Equivalent method of different grades of steel target plates under blast loads in the cabin based on plate thickness compensation
-
摘要: 针对舰船结构舱内爆炸响应实验,船用特种钢材价格昂贵,极大增加试验成本,开展舱内爆炸响应实验中普通钢材替代特种钢材的等效性研究。为确定不同材料靶板之间的等效关系,基于靶板结构中心变形相似原则,考虑靶板不破的情况下,结合薄板大变形理论分析,明确了板厚度与内爆响应的关系,提出靶板材料等效替换方法。运用有限元分析软件ATUODYN对封闭空间内爆炸载荷作用在921A钢、907A钢、Q235钢、Q355钢四种不同型号钢制靶板过程进行数值仿真,得到计算结果与试验结果最大误差值为5.6%,验证了数值仿真方法的正确性。通过对数值仿真计算得到的等效板厚拟合,结合不同材料靶板等效板厚与动态屈服强度之间的经验公式,验证了所提不同型号钢制靶板在舱内爆炸载荷作用下的等效方法具有合理性和良好的适用性。为用普通船用钢材替代船用特种钢材进行舱内爆炸实验提供了理论依据和数据参考。Abstract: Experimental investigation of internal explosion effects on ship structures still faces fundamental challenges. The prohibitively high costs of specialized naval steel plates impose disproportionate financial burdens on experimental budgets. Additionally, the restricted availability of standardized thickness variants has dimensional scaling conflicts during reduced-scale internal explosion experiments. This research proposes an equivalent substitution method for scaled model testing. The methodology enables a strategic replacement of naval steel with conventional steel while maintaining response similitude during the internal explosion of ship structures. The primary research objective focuses on validating the equivalent substitution method for conventional steel as a replacement for specialized naval steel without degrading the accuracy of the recorded data. According to the principle of central deformation similarity, the equivalence relationship among target plates of different grades was established under the assumption of structural integrity during the explosion. Based on the theory of large deflection of thin plates, the relationship between plate thickness and deformation was clarified thoroughly. An equivalence substitution method for different plate grades was explained, and an equivalence substitution method for different plates was proposed. It provides a theoretical foundation for substituting specialized naval steel with conventional steel. Comprehensive numerical simulations were conducted using the finite element analysis software AUTODYN to validate the proposed method. The simulations modeled the dynamic response of four different grades of steel target plates (921A steel, 907A steel, Q235 steel, and Q355 steel) under internal blast loading. The maximum deviation between the simulation results and experimental data is only 5.6%, thereby fully confirming the accuracy and reliability of the numerical model. The equivalence relationships among grades under internal blast loading with different charge volume ratios (0.1, 0.2, 0.4, 0.8, and 1.0) were further explored through extensive numerical simulations involving four plates grades (Q235, Q355, 907A, and 921A) with various thicknesses. A fitting analysis of equivalent plate thickness was conducted. By integrating empirical formulas correlating equivalent plate thickness with dynamic yield strength, the substituted target plate showed less than 10% deviation in central deformation compared to the original plate. The proposed equivalence method for steel target plates of different grades under internal explosion loads has been demonstrated to be both rational and practically applicable. This provides a theoretical foundation and empirical reference for substituting specialized naval steel with ordinary steel in internal explosion experiments.
-
表 1 靶板结构材料的本构参数
Table 1. Constitutive parameters for target plate structural materials
表 2 TNT炸药的JWL状态方程参数
Table 2. Parameters of the JWL equation of state for TNT explosive
C1/GPa C2/GPa r1 r2 ω D/(m·s−1) pCJ/GPa 373.8 3.747 4.15 0.9 035 6930 21 表 3 TNT炸药的装药参数
Table 3. Parameters for TNT explosive charges
mTNT/g (mTNT·V−1c)/(kg·m−3) rTNT/mm 120 0.1 25.99 230 0.2 32.23 466 0.4 40.71 920 0.8 51.29 1150 1.0 55.26 表 4 数值仿真结果与实验实测数据[12]对比
Table 4. Numerical simulation results compared with the experimental data[12]
靶板材料 工况 (mTNT·V−1c)/(kg·m−3) δ/mm wexp/mm wsim/mm $ \dfrac{w_{\text{sim}} - w_{\text{exp}}}{w_{{\text{exp}}}} /{\text{%}}$ Q235 1 0.1 2.3 56.8 54.2 −4.58 2 0.1 3.7 33.9 35.8 5.60 3 0.2 4.8 37.8 39.5 4.50 表 5 靶板变形计算结果
Table 5. Calculation results of target deformation
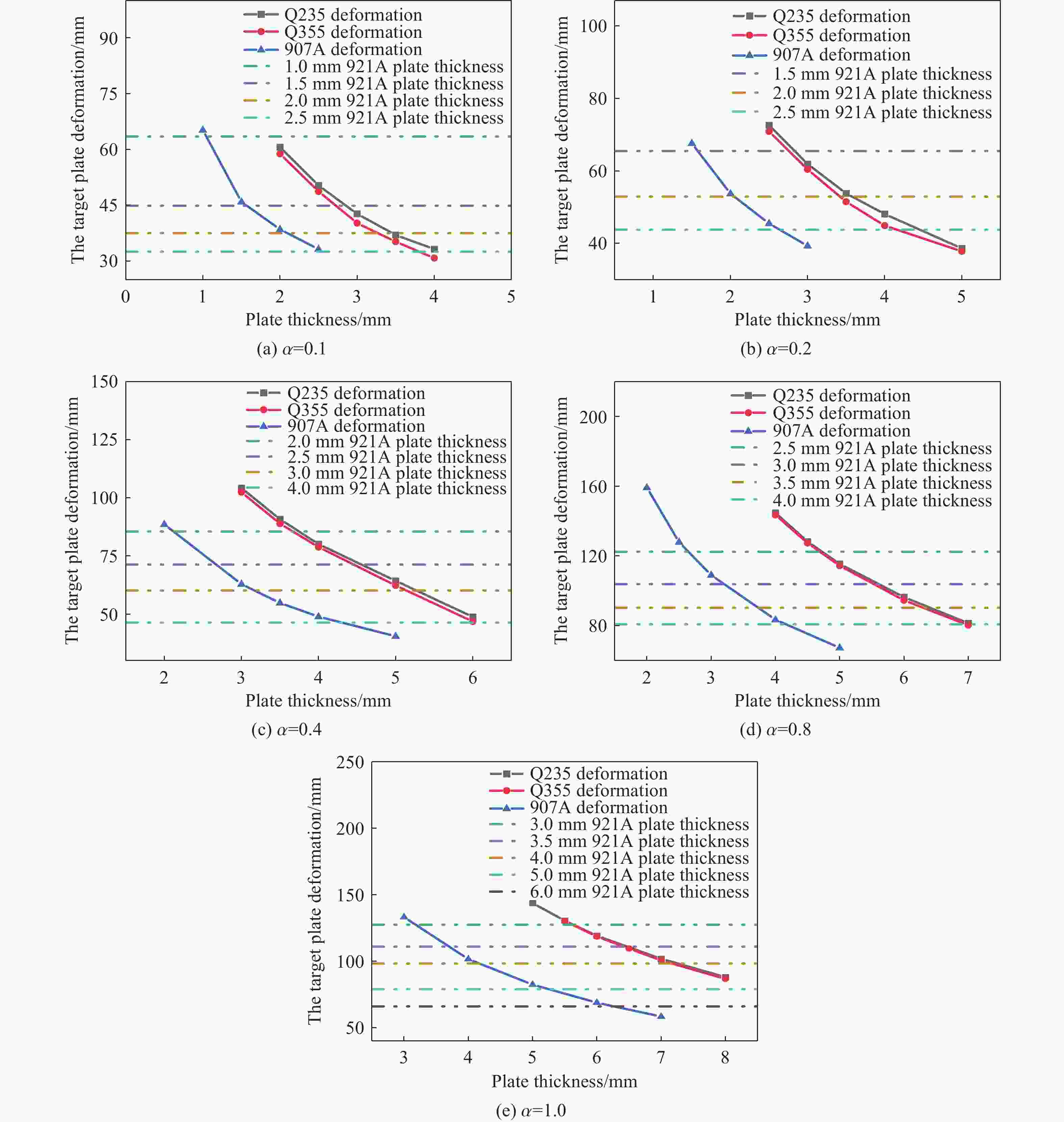
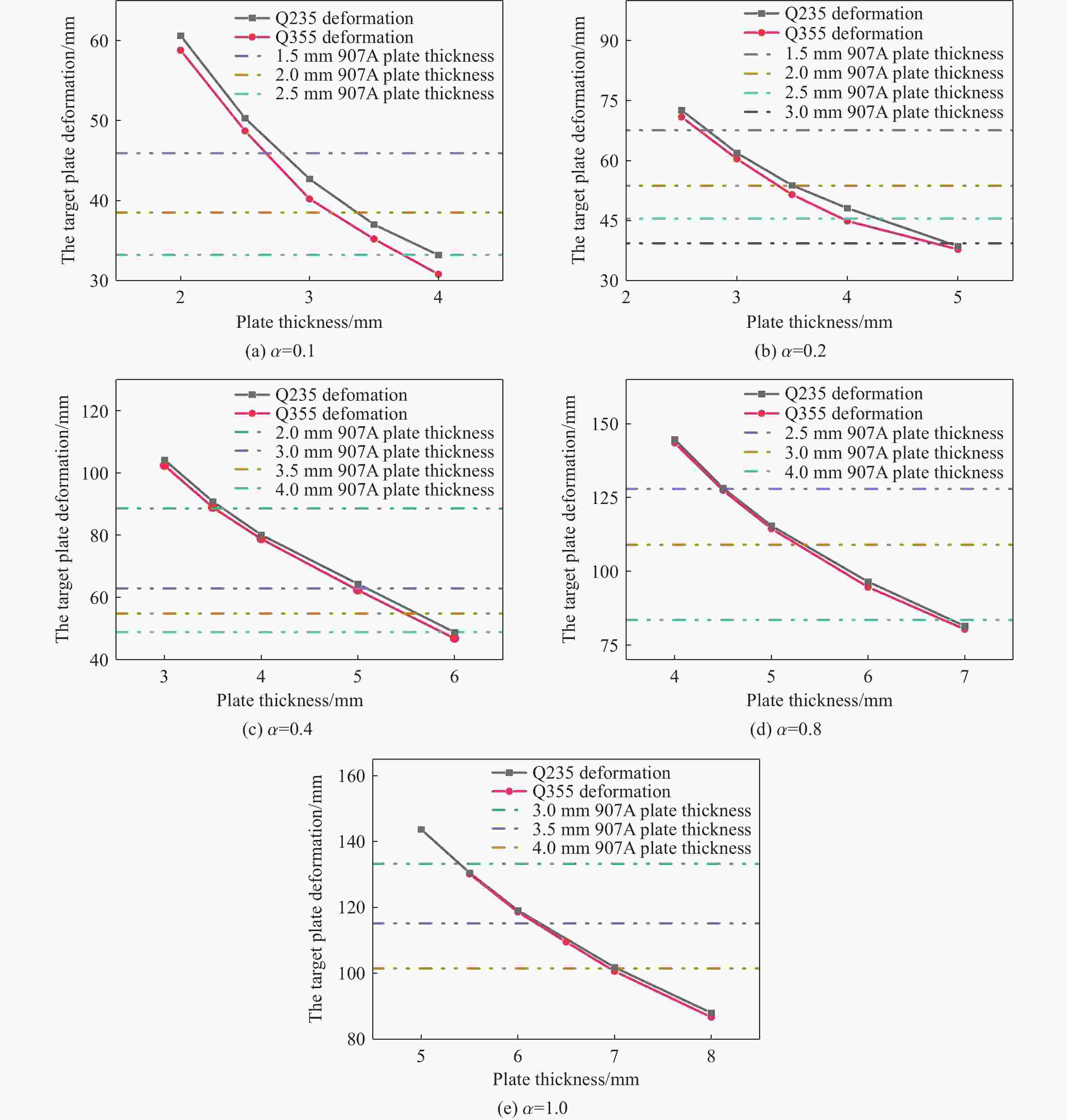
α/(kg·m−3) Q235 Q355 907A 921A δ/mm w/mm δ/mm w/mm δ/mm w/mm δ/mm w/mm 0.1 2.0 60.6 2.0 58.8 1.0 65.2 1.0 63.5 2.5 50.3 2.5 48.7 1.5 45.9 1.5 44.9 3.0 42.7 3.0 40.2 2.0 38.5 2.0 37.5 3.5 37.0 3.5 35.2 2.5 33.2 2.5 32.5 4.0 33.2 4.0 30.8 0.2 2.5 72.6 2.5 70.9 1.0 94.9 1.0 91.1 3.0 61.9 3.0 60.4 1.5 67.6 1.5 65.5 3.5 53.8 3.5 51.5 2.0 53.7 2.0 52.9 4.0 48.1 4.0 44.9 2.5 45.5 2.5 43.8 5.0 38.6 5.0 37.8 3.0 39.3 3.0 35.9 0.4 3.0 104.2 3.0 102.4 2.0 88.6 2.0 85.5 3.5 90.8 3.5 88.9 3.0 62.9 2.5 71.4 4.0 80.1 4.0 78.8 3.5 54.8 3.0 60.1 5.0 64.3 5.0 62.3 4.0 48.9 4.0 46.3 6.0 48.8 6.0 46.8 5.0 40.5 5.0 38.5 0.8 4.0 144.7 4.0 143.5 2.0 159.2 2.5 122.5 4.5 128.2 4.5 127.4 2.5 127.9 3.0 103.8 5.0 115.4 5.0 114.4 3.0 109.0 3.5 90.4 6.0 96.4 6.0 94.6 4.0 83.5 4.0 80.8 7.0 81.4 7.0 80.3 5.0 67.3 5.0 64.6 1.0 5.0 143.7 5.5 130.2 3.0 133.2 3.0 127.5 5.5 130.5 6.0 118.6 3.5 115.2 3.5 110.9 6.0 119.1 6.5 109.5 4.0 101.5 4.0 98.2 7.0 101.8 7.0 100.6 5.0 82.4 5.0 79.0 8.0 88.0 8.0 86.7 6.0 68.8 6.0 65.9 表 6 不同的屈服强度
Table 6. Yield strength of different target materials
靶材 屈服强度/MPa Q235 235 Q355 355 907A 390 921A 590 表 7 不同药量体积比和不同靶材对应的等效系数
Table 7. Equivalent coefficients corresponding to target materials at different charge mass-volume ratios
α/(kg·m−3) β 907A换成Q235 907A换成Q355 921A换成Q235 921A换成Q355 921A换成907A 0.1 1.05 5.03 0.61 0.98 0.08 0.2 1.06 5.28 0.64 1.07 0.10 0.4 1.06 5.32 0.64 1.12 0.10 0.8 1.12 5.88 0.65 1.16 0.10 1.0 1.13 5.94 0.66 1.19 0.10 表 8 907A替换成Q235后靶板变形
Table 8. Target plate deformation after 907A steel was replaced by Q235 steel
药量体积比/(kg/m3) 907A板厚/mm 等效系数β Q235板厚/mm 907A靶板中心变形/mm Q235靶板中心变形/mm 误差% 0.1 1.5 1.05 2.77 45.9 46.1 0.46 0.1 2.0 1.05 3.34 38.5 38.7 0.52 0.1 4.0 1.05 4.00 33.2 33.4 0.60 0.2 1.5 1.06 2.70 67.6 68.5 1.33 0.2 2.0 1.06 3.46 53.7 54.7 1.86 0.2 2.5 1.06 4.17 45.5 45.9 0.88 0.4 2.0 1.06 3.65 88.6 87.5 −1.24 0.8 2.5 1.12 4.54 127.9 127.0 −0.70 1.0 3.0 1.13 5.40 133.2 132.9 −0.23 表 9 907A替换成Q355后靶板变形
Table 9. Target plate deformation after 907A steel was replaced by Q355 steel
药量体积
比/(kg/m3)907A板
厚/mm等效
系数βQ355板
厚/mm907A靶板中
心变形/mmQ355靶板中
心变形/mm误差% 0.1 1.5 5.03 2.66 45.9 45.2 −1.53 0.1 2.0 5.03 3.16 38.5 38.9 1.04 0.1 4.0 5.03 3.67 33.2 33.3 0.30 0.2 1.5 5.28 2.65 67.6 67.4 −0.30 0.2 2.0 5.28 3.37 53.7 53.5 −0.37 0.2 2.5 5.28 3.95 45.5 45.7 0.44 0.4 2.0 5.32 3.56 88.6 88.0 −0.68 0.8 2.5 5.88 4.5 127.9 127.8 −0.08 1.0 3.0 5.94 5.25 133.2 135.7 1.88 表 10 921A替换成Q235后靶板变形
Table 10. Target plate deformation after 921A steel was replaced by Q235 steel
药量体积
比/(kg/m3)921A板
厚/mm等效
系数βQ235板
厚/mm921A靶板中
心变形/mmQ235靶板中
心变形/mm误差% 0.1 1.5 0.61 2.84 44.9 46.6 3.79 0.1 2.0 0.61 3.44 37.5 37.2 −0.80 0.1 2.5 0.61 4.12 32.5 31.2 −4.00 0.2 1.5 0.64 2.84 65.5 65.2 −0.46 0.2 2.0 0.64 3.58 52.9 52.8 −0.19 0.2 2.5 0.64 4.34 43.8 43.6 −0.46 0.4 2.0 0.64 3.78 85.5 84.2 −1.52 0.4 2.5 0.64 4.53 71.4 71.2 −0.28 0.8 2.5 0.65 4.74 122.5 121.5 −0.82 1.0 3.0 0.66 5.64 127.5 128.0 0.39 表 11 921A替换成Q355后靶板变形
Table 11. Target plate deformation after 921A steel was replaced by Q355 steel
药量体积
比/(kg/m3)921A板
厚/mm等效
系数βQ355板
厚/mm921A靶板中
心变形/mmQ355靶板中
心变形/mm误差% 0.1 1.5 0.98 2.72 44.9 44.5 −0.89 0.1 2.0 0.98 3.24 37.5 37.7 0.53 0.1 2.5 0.98 3.76 32.5 32.4 −0.31 0.2 1.5 1.07 2.74 65.5 64.7 −1.22 0.2 2.0 1.07 3.42 52.9 53.1 0.38 0.2 2.5 1.07 4.10 43.8 43.2 −1.37 0.4 2.0 1.12 3.70 85.5 84.3 −1.40 0.4 2.5 1.12 4.41 71.4 71.1 −0.42 0.8 2.5 1.16 4.70 122.5 122.0 −0.41 0.1 3.0 1.19 5.61 127.5 127.7 0.16 表 12 921A替换907A后靶板变形
Table 12. Target plate deformation after 921A steel was replaced by 90A steel
药量体积
比/(kg/m3)921A板
厚/mm等效
系数β907A板
厚/mm921A靶板中
心变形/mm907A靶板中
心变形/mm误差% 0.1 1.5 0.08 1.57 44.9 45.1 0.44 0.1 2.0 0.08 2.05 37.5 39.8 6.13 0.1 2.5 0.08 2.55 32.5 34.1 4.92 0.2 1.5 0.10 1.59 65.5 65.6 0.15 0.2 2.0 0.10 2.06 52.9 51.7 −2.28 0.2 2.5 0.10 2.58 43.8 43.9 0.23 0.4 2.0 0.10 2.08 85.5 85.7 0.23 0.4 2.5 0.10 2.61 71.4 70.6 −1.12 0.8 2.5 0.10 2.69 122.5 119.6 −2.37 1.0 3.0 0.10 3.15 127.5 127.2 −0.24 -
[1] 姚迪, 罗刚, 谢伟, 等. 裸装药舱内爆炸压力载荷规律研究 [J]. 武汉理工大学学报(交通科学与工程版), 2019, 43(1): 168–173. DOI: 10.3963/j.issn.2095-3844.2019.01.033.YAO D, LUO G, XIE W, et al. Study on the law of explosion pressure load in bare charge chamber [J]. Journal of Wuhan University of Technology (Transportation Science & Engineering), 2019, 43(1): 168–173. DOI: 10.3963/j.issn.2095-3844.2019.01.033. [2] 李营, 李延, 刘海燕, 等. 舱内爆炸作用下固支方板的变形与破坏模式 [J]. 船舶力学, 2021, 25(7): 927–934. DOI: 10.3969/j.issn.1007-7294.2021.07.010.LI Y, LI Y, LIU H Y, et al. Deformation and failure modes of clamped square plates under internal blast [J]. Journal of Ship Mechanics, 2021, 25(7): 927–934. DOI: 10.3969/j.issn.1007-7294.2021.07.010. [3] DRAGOS J, WU C Q, OEHLERS D J. Simplification of fully confined blasts for structural response analysis [J]. Engineering Structures, 2013, 56: 312–326. DOI: 10.1016/j.engstruct.2013.05.018. [4] EDRI I, SAVIR Z, FELDGUN V R, et al. On blast pressure analysis due to a partially confined explosion: I. experimental studies [J]. International Journal of Protective Structures, 2011, 2(1): 1–20. DOI: 10.1260/2041-4196.2.1.1. [5] SALVADO F C, TAVARES A J, TEIXEIRA-DIAS F, et al. Confined explosions: the effect of compartment geometry [J]. Journal of Loss Prevention in the Process Industries, 2017, 48: 126–144. DOI: 10.1016/j.jlp.2017.04.013. [6] SILVESTRINI M, GENOVA B, TRUJILLO F J L. Energy concentration factor. a simple concept for the prediction of blast propagation in partially confined geometries [J]. Journal of Loss Prevention in the Process Industries, 2009, 22(4): 449–454. DOI: 10.1016/j.jlp.2009.02.018. [7] FELDGUN V R, KARINSKI Y S, EDRI I, et al. Prediction of the quasi-static pressure in confined and partially confined explosions and its application to blast response simulation of flexible structures [J]. International Journal of Impact Engineering, 2016, 90: 46–60. DOI: 10.1016/j.ijimpeng.2015.12.001. [8] FELDGUN V R, KARINSKI Y S, YANKELEVSKY D Z. A simplified model with lumped parameters for explosion venting simulation [J]. International Journal of Impact Engineering, 2011, 38(12): 964–975. DOI: 10.1016/j.ijimpeng.2011.08.004. [9] HU Y, WU C Q, LUKASZEWICZ M, et al. Characteristics of confined blast loading in unvented structures [J]. International Journal of Protective Structures, 2011, 2(1): 21–43. DOI: 10.1260/2041-4196.2.1.21. [10] 刘博文, 龙仁荣, 张庆明, 等. 舱内爆炸角隅汇聚反射冲击波超压特性研究 [J]. 爆炸与冲击, 2023, 43(1): 012201. DOI: 10.11883/bzycj-2022-0232.LIU B W, LONG R R, ZHANG Q M, et al. Study on the corner overpressure characteristics of concentrated reflected shock wave due to internal blast in cabin [J]. Explosion and Shock Waves, 2023, 43(1): 012201. DOI: 10.11883/bzycj-2022-0232. [11] 侯海量, 朱锡, 梅志远. 舱内爆炸载荷及舱室板架结构的失效模式分析 [J]. 爆炸与冲击, 2007, 27(2): 151–158. DOI: 10.11883/1001-1455(2007)02-0151-08.HOU H L, ZHU X, MEI Z Y. Study on the blast load and failure mode of ship structure subject to internal explosion [J]. Explosion and Shock Waves, 2007, 27(2): 151–158. DOI: 10.11883/1001-1455(2007)02-0151-08. [12] 郑成. 舱内爆炸载荷下单层及多层层合板响应特性研究 [D]. 武汉: 武汉理工大学, 2018: 17–55. DOI: 10.27381/d.cnki.gwlgu.2018.000149.ZHENG C. Research on the dynamic response of single-layer and multi-layer plates under confined blast loading [D]. Wuhan: Wuhan University of Technology, 2018: 17–55. DOI: 10.27381/d.cnki.gwlgu.2018.000149. [13] 姚梦雷, 侯海量, 李典, 等. 舰船舱内爆炸载荷下Y形夹层板动响应及抗爆性能影响因素 [J]. 兵工学报, 2024, 45(3): 837–854. DOI: 10.12382/bgxb.2022.0761.YAO M L, HOU H L, LI D, et al. Dynamic response of Y-shaped sandwich plate and the influence factors of anti explosion performance under the explosion load in the warship cabin [J]. Acta Armamentarii, 2024, 45(3): 837–854. DOI: 10.12382/bgxb.2022.0761. [14] 王然辉, 李文胜, 杨世荣, 等. 基于易损性的目标标准化及其应用 [J]. 火力与指挥控制, 2017, 42(12): 105–110,114. DOI: 10.3969/j.issn.1002-0640.2017.12.022.WANG R H, LI W S, YANG S R, et al. Research on target standardization and application based on vulnerability [J]. Fire Control & Command Control, 2017, 42(12): 105–110,114. DOI: 10.3969/j.issn.1002-0640.2017.12.022. [15] 孔祥韶, 周沪, 郑成, 等. 基于饱和响应时间的封闭空间内爆炸载荷等效方法研究 [J]. 爆炸与冲击, 2019, 39(9): 092102. DOI: 10.11883/bzycj-2018-0183.KONG X S, ZHOU H, ZHENG C, et al. An equivalent calculation method for confined-blast load based on saturated response time [J]. Explosion and Shock Waves, 2019, 39(9): 092102. DOI: 10.11883/bzycj-2018-0183. [16] 王逸南, 张建伟, 王治, 等. 基于板厚补偿的921A钢与Q345钢靶板在截卵形弹体侵彻下的等效方法 [J]. 兵工学报, 2021, 42(11): 2465–2475. DOI: 10.3969/j.issn.1000-1093.2021.11.020.WANG Y N, ZHANG J W, WANG Z, et al. Equivalent method for 921A steel and Q345 steel target plates based on plate thickness compensation model under the penetration of truncated-oval nose projectile [J]. Acta Armamentarii, 2021, 42(11): 2465–2475. DOI: 10.3969/j.issn.1000-1093.2021.11.020. [17] 甘宏伟, 陈威, 李吉峰, 等. 加筋板架结构与均质靶板等效关系的数值分析 [J]. 四川兵工学报, 2010, 31(11): 20–22. DOI: 10.3969/j.issn.1006-0707.2010.11.007.GAN H W, CHEN W, LI J F, et al. Numerical analysis of the equivalent relationship between the stiffened plate frame structure and the homogeneous target plate [J]. Journal of Ordnance Equipment Engineering, 2010, 31(11): 20–22. DOI: 10.3969/j.issn.1006-0707.2010.11.007. [18] 宋卫东, 宁建国, 张中国, 等. 多层加筋靶板的侵彻模型与等效方法 [J]. 弹道学报, 2004, 16(3): 49–54. DOI: 10.3969/j.issn.1004-499X.2004.03.010.SONG W D, NING J G, ZHANG Z G, et al. Penetration model and equivalence method of multi-layered stiffened plates [J]. Journal of Ballistics, 2004, 16(3): 49–54. DOI: 10.3969/j.issn.1004-499X.2004.03.010. [19] 黄松. 舰船易损性分析中船用钢的等效靶研究 [D]. 太原: 中北大学, 2019: 61–70.HUANG S. Research on equivalent target of marine steel invulnerabilityanalysis of warship [D]. Taiyuan: North University of China, 2019: 61–70. [20] 郭子涛, 高斌, 郭钊, 等. 基于J-C模型的Q235钢的动态本构关系 [J]. 爆炸与冲击, 2018, 38(4): 804–810. DOI: 10.11883/bzycj-2016-0333.GUO Z T, GAO B, GUO Z, et al. Dynamic constitutive relation based on J-C model of Q235 steel [J]. Explosion and Shock Waves, 2018, 38(4): 804–810. DOI: 10.11883/bzycj-2016-0333. [21] 林莉, 支旭东, 范锋, 等. Q235B钢Johnson-Cook模型参数的确定 [J]. 振动与冲击, 2014, 33(9): 153–158,172. DOI: 10.13465/J.CNKI.JVS.2014.09.028.LIN L, ZHI X D, FAN F, et al. Determination of parameters of Johnson-Cook models of Q235B steel [J]. Journal of Vibration and Shock, 2014, 33(9): 153–158,172. DOI: 10.13465/J.CNKI.JVS.2014.09.028. [22] 姜涛, 纪冲, 刘影, 等. 爆炸荷载下Q345B钢圆管结构的损伤特性研究 [J]. 兵器装备工程学报, 2021, 42(1): 224–230. DOI: 10.11809/bqzbgcxb2021.01.040.JIANG T, JI C, LIU Y, et al. Study on damage effect of Q345B steel pipe subjected to blast load [J]. Journal of Ordnance Equipment Engineering, 2021, 42(1): 224–230. DOI: 10.11809/bqzbgcxb2021.01.040. [23] 朱昱. 基于Johnson-Cook模型的Q355B钢动态本构关系研究 [D]. 哈尔滨: 哈尔滨理工大学, 2019: 30–40.ZHU Y. Research on dynamic constitutive relationship of Q355B steel based on Johnson-Cook model [D]. Harbin: Harbin University of Science andTechnology, 2019: 30–40. [24] 李营, 汪玉, 吴卫国, 等. 船用907A钢的动态力学性能和本构关系 [J]. 哈尔滨工程大学学报, 2015, 36(1): 127–129. DOI: 10.3969/j.issn.1006-7043.201311093.LI Y, WANG Y, WU W G, et al. Dynamic mechanical behavior and constitutive relation of the ship-built steel 907A [J]. Journal of Harbin Engineering University, 2015, 36(1): 127–129. DOI: 10.3969/j.issn.1006-7043.201311093. [25] 陈继恩. 基于应力三轴度的材料失效研究 [D]. 武汉: 华中科技大学, 2012.CHEN J E. Research of material failure basic on stress triaxiality [D]. Wuhan: Huazhong University of Science and Technology, 2012. [26] 徐磊, 卢永锦. 火灾爆炸作用下921A钢力学性能及本构关系 [J]. 船舶工程, 2019, 41(1): 69–73. DOI: 10.13788/j.cnki.cbgc.2019.01.13.XU L, LU Y J. Mechanical properties and constitutive relation of steel 921A under effects of fire and explosion [J]. Ship Engineering, 2019, 41(1): 69–73. DOI: 10.13788/j.cnki.cbgc.2019.01.13. [27] NURICK G N, SHAVE G C. The deformation and tearing of thin square plates subjected to impulsive loads—an experimental study [J]. International Journal of Impact Engineering, 1996, 18(1): 99–116. DOI: 10.1016/0734-743X(95)00018-2. [28] ZHAO Y P. Saturated duration of rectangular pressure pulse applied to rectangular plates with finite-deflections [J]. Mechanics Research Communications, 1997, 24(6): 659–666. DOI: 10.1016/S0093-6413(97)00084-0. [29] ZHU L, YU T X. Saturated impulse for pulse-loaded elastic-plastic square plates [J]. International Journal of Solids and Structures, 1997, 34(14): 1709–1718. DOI: 10.1016/S0020-7683(96)00111-4. [30] 郑成, 孔祥韶, 周沪, 等. 全封闭舱内爆炸载荷作用下薄板变形研究 [J]. 兵工学报, 2018, 39(8): 1582–1589. DOI: 10.3969/j.issn.1000-1093.2018.08.015.ZHENG C, KONG X S, ZHOU H, et al. On the deformation of thin plates subjected to confined blast loading [J]. Acta Armamentarii, 2018, 39(8): 1582–1589. DOI: 10.3969/j.issn.1000-1093.2018.08.015. -


下载: