced X-shaped lattice mechanical metamaterials was analyzed. It is shown that the impact velocity has significant effects on the deformation modes of the mechanical metamaterials. At the lower impact velocities, the deformation mode of lattice mechanical metamaterials resembles that observed under quasi-static compression, characterized by the layer-by-layer crushing mode of the cells around the shear band. At the higher impact velocities, the deformation mode of lattice mechanical metamaterials transitions from X-shaped shear band to V-shaped shear band, and finally evolves into an arc-shaped shear band. The further study suggests that enhanced X-shaped lattice mechanical metamaterial exhibits a certain degree of velocity sensitivity. With the increase of the impact velocity, the initial peak stress, plateau stress, and specific energy absorption all increase correspondingly.
Impact ejecting is a critical part of the impact process and plays a pivotal role in engineering applications and scientific analyses in deep space exploration. Its importance extends to space missions such as asteroid surface anchoring for mission stability, impact sampling for scientific analysis of extraterrestrial materials, kinetic impact deflection for planetary defense strategies, and the detailed analysis of ejecta deposition patterns on planetary surfaces to understand surface evolution and regolith dynamics. With small asteroids whose surfaces are commonly covered with regolith, granular targets are employed in laboratory settings to simulate the impact ejecting process. This paper presents a review of the research progress concerning the behavior of impact ejecting on granular targets. The formation process of impact ejecting and methods for describing ejecta curtains are evaluated. An analysis of the dimensional similarity laws governing impact ejecta, along with their applicability and limitations, is conducted. Additionally, the influence of factors, such as target material parameters, impact conditions, target surface morphology, and impactor shape and structure, on impact ejecting behavior is summarized. Finally, existing research challenges are objectively identified, and potential directions for further scientific research about the behavior of impact ejecta on granular targets are proposed.
To accurately predict the dynamic tensile fracture in concrete materials subjected to impact and blast loadings, this study first establishes a modified Monaghan artificial bulk viscosity computation method within the framework of a non-ordinary state-based peridynamics (NOSB-PD) theory to eliminate numerical oscillations. Subsequently, the corrected strain-rate computation method, previously developed, is integrated into the Kong-Fang concrete material model, which was proposed earlier by the research group to calculate accurately the strain-rate effect during sudden changes. Based on the two methods above, numerical simulations of elastic wave propagation in a one-dimensional rod are conducted, and the results demonstrate that the additional inclusion of the modified Monaghan artificial bulk viscosity force vector state into the original force vector state can effectively suppress the non-physical numerical oscillations caused by the deformation gradient approximation. The superiority of the modified Monaghan artificial bulk viscosity is validated through comparative analysis with the original Monaghan artificial bulk viscosity. Furthermore, the influence of the modified Monaghan artificial bulk viscosity parameters is investigated, and recommended values for these parameters are provided. Finally, the aforementioned model is used to numerically simulate the spall test in concrete specimens, where the effects of including or excluding the modified Monaghan artificial bulk viscosity and different strain-rate computation methods on the prediction results of dynamic tensile fracture are compared and analyzed. The numerical simulation results demonstrate that accurately predicting the dynamic tensile fracture in concrete materials requires simultaneous consideration of the modified Monaghan artificial bulk viscosity and corrected strain-rate computation. The established non-ordinary state-based peridynamics model that accounts for both the modified Monaghan artificial bulk viscosity and corrected strain-rate computation demonstrates strong capabilities in predicting crack locations and quantities based on both qualitative and quantitative analysis metrics. This work provides new insights into the numerical simulation of dynamic tensile fracture in concrete materials under impact and blast loadings.
With the increasing speed of trains, the impacts of mechanical shock, arc heat, and Joule heat on the high-speed railway catenary system have become increasingly significant. The coupling effect of high temperature and impact load has emerged as a key limiting factor for the safe operation of the pantograph-catenary system. This study focuses on copper-magnesium alloy materials used in the catenary system to address the challenges of dynamic impact and friction-induced heat generation in high-speed railways. To investigate the mechanical properties of the high-speed railway pantograph-catenary system under service conditions such as dynamic impact and frictional temperature rise, a DF14.205D electronic universal testing machine and a split Hopkinson pressure bar were employed. The uniaxial compression mechanical properties of the copper-magnesium alloy in the catenary were tested over a strain rate range of 0.001 s−1 to
In recent years, polyurea-coated reinforced concrete (RC) slabs have been extensively studied both experimentally and numerically for structural strengthening against contact explosions. However, theoretical investigations remain limited, particularly concerning the impact of polyurea on the local damages of the RC substrates. In this paper, an analytical model based on stress wave propagation theory was proposed to investigate the reflection of compression waves at the backside of the RC substrate slab and predict the spalling depth. Utilizing this analytical model, a quantitative and detailed discussion was presented regarding the effect of the polyurea on the critical spalling and breach of the RC substrate slab. Furthermore, the applicability of the empirical breach prediction, originally developed for uncoated RC slabs, was validated through existing experiments to predict the breach of polyurea-coated RC substrate slabs. The results indicate that polyurea affects the spalling process of the RC substrate slabs. Specifically, the net stress wave adjacent to the concrete-polyurea interface is a compression wave, while it transitions to a tensile wave in the deeper concrete. Polyurea primarily impacts the first spall of the RC substrate slab; subsequent spalling processes after the first spall align with those observed in uncoated RC slabs. Upon the occurrence of critical spalling, polyurea enhances the critical spalling resistance of RC slabs, although it significantly increases the spalling depth. Conversely, when a breach occurs, polyurea reduces the number of spalls but minimally affects on the total spalling depth. Based on these findings, the empirical method for predicting breaches of uncoated RC slabs can effectively be applied to predict the breach of RC substrate slabs coated with polyurea. The test results from more than twenty contact explosion experiments are consistent with the predicted outcomes, thereby validating the effectiveness of the analytical model and providing a method for estimating the breach of polyurea-coated RC substrate slabs.
Oxy-fuel combustion is one of the effective means to reduce greenhouse gases. To grasp the combustion characteristics of the clean fuel acetylene in O2/CO2 atmosphere and to investigate the effect of different CO2 volume fraction on the lower flammable limit of acetylene, the lower flammable limit of acetylene was experimentally measured in a 5 L cylindrical explosive reaction device. With the increase of CO2 volume fraction from 14% to 85%, the experimental value of the lower flammable limit of acetylene increased from 2.64% to 3.93%, which was linearly increased in a small range. Compared with hydrocarbon fuels such as ethylene, ethane, and propylene, the lower flammability limit of alkanes, olefins, alkynes decrease sequentially, indicating that alkynes have a larger combustion range and a higher hazard factor. Based on the calculation model of limiting laminar flame velocity method, a prediction model applicable to the lower flammability limit of acetylene was established. Through the verification of experimental data, the average absolute error of this prediction model using the USC Ⅱ combustion reaction mechanism is at 0.52%, and the model is accurate and reliable. To explain the reason for the existence of the lower flammability limit from the perspective of the competition between the temperature rise of the heat generation from fuel consumption and the temperature drop of the heat dissipation from the expansion of the fuel body, this study examines the thermodynamic, chemical, and transport effects of CO2 on the lower flammability limit. The combustion reaction mechanism of USC Ⅱ is modified to incorporate the virtual substances FCO2, TCO2, and MCO2, and comparing the flammability limits of the three virtual substances as well as those of the five atmospheres of N2 and CO2. The thermodynamic, chemical and transport effects of CO2 on the lower flammability limit were discussed. The results show that the average proportion of thermodynamic effect is 64%, chemical effect is 35% and transportation effect is 1%.
In order to effectively predict and control the consequences of fuel-air mixture explosions in enclosed spaces and thereby reduce the casualties and property losses caused by accidents, the relationship between the explosive overpressure characteristics of fuel-air mixtures and the spatial scale of explosions was investigated. Closed square pipes with varying length-diameter ratios, volumes, and lengths were used to examine the impact of fuel-air mixture explosion overpressure characteristics by keeping the initial oil and gas concentration, ignition position, and ignition energy constant. The experimental results show that the rate of overpressure rise goes through three stages: a rapid increase period, a continuous oscillation period, and an attenuation termination period, which reveals the dynamic relationship between reaction rate and heat loss. The reduce of the nozzle area and the increase of the internal surface area of the pipeline can both lead to the decrease of the the maximum overpressure, the average overpressure rise rate, the maximum overpressure rise rate, and the explosion power. The further analysis of the experimental results reveals that the change in the nozzle area will directly affect the flame front area and reaction rate, with a more direct and significant impact on the maximum overpressure. The changes in the inner surface area have a relatively indirect effect on the maximum overpressure by regulating energy transfer and heat loss. Additionally, pipeline length is a crucial factor affecting the time to reach maximum overpressure. The increase of the pipeline not only increases the heat loss but also delays the superposition time point of the reflected wave and the incident wave, with the energy of the reflected wave undergoing relative attenuation.
To investigate the penetration resistance of metal honeycomb tube-constrained concrete structures under hypervelocity impact, penetration experiments were conducted using a two-stage light gas gun with projectile velocities near 1 500 m/s. The material point method (MPM) was employed to simulate the penetration process and validate the reasonableness of target and projectile parameters. This method was further used to analyze the effects of honeycomb tube parameters, including wall thickness, height, diameter, and material, on the penetration resistance of the target structure. Numerical simulations showed that MPM can accurately simulate high-velocity penetration processes, with simulation results deviating from experimental data by less than 10%. Through orthogonal analysis, the factors influencing penetration depth were ranked in descending order as follows: characteristic tube depth, characteristic inner diameter, characteristic wall thickness, and material. For the cratering effect, the primary influencing factors were identified as characteristic wall thickness, characteristic tube depth, material, and characteristic inner diameter. For the projectiles tested in this study, optimization results indicated the following: A combination of 4 mm wall thickness, 150 mm height, 30 mm incircle diameter, and tungsten alloy demonstrated the best penetration resistance, reducing penetration depth by 25.1% compared to plain concrete. A combination of 4 mm wall thickness, 150 mm height, 90 mm incircle diameter, and aluminum exhibited superior resistance to the cratering effect, decreasing crater radius by 28.7% compared to plain concrete. Multi-objective optimization analysis determined the optimal overall configuration to be: 4 mm wall thickness, 150 mm height, 30 mm incircle diameter, and aluminum.
To address the fracture problem of dynamic submarine cables and their protective sheaths caused by friction and collision with wind turbine platforms under harsh sea conditions, a multi-impact resistant composite protective layer was designed using EVA foam and rubber as the main materials, which possess high elasticity and excellent cushioning properties.Mechanical property tests were conducted on EVA foam materials with various relative densities under different loading conditions using a universal testing machine and drop hammer. Energy absorption efficiency, densification strain, plateau stress and maximum specific energy absorption were introduced to characterize the mechanical properties of EVA foam. The effects of relative density, strain rate and repeated loading on the energy absorption characteristics of EVA foam were revealed.Based on the matching relationship between the energy absorption per unit volume of EVA foam and the kinetic energy of dynamic submarine cables to be absorbed, the optimal thickness of the protective layer was determined, and composite protective layer specimens were fabricated. Subsequently, drop hammer impact tests were performed to compare the cushioning and energy absorption characteristics of the composite protective layer with other materials, preliminarily verifying its high energy absorption efficiency. Further drop hammer impact tests were conducted to investigate the effects of impact energy and loading cycles on the cushioning and energy absorption characteristics of the composite protective layer. The experimental results showed that: (1) Under single impact, the peak force and maximum displacement of the composite protective layer showed a linear positive correlation with the drop hammer mass and impact velocity, with energy absorption efficiency reaching 85 %; (2) Under multiple impacts, the mechanical properties of the composite protective layer exhibited remarkable stability - the maximum displacement in the fourth impact increased by only 5.5 % compared to the first impact, with fluctuations in energy absorption value and instantaneous rebound rate remaining below 5 %. The composite protective layer demonstrates unique mechanical properties that provide effective long-term protection for dynamic submarine cables under harsh marine conditions.
Porous materials are accompanied by pore collapse behavior during impact compression. Based on the shock wave structure observed in experiments carried out by predecessors, the theoretically analysis of the relationship between the shock wave formation process and pore collapse behavior of porous materials is made. Firstly, considering the compression curve characteristics of porous materials and the overtaking of shock wave, it is proposed that the shock wave structure of porous materials has three modes: low pressure single wave mode, double shock wave mode and high pressure single wave mode. These different shock wave modes are mainly caused by the influence of elastic-plastic mechanical behavior in pore collapse on the compression curve of porous materials. Furthermore, combined with the Wu-Jing equation of state, the calculation method of shock compression characteristics compatible with different shock wave modes is developed. The relationship between the Hugoniot Curve of porous material and dense material is established, and the calculation equation of impact specific volume compatible with single shock wave mode is obtained, which can directly calculate the critical specific volume without approximate conditions. In addition, the equation of pore collapse established by Carroll is modified by taking the linear approximation of the variation of porosity with pressure in the elastic stage and the elastic-plastic stage, and considering the relationship between the stress of the matrix material and the macroscopic stress in the porous material. Based on the calculation model of shock compression characteristics considering pore collapse behavior, the Hugoniot data of the material are calculated, and the influence of pore collapse behavior on the shock compression characteristics of porous materials is discussed. The results show that the shock compression characteristics of the material are significantly affected by the pore collapse behavior at lower pressures, and the model in this paper can predict the shock wave parameters of porous materials more accurately.
Due to the rapid development of military technology, there are more deployments of new arms, high-tech weapons and large-caliber shells in regional and local warfare, contributing to a sharp surge in the incidences of craniocerebral trauma among military personnel due to blast shockwaves. Thus, blast-induced traumatic brain injury at present is considered as one of the most prominent forms of injury on the battlefield. In order to assess the craniocerebral injury of personnel under the effect of the blast shock wave, it is urgent to establish a set of scientific, rational and comprehensive evaluation methods. Using a realistic physical manikin model with Chinese human body size characteristics and a sensing system to carry out three kinds of shock wave intensity shock tube experiments, this study systematically obtained the change process of head surface overpressure, head centroid acceleration and angular velocity as well as neck force and torque of the realistic physical manikin model with time. Based on the short-term and long-term injury effects of the explosion on the human cranium and brain, based on the 3 ms criterion, head injury criterion (HIC), brain injury criteria (BrIC) and neck injury indicators to determine the damage and the degree of damage to the human body to carry out a comprehensive research and judgment. The results showed that under three different strong shockwave environments, the shock wave overpressure duration was less than 5 ms, acceleration and neck force lasted 5~6 ms, and angular velocity and neck torque lasted 50~244 ms; the peak centroid resultant acceleration in the head of the realistic physical manikin model was (54.60±3.69)g, (102.00±1.72)g and (161.50±6.36)g, and the calculated HIC15 showed that the head injury threshold was not reached; according to the combined determination of head surface pressure load and BrIC, the probability of craniocerebral injury increased significantly, and protective measures should be taken to reduce the risk of injury.
Explosion venting is one of the effective ways to prevent and control the hazards of combustible gas explosions, but the process of venting there may be a secondary explosion of the external venting gas cloud, how to achieve an effective explosion venting of combustible gas explosions to reduce the hazards posed by the explosion, has become a key direction of the current research. To this end, from the combustible gas explosion characteristics, combustible gas explosion venting characteristics and explosion venting of the external flow field of the secondary explosion and other aspects of the current domestic and foreign combustible gas explosion venting characteristics of the current research situation is summarized and analyzed, and found that the explosion risk of the pluralistic mixed system is difficult to accurately predict and evaluate, the internal and external flow field coupling explosion venting mechanism is not yet in-depth, the characterization of the explosion venting effect and the critical conditions of the secondary explosion is unknown. Based on the above problems, the outlook from the exploration of combustible gas explosion risk and disaster-causing mechanism, deepen the combustible gas explosion venting overpressure and flame evolution characteristics of the study, revealing the formation mechanism of the secondary explosion of the explosion venting external flow field. This provides an important reference for the future study of combustible gas explosion venting.
To investigate the evolution of phase structure, dislocation distribution, energy absorption capacity, and impact accumulation effect of high-entropy alloys (HEA) under shock loading, molecular dynamics simulations were employed to systematically analyze the dynamic response behavior of Al0.3CoCrFeNi HEA plate subjected to single and secondary impact load. The results show that under the first impact, the phase structure evolution and energy absorption mode of the plastic region of Al0.3CoCrFeNi HEA plate exhibits significant velocity dependence. As the speed increases, the proportion of face-centered cubic structure shows a three-stage downward trend, while the disorder structure increases accordingly. Under low velocity impact (0.5-1.0 km/s), energy is mainly absorbed by dislocation network; at medium velocity impact (1.0-2.0 km/s), both dislocations and disordered atoms contribute; under high velocity impact (2.0-3.0 km/s), disordered atoms dominate energy absorption. Within the velocity range of 0.5-0.8 km/s of the rigid sphere, the dislocation line length increases linearly with the impact velocity. However, at higher impact velocities, the dislocation line length decreases due to the limitation of the plate thickness. The stress analysis shows that when the impact velocity increases, both the maximum stress and the boundary stress of the plastic zone exhibit nonlinear variations characterized by a quadratic relationship. Under the secondary impact, the Al0.3CoCrFeNi HEA plate forms a damage zone resembling a trapezoidal shape after impact. The radius of the pit within this damage zone exhibits a quadratic relationship with the impact velocity. Additionally, the minimum affected area resulting from the secondary impact also demonstrates a quadratic relationship with the impact velocity. Regarding impact resistance, as the initial impact velocity increases, the residual velocity following the secondary impact also rises, indicating a reduction in the resistance capability of HEA. At a distance of 10 nm from the impact center, the ballistic limit velocity decreases nonlinearly with increasing initial impact velocity. However, an increase in the secondary impact velocity mitigates the effects induced by the initial impact.
In the construction process of drilling and blasting method for layered rock tunnel, the unbalanced distribution of explosion energy was easy to cause serious over- and under-excavation. The joint dip angle, inter-hole delay, and hole spacing were the main influencing parameters. The simulated rock mass samples with different joint dip angles were prepared by the layered pouring method, and the blasting test of layered rock mass was carried out. Based on the ABAQUS simulation software, the blasting crack propagation and stress wave propagation characteristics of layered rock mass under different joint dip angles were analyzed. The results show that the joint dip angle has a significant guiding effect on the stress wave propagation. By affecting the stress distribution, the peak strain and damage degree at different positions are different, which in turn promotes the crack propagation at the joint surface or around the blast hole. The inter-hole delay plays a key role in regulating the crack propagation path. With the increase of delay time, the stress wave superposition area of the pre-blasting hole and the post-blasting hole gradually shifts from the joint center to the surrounding of the post-blasting hole, resulting in the peak strain and damage value of the joint center increasing first and then decreasing, and the failure area of the rock mass shifts to the post-blasting hole accordingly. However, too long delay weakens the synergistic effect of the double-hole stress wave. The increase of hole spacing weakens the stress superposition in the center of the joint, so that the energy is concentrated around the borehole, and the crack propagation mode changes from joint penetration to radial distribution around the borehole. However, too large a hole spacing is easy to lead to the failure of crack penetration between holes due to insufficient energy attenuation and stress superposition, which significantly reduces the crushing efficiency of rock mass. The research results are helpful to the understanding of blasting crack propagation in layered rock mass.
Hydrogen-doped natural gas technology has been gradually used in pipeline transportation, but hydrogen-doped natural gas is prone to leakage and explosion accidents. The study used a 20L spherical device to investigate the effects of hydrogen blending ratio and CO2 addition on the explosion pressure and flame propagation characteristics of hydrogen-doped natural gas, and the chemical reaction kinetics method was used to analyse the explosion mechanism. The results showed that the hydrogen doping ratio has a promoting effect on the hydrogen-doped natural gas explosion pressure parameters and flame propagation speed. As the hydrogen doping ratio increases, the maximum explosion pressure gradually increases, the rapid burn time and sustained burn time are gradually decreasing. The maximum explosion pressure rise rate and flame propagation speed gradually increase when the hydrogen doping ratio is less than 0.5. When the hydrogen doping ratio is greater than 0.5, the maximum explosion pressure rise rate and flame propagation speed rise rapidly. The addition of CO2 has an inhibitory effect on the explosion pressure and flame propagation speed of the mixed gas, but the suppression effect on pressure parameters with high hydrogen doping ratio is poor. Through reaction kinetic analysis, it can be seen that as the hydrogen doping ratio increases, the laminar burning velocity and adiabatic flame temperature gradually increase, the mole fraction of active free radicals and the rate of product increase significantly, and the mixing of hydrogen changes the reaction path of methane. When the hydrogen doping ratio is greater than 0.5, reactions R84, R46 and R3 enter the top ten steps of the reaction, producing H and OH radicals, which promotes the reaction. CO2 can reduce the laminar burning velocity, adiabatic flame temperature, active free radical mole fraction and rate of production of the mixed gas, but adding CO2 does not change the reaction path of methane.
Steel-concrete-steel composite (SCS) wall has been applied in high-rise buildings and nuclear power plants. Its performance under accidental and extreme loads during the whole life cycle deserves attention. Considering that fires and explosions often occur simultaneously, and that the mechanical properties of steel and concrete are deteriorated significantly at high temperatures, this leads to serious degradation of blast resistance of structural members. In this context, a total of 120 finite element (FE) models of SCS walls under combined fire and explosion were established using ABAQUS software. First, the FE models were verified based on existing fire resistance tests and explosion tests at room temperature on SCS walls. Then, the blast resistance mechanism of SCS walls was analyzed, and the influences of key parameters, including fire duration, explosion charge, steel plate ratio, material strength, tie bars spacing and axial compression ratio, on the explosion resistance were investigated. Finally, based on the single-degree of freedom method, the formulas were proposed to predict the maximum deformation of SCS walls under combined fire exposure and explosion. The results show that SCS walls primarily exhibit overall bending failure under coupled fire exposure and explosion. With the increase of fire duration, the contribution of the steel plate on the fire-exposed side to the energy dissipation decreases, and the plastic deformation of the steel plate on the non-fire-exposed side gradually becomes the main energy dissipation component. Fire duration, explosion charge and steel strength significantly affect the blast resistance of SCS walls under fire conditions. When exposed to fire for 90 minutes, the maximum mid-span deformation decreases by approximately 22%, as the steel yield strength increases from 235MPa to 460MPa. However, the influence of the concrete strength is minor. The maximum deformation of SCS walls can be reasonably predicted by the proposed formulas based on the single-degree of freedom method under coupled fire exposure and explosion.
Polypropylene (PP) is widely utilized in industrial production, yet PP dust generated during its production and transportation can form explosive dust clouds, leading to severe dust explosion accidents that threaten personnel and equipment safety. To address this issue, a novel explosion suppressant, NiP@Fe-SBA-15, was synthesized to inhibit the propagation of PP dust combustion flames. The synthesis involved modifying SBA-15 mesoporous silica with Fe ions and subsequently loading NiP, resulting in a composite powder with uniformly dispersed active components and a well-preserved mesoporous structure. Characterization via SEM-Mapping and N2 adsorption-desorption experiments revealed that NiP@Fe-SBA-15 maintains a high specific surface area, exhibits a regulated pore structure, and shows no significant particle agglomeration. The Hartman tube explosive testing system was employed to evaluate the effect of NiP@Fe-SBA-15 on PP dust deflagration. Results indicated that as the NiP@Fe-SBA-15 additive increased, the flame propagation speed, brightness, and flame length of PP deflagration decreased significantly, with flame propagation almost completely inhibited at a suppressant dosage of 70 wt%. The dual explosion suppression mechanism of NiP@Fe-SBA-15 was analyzed. Physically, NiP@Fe-SBA-15 occupies reaction space, reducing oxygen and combustible volatile concentrations, while the SBA-15 molecular sieve, exposed by thermal decomposition of the suppressant, absorbs heat and forms a physical barrier, thereby reducing combustion intensity. Chemically, NiP decomposition releases Ni· and P· radicals that consume key free radicals (H·, O·, OH·) in combustion reactions, interrupting explosion chain reactions. Meanwhile, Fe-based species rapidly oxidize to Fe3O4, reducing oxygen availability and further weakening combustion intensity. In summary, NiP@Fe-SBA-15 was proven to be an effective explosion suppressant for PP dust explosions, reducing combustion intensity through combined physicochemical synergies. This research provides a new approach to enhancing polypropylene industry safety. Future work will focus on optimizing the industrial application of NiP@Fe-SBA-15 explosion suppressants while addressing cost, environmental sustainability, and stability issues to further advance dust explosion prevention technology.
Compared to concrete and steel structures, research on the blast resistance of timber structures is relatively scarce. Although experimental studies on the blast performance of light-frame wood walls have been conducted, relevant numerical studies remain limited. This study addresses the numerical modeling of light-frame wood walls under blast loads, with a focus on the determination of the dynamic increase factor (DIF) for nail connections and the failure criteria for wood studs. Based on the partial composite action theory, an analytical expression was derived to describe the relationship between the DIF for nail connections and other mechanical properties of light-frame wood walls, including the stiffness of studs, the stiffness of sheathing panels, and the stiffness of nail connections. A reasonable value for the DIF of nail connections was provided by introducing experimentally measured DIFs for wood studs and wood-frame walls. On this basis, a finite element (FE) model for blast resistance analysis of light-frame wood walls was developed. In this model, the wood studs, sheathing panels, and nail connections were represented using beam elements, shell elements, and discrete beam elements, respectively. The orthotropic characteristics of wood-based structural panels, the nonlinear dynamic behavior of nail connections, and the dynamic elastic-plastic features of wood studs were also appropriately modeled. Verification of the developed model against experimental data indicates that it can accurately predict the dynamic response of light-frame wood walls under blast loads, as well as the time and corresponding peak displacement when wood studs fracture. FE analyses also show that if the variation of the studs’ material properties is reasonably accounted for, the predictions of the dynamic response and failure mode after the fracture of studs are in good agreement with the experimental results. The developed model paves the way for assessing the blast vulnerability of light-frame wood structures in future research.
To study the damage law of calcareous conglomerate under blasting, firstly, the damage fracture process and mechanism of calcareous conglomerate under blasting load were revealed based on the theory of damage fracture mechanics. A meso-scale model of conglomerate, including filler, conglomerate and interfacial transition zone (ITZ), was established by using LS-DYNA and Fortran programming, and the propagation law of explosive stress wave and its damage characteristics were analyzed. The damage fracture process of calcareous conglomerate under blasting can be divided into four stages, namely: compression damage in both gravel and fill; tensile damage in gravel and compression damage in fill; tensile damage in both gravel and fill; and tensile damage at the intersection of gravel and fill. Numerical results show that under blasting loads, the gravel has higher equivalent stresses, the fill has the lowest, stress concentration is evident at the ITZ, and the stress gap between the gravel and the fill decreases as the distance increases. The conglomerate sustains relatively minor damage, with a notable phenomenon of damage occurring around it. However, and the filler experiences significant damage. The expansion of blasting crack in Calcareous conglomerate forms mainly along the direction of stress wave propagation. Cracks tend to develop along the filler with lower physical and mechanical properties, as well as along the junction surfaces. The damage to the gravel is comparatively less severe. Blasting blockiness is mainly manifested as the filler wrapping gravel, and the distribution of blasting blockiness is affected by the bonding force at the intersection surface and the distribution of gravel.
Prefabricated concrete bursting layer has a very important application prospect in the field of protective engineering attributed to its technical advantages including high construction efficiency and construction quality. However, compared with the monolithic cast-in-situ concrete bursting layer, the impact resistance of the prefabricated concrete bursting layer may be significantly reduced because of the interfaces between the prefabricated blocks and the cast-in-situ part. Therefore, it is important for engineers to reasonably design the prefabricated concrete bursting layer to make its penetration resistance comparable to the monolithic one. To this end, a kind of prefabricated bursting layer connected by wet joints and rebars was proposed in our previous study. In order to apply the prefabricated bursting layer in protective engineering, a series of numerical models were developed to further study its penetration resistance. Firstly, based on the Kong-Fang model and smoothed particle Galerkin (SPG) method, the numerical models were developed and validated against the experimental data of projectile penetrating monolithic and prefabricated targets. Then, the validated numerical models were further used to investigate the influences of prefabricated block size, wet joint width and anchorage length, spacing and diameter of rebars on the penetration resistance of prefabricated targets. Numerical results indicate that increasing the width of wet joints, reducing the spacing between rebars, and extending the anchorage length of rebars can significantly enhance the penetration resistance of prefabricated targets. After clarifying the influences of these parameters, an engineering design method for a prefabricated concrete bursting layer was proposed. Finally, based on this method, two prefabricated high performance concrete targets subjected to two typical types of warhead penetration were designed. Numerical results show that the penetration resistances of two prefabricated targets were comparable to monolithic targets. The proposed engineering design method can provide a reference for engineering applications of prefabricated concrete bursting layers connected by the wet joints and rebars.
Applicable buffer-head covers and various open-cell foam buffer configurations were designed to meet the buffering and load reduction challenges during high-speed water entry vehicles. In the arbitrary Lagrangian-Euler method, the grid can move as the material flows within the spatial grid. This unique feature allows the arbitrary Lagrangian-Euler method to harness the advantages of both the Lagrangian and Euler methods. It not only overcomes numerical calculation challenges stemming from element distortion but also facilitates accurate computation of large deformations and displacements in solids and fluids. This makes it particularly well-suited for addressing high-speed water buffer load reduction problems. Based on the arbitrary Lagrangian-Euler method and considering the large deformation of the buffer foam and the hood, a numerical calculation model for buffering and load reduction during high-speed water entry of navigational bodies was established. Through numerical simulations, an in-depth study was conducted on the load reduction performance of buffer foams with different open-cell patterns. The results indicate that open-cell buffer foam exhibits significant advantages in dispersing the impact force and absorbing impact energy during water entry of navigational bodies, offering better buffering effects. Simultaneously, the buffer head cover experiences local progressive fragmentation upon water entry. The deformation and rupture of the outer wall surface of the buffer head cover at the connector between the buffer shell and the navigational body are caused by the stress concentration distribution generated during water impact. When the open-cell foam contacts the water surface, the front part enters the collapse stage, absorbing a large amount of energy and undergoing plastic deformation, resulting in a reduction of pores. This stage is the primary energy absorption phase for the buffer foam. In comparison, closed-cell foam exhibits poorer load reduction performance. Therefore, the adoption of open-cell foam represents a superior solution for buffering and load reduction during high-speed water entry of navigational bodies.
Axisymmetric conical structures, as a common configuration, induce oblique detonation waves exhibiting significantly greater structural complexity compared to those generated by sharp wedges. Numerical simulations of oblique detonation waves induced by a finite cone were performed using the open-source code OpenFOAM, with analysis conducted on post-detonation flow fields, wavefront structure, and detonation cell structures. The numerical results show that under the effect of the finite cone the flow field behind the detonation wave is successively influenced by Taylor-Maccoll flow and Prandtl-Meyer expansion waves. The pressure and Mach number along the streamlines at different positions on the detonation wave front exhibit oscillatory changes with the influence of these two physical processes and triple points on oblique detonation surfaces, and then tend to stabilize. Depending on the different post-detonation flow field, the detonation wave front structure is divided into four sections: smooth ZND (Zel’dovich-Neumann-Döring)-like structure, single-headed triple points cell-like structure, dual-headed triple points cell structure and dual-headed triple point structure influenced by Prandtl-Meyer. The shock pole curve theory is used to analyze the wave structures. It is found that the upstream-facing triple points exhibits higher detonation intensity, i.e., higher Mach number and pressure, compared to the downstream-facing triple points in dual-headed triple points structure. Finally, based on the above analysis, triple point traces are recorded to obtain four different cell structures: smooth planar structure, parallel line structure, oblique rhombus structure, and irregular oblique rhombus structure.
Blast wave damage and protection experiments conducted in large-scale shock tubes can avoid the inaccurate experimental results caused by the size effect in small-scale model experiments. However, due to the scarcity of equipment, there is still a lack of research on directly simulating the shock waveforms of explosive explosions using large-scale shock tubes at present. Therefore, a numerical simulation study of the generation and propagation process of shock wave generated by hydrogen-oxygen detonation in a large shock tube were conducted, and the reproduction of blast wave in a large shock tube was realized based on numerical simulation. Based on the designs of existing large shock tubes, a two-dimensional axisymmetric model of a large shock tube with driving tube, shock shaping section and variable angle outlet was established. The governing equation of a two-dimensional unsteady viscous compressible flow together with the seven-step reaction of the hydrogen-oxygen detonation mechanism was used to simulate the generation and propagation process of the shock wave. The renormalization group k-ε model was selected as the turbulence model, and the two-dimensional transient coupling solver was used for numerical simulation. Due to the large scale of the model, turbulence has little effect on the far-field shock wave. Therefore, the finite rate component transport model was selected to couple the interaction between turbulence and chemical reaction, and a two-dimensional transient coupled solver was used. Based on the numerical results, the influence of initial physical conditions of the driving gas, inert gas mixing, and the shock tube configurations on the formation of shock wave waveforms by detonation was studied. The variation laws of shock wave characteristic parameters under various factors were summarized. Finally, using the experimental data of black powder explosion shock waves as the target, the process of shock wave waveform regulation in the large shock tube was simulated according to the shock wave variation laws. The results show that under the combined effect of multiple factors, it is possible to simulate and reproduce the specific explosion shock wave using the hydrogen-oxygen detonation driving method in the large shock tube.
To investigate the propagation process of shock waves within a channel under different explosive yields and charge positions, this study established an experimental channel designed for individual soldier transit. Through experiments and simulations, it is found that the quantity and position of the charge affect the time history of overpressure and shock wave parameters. Within the tunnel, the propagation velocity and overpressure peak of the shock wave decreased with increasing of distance, while the duration and impulse of positive overpressure continuously extend and increase. When the charge equivalent increases, all shock wave parameters are enhanced, though the influence on the rate of overpressure peak attenuation is minimal. As the distance between the explosion center and the interior of the tunnel increases, all parameters decline. Both experiments and simulations reveal a unique change in the time history of overpressure and shock wave parameters near the 9 m measurement point inside the tunnel. By analyzing pressure contour maps and overpressure time history, it is discovered that wavefront movement is the primary cause. Based on the fundamental shock wave theory, a higher overpressure peak of shock wave results in faster wavefront motion. From the 3 m to 7 m section inside the entrance, the leading wavefront overpressure continuously attenuates with increasing distance, and its motion speed significantly decreases. However, the overpressure values of subsequent reflected waves attenuate more slowly or even exceed those of the leading wavefront due to continuous collision and superposition. Between the 7 m and 9 m sections inside the entrance, the reflected waves formed by later superposition catch up with and overlap the leading wavefront, resulting in an increase in the first peak value with increasing distance. This process is also clearly understood through the simulated overpressure contour map. Based on the experimental and numerical simulation results, a predictive model for shock wave overpressure within the channel, which has practical engineering reference significance, has been developed.
In blast-resistant structural design for conventional weapons, previous studies on blast-induced stress waves in solid media have predominantly focused on soil and rock media (i.e., ground shock issues), whereas research on the propagation and attenuation laws of stress waves in concrete remains relatively limited. Based on the Karagozian and Case concrete (KCC) constitutive model in conjunction with the multi-material ALE (MMALE) algorithm, the propagation laws of stress waves in concrete induced by cylindrical charge explosion were numerically investigated. Firstly, the applicability of the constitutive model parameters and numerical algorithm were validated by comparing the results with the existing experiments. Subsequently, the peak stress was employed as a criterion to delineate the explosive damage zones in the concrete surrounding the charge. Additionally, the attenuation laws of explosion stress waves in each damage zone were discussed. Finally, the effect of burial depth was taken into further considered, and a formula for calculating the peak stress in concrete induced by cylindrical charge explosion was established. It was found that the attenuation patterns of blast-induced stress waves differ significantly in each explosion failure zone. The stress waves in the near-field zone (quasi-fluid and crushing zones) demonstrates a more rapid attenuation rate compared to that in the mid-field zone (transition and fracture zones). Furthermore, an increase in the aspect ratio of the cylindrical charge leads to an acceleration in the attenuation of the normal peak stress. Moreover, the established formula for calculating the peak stress of blast-induced stress waves enables accurate and rapid determination of the normal peak stress generated by cylindrical charges with varying geometries and burial depths, which can be served as a valuable reference for blast-resistant design of concrete structures.
In order to study the initiation process of liquid explosive nitromethane containing cavities under shock wave loading, an Eulerian multi-material computational approach based on the level set method was developed. The reactive Euler equations were adopted as the governing equations, the level set method was utilized to track the multi-medium interface between the chemical reaction mixture and the cavity. To improve the robustness of calculation method, the modified ghost fluid method was applied in computational cells near the interface. Based on the modified ghost fluid method, a multi-medium problem was transformed into a single media problem. For these two fluid phases on both sides of the interface, the high order weighted essential non-oscillatory finite difference method was implemented to calculate the numerical fluxes on cell boundary, making the simulation results reliable. However, the Jones-Wilkins-Lee equation of state differs greatly from the ideal gas equation of state. In addition, the mass fraction of detonation product directly affects the transformation process between the conserved variables and the primitive variables in reaction zone, making it difficult to provide an explicit expression for the equation of state of explosive mixture. In order to solve the above problems, a ghost fluid state prediction method based on the Harten-Lax-van Leer-contact (HLLC) approximate Riemann solver was developed. By dealing with a complex multi-medium Riemann problem considering chemical reaction, the variable states of ghost fluid on both sides of the interface can be obtained. The multi-medium calculation method was used to simulate the interaction problems between liquid nitromethane and the cavity under the loading condition with different impact strengths. The numerical results illustrate that the method proposed in the paper can capture the entire fluid dynamics process of cavity compression, cavity collapse, cavity closure and cavity disappearance.
This study investigates the response characteristics of silica sand under dynamic loading, employing a modified split Hopkinson pressure bar (SHPB) to gain insights into its crushing behavior and energy absorption properties. Four distinct grain size (2.5–5.0 mm, 1.25–2.50 mm, 0.60–1.25 mm, and <0.3 mm) were analyzed, with results demonstrating that the dynamic stress-strain behavior of silica sand is affected by both grain size and strain rate. The deformation process of silica sand is categorized into four stages: elastic, yielding, plastic and unloading. Plastic compaction is dominant during the yielding stage, whereas crushing compaction prevails in the plastic stage. The relative breakage of particles shows a positive correlation with both strain rate and effective particle size, and an inverse correlation with fractal dimension. The impact of particle size on energy absorption efficiency is influenced by factors such as mineral composition, particle size, and differentiation degree. Under identical stress levels, larger particle sizes demonstrate greater energy absorption efficiency; similarly, under identical loading strain rates, larger particles exhibit lower peak stress. To improve sand's energy absorption efficiency and reduce required loading levels, sand with larger particle sizes is recommended.
The crack propagation behavior of brittle materials, such as rock, is often challenging to capture under explosive loading conditions. To address this issue, model experiments were conducted based on the theory of explosive damage, utilizing transparent polymethyl methacrylate as a surrogate material to simulate the fracture response of brittle materials. High-speed photography and computed tomography scanning were employed to investigate the dynamic fracture process and three-dimensional crack evolution under blast loading. In addition, 3D scanning technology was used to reconstruct the morphology of cracks and characterize the fracture surface features. The results indicate that under the sustained action of multi-stage explosive energy, cracks undergo repeated initiation and propagation. Initial cracks induced by shock waves exhibit high density and a “fish scale” pattern, primarily concentrated around the blast hole. In contrast, secondary cracks driven by detonation gases have a lower density and extend outward in “ear-shaped” or “dagger-shaped” forms. As the distance from the explosion center increases, the crack surface morphology transitions from rugged to microwave-like textures, with improved flatness. Specifically, the elevation variance of the fracture surface decreases from 0.796 to 0.586, while the maximum height reduces from 3.2 mm to 2.8 mm, representing a 12.5% reduction. Moreover, the failure mode of the material shifts from compressive-shear to tensile failure with increasing distance from the explosion center. This shift is accompanied by a decline in both the fractal dimension of the crack distribution and the overall damage degree of the model.
In order to investigate the damage mechanisms of zirconium-based amorphous alloy fragments penetrating carbon fiber targets and their subsequent effects on target failure, ballistic experiments were conducted using a 12.7 mm ballistic gun. The experiments involved spherical zirconium-based amorphous alloy fragments impacting a composite target system consisting of a 6-mm thick carbon fiber laminate and a 2-mm thick LY12 alloy plate. These targets were arranged in both stacked and spaced configurations to evaluate the effects of target configuration on the damage caused by fragment impact. To quantitatively assess the subsequent damage, image recognition technology was employed to analyze the damage area of the LY12 target after impact.The results indicated that the damage area of the carbon fiber target was positively correlated with the velocity of the impacting fragment, with no significant hole expansion observed. On the front side, damage primarily resulted from fiber shear failure and compressive deformation, while the back face of the carbon fiber laminate exhibited tensile tearing and interlaminar delamination. These findings suggest that the carbon fiber target experienced a combination of mechanical damage modes, including shear and compressive deformation on the impact side, and tensile and delamination failures on the rear face, as a result of the high-velocity impact.In the case of the LY12 aluminum alloy target, the damage area increased with fragment velocity. When the velocity was below 954.7 m/s, the damage area on the LY12 target in the spaced configuration was smaller than that of the stacked configuration. However, as the fragment velocity increased, the damage area of the LY12 target in the spaced configuration grew rapidly, while the damage area in the stacked configuration increased more gradually. At higher velocities, the damage area in the spaced configuration was significantly larger than that in the stacked configuration. This trend suggests that for high-velocity impacts, the spaced configuration of the targets was more effective in promoting greater damage to the LY12 target.
The equation of state for the detonation products of explosives is one of the foundations in explosion physics. JWL equation of state has been widely applied to study the properties of various explosives. In order to obtain the equation of state of the detonation products, an underwater explosion method was used to study JWL equation of state for the detonation of RDX. It considered the explosion bubble expansion process based on the conservation of energy including Es0 (initial shock wave energy), Ept (potential energy of water), Ec (kinetic energy of water) and Er (energy loss by bubble expansion), which are related to the underwater explosion bubble radius (R-t) and shock wave front (Rs-t) measured in the underwater explosion experiments as functions of time. Based on the experimental results and using the same method to process the experimental data in cylinder experiment, the time functions of explosion bubble expansion radius and variation of shock wave front position were fitted and the parameters of the JWL equation of state for RDX detonation products were obtained. In order to analyze the accuracy of the parameters of the JWL equation of state obtained by the underwater explosion method, the time history of the underwater explosions bubble pulsating pressure wave was calculated using the bubble dynamics equation. It shows that the calculation results agree well with the bubble expansion radius and bubble pulsation period determined using the underwater explosion experiments in a pool. The calculated bubble radius obtained by the proposed measurement method has a smaller deviation from that obtained by the cylinder experimental value, especially in the low-pressure stage compare with the JWL state parameters obtained from cylinder method. This method provides a testing approach for the equation of state of detonation products with low cost, reduced size limitations and a wide pressure range.
Aiming to investigate the performance and design approach of the carbon fiber reinforced polymer (CFRP) sheet strengthened masonry infilled walls subjected to blast loads, the commercial finite element program LS-DYNA is firstly used to develop the simplified micro-finite element model of masonry infilled walls and the corresponding blast-resistant analysis model of the CFRP sheet strengthened walls. By comparing the numerical simulation results with the nine groups field explosion test results of the unstrengthening and CFRP sheet strengthened masonry infilled walls, the applicability of the present simplified micro-modeling approach, as well as the material models and parameters of masonry and CFRP sheet and the corresponding contact algorithm, is thoroughly verified. Furthermore, referring to the CFRP sheet seismic strengthening methods recommended by China standard GB 50608—2020, the dynamic behaviors of the prototype masonry infilled walls strengthened with CFRP sheets under blast loads are analyzed and compared. It is recommended that the diagonal two-way strengthening method be advocated, followed by the vertical two-way and horizontal full-cover strengthening methods. In contrast, the vertical full-cover and mixed three-way strengthening methods are not recommended. Finally, to simultaneously satisfy the conditions of intact CFRP, no scattering debris and the peak central deflection than wall thickness to meet the blast-resistant design goal, the ranges of the scaled distance of the prototype masonry infilled walls with different arrangements of tie bar (non-/cut-off/full-length tie bar) that need to be strengthened under typical sedan (227 kg equivalent TNT) and briefcase bombs (23 kg equivalent TNT) specified by Federal Emergency Management Agency explode at different scaled distances are determined to be 0.8–2.0 m/kg1/3 and 0.2–1.2 m/kg1/3, respectively. The suggestions for the optimal number of CFRP sheet layers for effective blast-resistant design are further provided. The arrangement of the tie bar has little effect on the optimal number of strengthening layers, only affecting the critical scaled distance at which the wall needs to be strengthened.
The evolution and distribution characteristics of cracks in presplit blasting can be significantly affected by the in-situ stress, often leading to issues such as over or under excavation in deep rock masses. In this paper, a theoretical model for presplit blasting under in-situ stress in rock engineering was developed based on the assumption of plane-strain problem of elastic mechanics. The propagation and attenuation of explosion stress waves were analyzed using a combination of Laplace transforms and numerical inversion. Furthermore, the impact of initial static stress on the blasting-induced dynamic stress field distribution in presplitting was examined and discussed. The Riedel-Hiermaier-Thoma (RHT) model in LS-DYNA code was employed to investigate the dynamic mechanical behavior of rock mass, and its material parameters were calibrated by comparing blasting crack patterns and the explosion pressure attenuation curves. Then, the validated model was used to simulate the damage features of rock presplit blasting under both hydrostatic and anisotropy pressure conditions, thereby analyzing the effects of the static stress and the dynamic pressure on the crack extension behavior. In addition, the distribution characteristics of blasting cracks are quantitatively characterized by the Hough transform method. The results indicate that the difficulty in crack coalescence for deep rock presplit blasting is primarily attributed to the reduction of tangential tensile stress caused by the in-situ stress. This prevents the formation of tensile fracture planes between boreholes due to restricted tangential displacements, which was demonstrated by the evolution of circumferential tensile stress and particle displacement vectors. Moreover, a crack coalescence criterion in presplit blasting was proposed to predict whether inter-borehole cracks penetrate based on the damage theory of stress wave superposition, and the relationship between charge diameter and hole spacing under various in-situ stress can guide the arrangement of boreholes, thus improving the presplit blasting effectiveness for deep rock.
To investigate the explosion flame development and propagation mechanism of coated aluminum powder, a shell and core structure of stearic acid-coated aluminum powder (SA@Al) was prepared using the solvent evaporation method. The influence of dust concentration on the explosion flame propagation characteristics of SA@Al dust with coating concentrations of 5%, 10%, and 15% was experimentally studied using an improved Hartmann tube. Flame propagation behavior was observed through high-speed photography, and the flame propagation velocity was calculated. The kinetic characteristics of the gas-phase explosion reaction were analyzed using CHEMKIN-PRO software to reveal the mechanism of SA@Al dust explosion flame propagation. The results indicated that as the dust concentration increased, the fullness and continuity of the explosion flames for 5%, 10%, and 15% SA@Al dust first increased and then decreased, with the average flame propagation velocity showing a trend of first rising and then falling. The flame propagation velocity reached its maximum at a dust concentration of 500 g/m³. In contrast, the explosion flame propagation velocity of pure aluminum powder reached its maximum at 750 g/m³, suggesting that the stearic acid coating layer promotes the propagation of the aluminum powder explosion flame. Additionally, under each dust concentration, the explosion flame of 10% coating concentration SA@Al was the most intense, with the highest average flame propagation velocity. The temperature rise of the SA@Al explosion flame with different dust concentrations mainly consisted of two stages: a rapid heating stage and a slow heating stage. The rapid heating stage exhibited higher temperature sensitivity for reactions R2, R11, and R10, while the slow heating stage exhibited higher temperature sensitivity for reactions R5 and R11. The dust concentration significantly affected the rate of temperature rise in the slow heating stage, resulting in the highest explosion equilibrium temperature for SA@Al at 500 g/m³. The combustion of the stearic acid coating promoted the oxidation of the aluminum core, thereby strengthening the explosion reaction. However, high dust concentration led to limitations in O radicals, which weakened the reaction intensity to some extent.
Founded in 1981 monthly
Sponsored byChinese Society of Theoretical and Applied Mechanics
Institude of Fluid Physics, CAEP
Editor-in-ChiefJianheng Zhao