Evaluation method of human traumatic brain injury in environments of strong shockwave
-
摘要: 为了评估爆炸冲击作用下人员颅脑损伤情况,亟待建立一套科学、合理的综合评价方法。利用具有中国人体尺寸特征的高仿真物理假人模型及传感系统开展3种不同冲击波强度的激波管实验,系统获得了高仿真物理假人模型头部表面超压、头部质心加速度和角速度以及颈部力和扭矩随时间的变化过程。依据爆炸冲击人体颅脑短时和长时致伤效应,基于3 ms准则、头部损伤准则(head injury criterion, HIC)、颅脑损伤标准(brain injury criteria, BrIC)和颈部损伤指标进行损伤判定并对人体损伤程度进行了综合研判。结果显示,在3种不同强冲击环境下,冲击波超压作用时间小于5 ms,加速度和颈部力持续5~6 ms,角速度和颈部扭矩持续50~244 ms;高仿真物理假人模型头部质心合成加速度峰值分别为(54.60±3.69)g、(102.00±1.72)g和(161.50±6.36)g,计算得到的HIC15显示未达到头部损伤阈值;根据头部表面压力载荷和BrIC综合判定,颅脑损伤概率显著增加,应采取有效防护措施降低损伤风险。Abstract: Due to the rapid development of military technology, there are more deployments of new arms, high-tech weapons and large-caliber shells in regional and local warfare, contributing to a sharp surge in the incidences of craniocerebral trauma among military personnel due to blast shockwaves. Thus, blast-induced traumatic brain injury at present is considered as one of the most prominent forms of injury on the battlefield. In order to assess the craniocerebral injury of personnel under the effect of the blast shock wave, it is urgent to establish a set of scientific, rational and comprehensive evaluation methods. Using a realistic physical manikin model with Chinese human body size characteristics and a sensing system to carry out three kinds of shock wave intensity shock tube experiments, this study systematically obtained the change process of head surface overpressure, head centroid acceleration and angular velocity as well as neck force and torque of the realistic physical manikin model with time. Based on the short-term and long-term injury effects of the explosion on the human cranium and brain, based on the 3 ms criterion, head injury criterion (HIC), brain injury criteria (BrIC) and neck injury indicators to determine the damage and the degree of damage to the human body to carry out a comprehensive research and judgment. The results showed that under three different strong shockwave environments, the shock wave overpressure duration was less than 5 ms, acceleration and neck force lasted 5–6 ms, and angular velocity and neck torque lasted 50–244 ms; the peak centroid resultant acceleration in the head of the realistic physical manikin model was (54.60±3.69)g, (102.00±1.72)g and (161.50±6.36)g, and the calculated HIC15 showed that the head injury threshold was not reached; according to the combined determination of head surface pressure load and BrIC, the probability of craniocerebral injury increased significantly, and protective measures should be taken to reduce the risk of injury.
-
表 1 不同强冲击环境下不同部位的峰值超压
Table 1. Peak overpressures at different sites in different strong shockwave environments
冲击压力/kPa 峰值超压/kPa 前部 前额 头顶 枕部 眼部 耳朵 77 179.6±13.8 171.6±12.3 83.0±4.3 61.1±4.2 230.7±18.1 199.5±15.5 130 334.9±3.2 318.3±1.9 137.6±0.6 119.8±2.1 433.2±2.4 367.2±8.4 203 568.7±10.3 541.6±11.4 205.6±13.4 203.1±2.5 762.4±19.2 601.8±4.7 表 2 不同强冲击环境下不同部位的反射系数
Table 2. Reflection coefficients at different sites in different strong shockwave environments
冲击压力/kPa 反射系数 前部 前额 头顶 枕部 眼部 耳朵 77 2.30±0.06 2.20±0.05 1.10±0.01 0.80±0.02 3.00±0.08 2.60±0.08 130 2.60±0.04 2.40±0.03 1.00±0.01 0.90±0.02 3.30±0.04 2.80±0.08 203 2.80±0.01 2.70±0.02 1.00±0.05 1.00±0.01 3.80±0.04 3.00±0.04 表 3 不同强冲击环境下模型头部的质心加速度最大值
Table 3. The maximum centroid accelerations of the model head in different strong shockwave environments
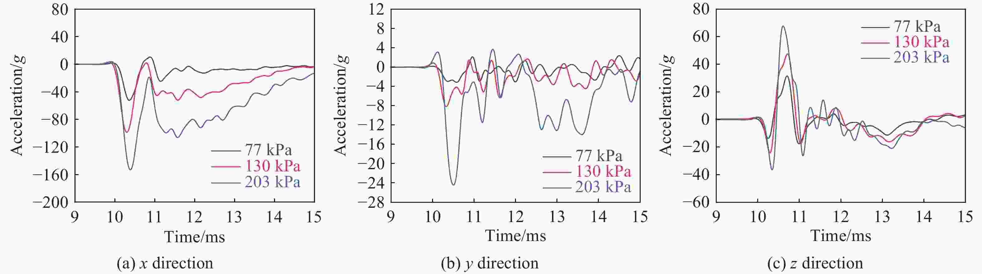
冲击压力/kPa 头部质心加速度最大值/g x方向 y方向 z方向 合成加速度 77 −54.40±3.77 −3.30±0.25 32.60±1.32 54.60±3.69 130 −99.30±1.03 −8.40±0.18 47.50±0.37 102.00±1.72 203 −153.50±0.42 −230±1.31 69.30±2.68 161.50±6.36 表 4 不同强冲击环境下模型头部的质心角速度和旋转角度最大值
Table 4. The maximum angular velocity and rotational angle of the model head in different strong shockwave environments
冲击压力/kPa 头部质心角速度最大值/((°)∙s−1) 头部质心旋转角度最大值/(°) x方向 y方向 z方向 x方向 y方向 z方向 77 57.30±12.28 417.40±44.57 53.96±2.48 0.55±0.20 5.10±0.60 0.88±0.08 130 152.86±5.23 1152.81 ±22.09114.43±46.65 2.50±0.10 22.73±0.71 1.58±0.18 203 442.65±18.12 2277.09 ±116.33179.65±8.78 10.24±0.42 55.68±4.56 3.49±0.21 表 5 不同强冲击环境下颈部的力最大值
Table 5. The maximum forces of the model neck in different strong shockwave environments
冲击压力/kPa 颈部力最大值/N x方向 y方向 z方向 77 340±22 30±5 340±37 130 600±5 50±1 660±14 203 950±2 80±6 970±78 表 6 不同强冲击环境下颈部的扭矩最大值
Table 6. The maximum torque of the model neck in different strong shockwave environments
冲击压力/kPa 颈部最大扭矩/(N·m) x方向 y方向 z方向 77 2.650±0.431 15.250±2.076 0.990±0.161 130 4.230±0.781 32.140±0.703 1.720±0.058 203 9.420±0.491 60.240±2.465 3.220±0.205 表 7 不同强冲击环境下的损伤参数
Table 7. Injury parameters in different strong shock wave environments
冲击压力/kPa a/g h15 b Fx/N Fz/N My/(N·m) 77 54.60±3.69 6.00±1.06 0.130±0.014 340±22 340±37 15.250±2.076 130 102.00±1.72 44.50±0.98 0.360±0.006 600±5 660±14 32.140±0.703 203 161.50±6.36 221.70±20.87 0.720±0.037 950±2 970±78 60.240±2.465 -
[1] MAC DONALD C L, JOHNSON A M, WIERZECHOWSKI L, et al. Prospectively assessed clinical outcomes in concussive blast vs nonblast traumatic brain injury among evacuated US military personnel [J]. JAMA Neurology, 2014, 71(8): 994. DOI: 10.1001/jamaneurol.2014.1114. [2] TANIELIAN T, JAYCOX L H. Invisible wounds of war: Psychological and cognitive injuries, Their consequences, and services to assist recovery [M]. Santa Monica: RAND Corporation, 2008. [3] PHILIPPENS M M G M, OUELLET S. Introduction to blast in the context of blast-induced TBI [M]//RISLING M, DAVIDSSON J. Animal Models of Neurotrauma. New York: Springer, 2019: 117–150. [4] ENGEL C C, HOCH E, SIMMONS M, et al. The neurological effects of repeated exposure to military occupational blast: Implications for prevention and health [M]. Santa Monica: RAND, 2019. [5] CERNAK I, NOBLE-HAEUSSLEIN L J. Traumatic brain injury: an overview of pathobiology with emphasis on military populations [J]. Journal of Cerebral Blood Flow & Metabolism, 2010, 30(2): 255–266. DOI: 10.1038/jcbfm.2009.203. [6] RISDALL J E, MENON D K. Traumatic brain injury [J]. Philosophical Transactions of the Royal Society B: Biological Sciences, 2011, 366(1562): 241–250. DOI: 10.1098/rstb.2010.0230. [7] YOUNG L A, RULE G T, BOCCHIERI R T, et al. Biophysical mechanisms of traumatic brain injuries [J]. Seminars in Neurology, 2015, 35(1): 5–11. DOI: 10.1055/s-0035-1544242. [8] MOSS W C, KING M J, BLACKMAN E G. Skull flexure from blast waves: A mechanism for brain injury with implications for helmet design [J]. Physical Review Letters, 2009, 103(10): 108702. DOI: 10.1103/PhysRevLett.103.108702. [9] DU Z B, LI Z J, WANG P, et al. Revealing the effect of skull deformation on intracranial pressure variation during the direct interaction between blast wave and surrogate head [J]. Annals of Biomedical Engineering, 2022, 50(9): 1038–1052. DOI: 10.1007/s10439-022-02982-5. [10] BOLANDER R, MATHIE B, BIR C, et al. Skull flexure as a contributing factor in the mechanism of injury in the rat when exposed to a shock wave [J]. Annals of Biomedical Engineering, 2011, 39(10): 2550–2559. DOI: 10.1007/s10439-011-0343-0. [11] LOCKHART P, CRONIN D, WILLIAMS K, et al. Investigation of head response to blast loading [J]. Journal of Trauma: Injury, Infection & Critical Care, 2011, 70(2): E29–E36. DOI: 10.1097/TA.0b013e3181de3f4b. [12] TAN X G, KANNAN R, PRZEKWAS A J, et al. An enhanced articulated human body model under C4 blast loadings [C]//ASME 2012 International Mechanical Engineering Congress and Exposition. Houston: American Society of Mechanical Engineers, 2012: 821–828. DOI: 10.1115/IMECE2012-89067. [13] TAN X G, PRZEKWAS A J, RULE G, et al. Modeling articulated human body dynamics under a representative blast loading [C]//ASME 2011 International Mechanical Engineering Congress and Exposition. Denver: ASME, 2011: 71–78. DOI: 10.1115/IMECE2011-64331. [14] SALZAR R S, TREICHLER D, WARDLAW A, et al. Experimental investigation of cavitation as a possible damage mechanism in blast-induced traumatic brain injury in post-mortem human subject heads [J]. Journal of Neurotrauma, 2017, 34(8): 1589–1602. DOI: 10.1089/neu.2016.4600. [15] WARD J W, MONTGOMERY L H, CLARK S L. A mechanism of concussion: a theory [J]. Science, 1948, 107(2779): 349–353. DOI: 10.1126/science.107.2779.349. [16] GOELLER J, WARDLAW A, TREICHLER D, et al. Investigation of cavitation as a possible damage mechanism in blast-induced traumatic brain injury [J]. Journal of Neurotrauma, 2012, 29(10): 1970–1981. DOI: 10.1089/neu.2011.2224. [17] COURTNEY A C, COURTNEY M W. A thoracic mechanism of mild traumatic brain injury due to blast pressure waves [J]. Medical Hypotheses, 2009, 72(1): 76–83. DOI: 10.1016/j.mehy.2008.08.015. [18] SIMARD J M, PAMPORI A, KELEDJIAN K, et al. Exposure of the thorax to a sublethal blast wave causes a hydrodynamic pulse that leads to perivenular inflammation in the brain [J]. Journal of Neurotrauma, 2014, 31(14): 1292–1304. DOI: 10.1089/neu.2013.3016. [19] WARD C, CHAN M, NAHUM A. Intracranial pressure: a brain injury criterion [C]//24th Stapp Car Crash Conference. California, USA: SAE, 1980. DOI: 10.4271/801304. [20] 孙艳馥, 王欣. 爆炸冲击波对人体损伤与防护分析 [J]. 火炸药学报, 2008, 31(4): 50–53. DOI: 10.14077/j.issn.1007-7812.2008.04.022.SUN Y F, WANG X. Analysis of human body injury due to blast wave and protection method [J]. Chinese Journal of Explosives and Propellants, 2008, 31(4): 50–53. DOI: 10.14077/j.issn.1007-7812.2008.04.022. [21] 罗棕木, 李克, 陈浩, 等. 爆炸冲击波作用下假人头部加速度响应测试与损伤分析 [J]. 爆炸与冲击, 2024, 44(12): 121435. DOI: 10.11883/bzycj-2024-0242.LUO Z M, LI K, CHEN H, et al. Acceleration response test and damage analysis of dummy head under explosion shock wave [J]. Explosion and Shock Waves, 2024, 44(12): 121435. DOI: 10.11883/bzycj-2024-0242. [22] KING A I, YANG K H, ZHANG L Y, et al. Is head injury caused by linear or angular acceleration? [C]//IRCOBI Conference. Lisbon: IRCOBI, 2003. [23] ZHANG L Y, YANG K H, KING A I. A proposed injury threshold for mild traumatic brain injury [J]. Journal of Biomechanical Engineering, 2004, 126(2): 226–236. DOI: 10.1115/1.1691446. [24] 颜凌波, 解文娜, 许伟, 等. 正面碰撞中基于中国人体尺寸的假人损伤响应研究 [J]. 汽车工程, 2019, 41(3): 289–297. DOI: 10.19562/j.chinasae.qcgc.2019.03.008.YAN L B, XIE W N, XU W, et al. Injury responses of the dummy based on Chinese anthropometric data in frontal crash [J]. Automotive Engineering, 2019, 41(3): 289–297. DOI: 10.19562/j.chinasae.qcgc.2019.03.008. [25] 汤骏. 基于中国人体尺寸假人头部仿真研究 [D]. 长沙: 湖南大学, 2016.TANG J. Simulation study on Chinese dummy head model [D]. Changsha: Hunan University, 2016. [26] 石波. 爆炸冲击工况下基于中国人体体征的乘员损伤研究 [D]. 长沙: 湖南大学, 2022.SHI B. Study on occupant injury based on Chinese body signs under blastimpact condition [D]. Changsha: Hunan University, 2022. [27] North Atlantic Treaty Organization. Procedures for evaluating the protection level of armoured vehicles: volume 2: mine threat: AEP-55 VOL 2: 2011 [S]. North Atlantic Treaty Organization, 2011. [28] WANG J L, KANG Y, GUAN J L, et al. Investigation of the uniformity of explosive shock wave fronts in variable cross-section shock tubes [C]//2024 4th International Conference on Electronic Information Engineering and Computer (EIECT). Shenzhen: Institute of Electrical and Electronics Engineers, 2024: 880–883. DOI: 10.1109/EIECT64462.2024.10867126. [29] 张仕忠, 李进平, 康越, 等. 激波管模拟产生近场爆炸冲击波 [J]. 爆炸与冲击, 2024, 44(12): 121434. DOI: 10.11883/bzycj-2024-0204.ZHANG S Z, LI J P, KANG Y, et al. Generation of near-field blast wave by means of shock tube [J]. Explosion and Shock Waves, 2024, 44(12): 121434. DOI: 10.11883/bzycj-2024-0204. [30] 薛琨, 郭泽荣, 唐帆. 爆炸毁伤与防护数值模拟研究 [M]. 北京: 北京理工大学出版社, 2020.XUE K, GUO Z R, TANG F. Numerical studies of the blast effects on the human body and the protections based on the refined human body model [M]. Beijing: Beijing Institute of Technology Press, 2020. [31] DIONNE J P, LEVINE J, MAKRIS A. Acceleration-based methodology to assess the blast mitigation performance of explosive ordnance disposal helmets [J]. Shock Waves, 2018, 28(1): 5–18. DOI: 10.1007/s00193-017-0737-5. [32] LOCKHART P A, CRONIN D S. Helmet liner evaluation to mitigate head response from primary blast exposure [J]. Computer Methods in Biomechanics and Biomedical Engineering, 2015, 18(6): 635–645. DOI: 10.1080/10255842.2013.829460. [33] United Nations Economic Commission for Europe. Regulation No 94 of the Economic Commission for Europe of the United Nations (UN/ECE): uniform provisions concerning the approval of vehicles with regard to the protection of the occupants in the event of a frontal collision [S]. Geneva, Switzerland: United Nations Economic Commission for Europe, 2012. [34] VERSACE J. A review of the severity index [C]//Proceeding of the 15th Stapp Car Crash Conference. San Diego: Society of Automotive Engineers, 1971: 771–796. DOI: 10.4271/710881. [35] ROWSON B, DUMA S M. A review of head injury metrics used in automotive safety and sports protective equipment [J]. Journal of Biomechanical Engineering, 2022, 144(11): 110801. DOI: 10.1115/1.4054379. [36] ZHAN X H, LI Y H, LIU Y Z, et al. The relationship between brain injury criteria and brain strain across different types of head impacts can be different [J]. Journal of the Royal Society Interface, 2021, 18(179): 20210260. DOI: 10.1098/rsif.2021.0260. [37] TAKHOUNTS E G, CRAIG M J, MOORHOUSE K, et al. Development of brain injury criteria (BrIC) [J]. Stapp Car Crash Journal, 2013, 57: 243–266. DOI: 10.4271/2013-22-0010. [38] 中华人民共和国国家质量监督检验检疫总局, 中国国家标准化管理委员会. 汽车正面碰撞的乘员保护: GB 11551—2014 [S]. 北京: 中国标准出版社, 2015.General Administration of Quality Supervision, Inspection and Quarantine of the Peopleʼs Republic of China, Standardization Administration of the Peopleʼs Republic of China. The protection of the occupants in the event of a frontal collision for motor vehicle: GB 11551—2014 [S]. Beijing: Standards Press of China, 2015. [39] 张毅, 李志斌. 基于超压和冲量的爆炸冲击波杀伤概率计算模型 [J]. 指挥控制与仿真, 2023, 45(1): 95–101. DOI: 10.3969/i.issn.1673-3819.2023.01.016.ZHANG Y, LI Z B. Calculation model of killing probability of explosion shock wave based on ovepressure and impulse [J]. Command Control and Simulation, 2023, 45(1): 95–101. DOI: 10.3969/i.issn.1673-3819.2023.01.016. [40] IWASKIW A S, OTT K A, ARMIGER R S, et al. The measurement of intracranial pressure and brain displacement due to short-duration dynamic overpressure loading [J]. Shock Waves, 2018, 28(1): 63–83. DOI: 10.1007/s00193-017-0759-z. [41] SKOTAK M, ALAY E, ZHENG J Q, et al. Effective testing of personal protective equipment in blast loading conditions in shock tube: comparison of three different testing locations [J]. PLoS One, 2018, 13(6): e0198968. DOI: 10.1371/journal.pone.0198968. [42] ALAY E, SKOTAK M, MISISTIA A, et al. Dynamic loads on human and animal surrogates at different test locations in compressed-gas-driven shock tubes [J]. Shock Waves, 2018, 28(1): 51–62. DOI: 10.1007/s00193-017-0762-4. [43] OUELLET S, PHILIPPENS M. The multi-modal responses of a physical head model subjected to various blast exposure conditions [J]. Shock Waves, 2018, 28(1): 19–36. DOI: 10.1007/s00193-017-0771-3. [44] SUNDARAMURTHY A. Understanding the effects of blast wave on the intracranial pressure and Traumatic Brain Injury in rodents and humans using experimental shock tube and numerical simulations [D]. Lincoln, Nebraska: University of Nebraska-Lincoln, 2014. [45] CHANDRA N, SUNDARAMURTHY A, GUPTA R K. Validation of laboratory animal and surrogate human models in primary blast injury studies [J]. Military Medicine, 2017, 182(S1): 105–113. DOI: 10.7205/MILMED-D-16-00144. [46] 康越, 张仕忠, 张远平, 等. 基于激波管评价的单兵头面部装备冲击波防护性能研究 [J]. 爆炸与冲击, 2021, 41(8): 085901. DOI: 10.11883/bzycj-2020-0395.KANG Y, ZHANG S Z, ZHANG Y P, et al. Research on anti-shockwave performance of the protective equipment for the head of a soldier based on shock tube evaluation [J]. Explosion and Shock Waves, 2021, 41(8): 085901. DOI: 10.11883/bzycj-2020-0395. [47] MAACH S, VON ROSEN B, MCCAULEY L, et al. Comparison of Hybrid Ⅲ head response to shock tube and explosive blast loading [C]//Conference proceedings of International Research Council on Biomechanics of Injury. Zurich: IRCOBI, 2017. [48] GANPULE S, SALZAR R, CHANDRA N. Response of post-mortem human head under primary blast loading conditions: Effect of blast overpressures [C]//ASME 2013 International Mechanical Engineering Congress and Exposition. San Diego: American Society of Mechanical Engineers, 2013: V03AT03A010. DOI: 10.1115/IMECE2013-63910. [49] DU Z B, ZHANG J R, WANG X H, et al. Unveiling human vulnerability and a new interspecies scaling law for brain injury under blast loading [J]. Extreme Mechanics Letters, 2024, 70: 102179. DOI: 10.1016/j.eml.2024.102179. [50] WU T T, SATO F, ANTONA-MAKOSHI J, et al. Integrating human and nonhuman primate data to estimate human tolerances for traumatic brain injury [J]. Journal of Biomechanical Engineering, 2022, 144(7): 071003. DOI: 10.1115/1.4053209. -


下载: