• ISSN 1001-1455  CN 51-1148/O3
  • EI、Scopus、CA、JST、EBSCO、DOAJ收录
  • 力学类中文核心期刊
  • 中国科技核心期刊、CSCD统计源期刊

细长薄壁弹冲击下高强钢-混凝土复合结构的厚度极限计算模型

朱擎 李述涛 陈叶青 马上 石如星 宋新双

朱擎, 李述涛, 陈叶青, 马上, 石如星, 宋新双. 细长薄壁弹冲击下高强钢-混凝土复合结构的厚度极限计算模型[J]. 爆炸与冲击. doi: 10.11883/bzycj-2025-0023
引用本文: 朱擎, 李述涛, 陈叶青, 马上, 石如星, 宋新双. 细长薄壁弹冲击下高强钢-混凝土复合结构的厚度极限计算模型[J]. 爆炸与冲击. doi: 10.11883/bzycj-2025-0023
ZHU Qing, LI Shutao, CHEN Yeqing, MA Shang, SHI Ruxing, SONG Xinshuang. Calculation model for the thickness limit of high-strength steel-concrete composite structures under the impact of slender thin-walled projectiles[J]. Explosion And Shock Waves. doi: 10.11883/bzycj-2025-0023
Citation: ZHU Qing, LI Shutao, CHEN Yeqing, MA Shang, SHI Ruxing, SONG Xinshuang. Calculation model for the thickness limit of high-strength steel-concrete composite structures under the impact of slender thin-walled projectiles[J]. Explosion And Shock Waves. doi: 10.11883/bzycj-2025-0023

细长薄壁弹冲击下高强钢-混凝土复合结构的厚度极限计算模型

doi: 10.11883/bzycj-2025-0023
基金项目: 目标易损性评估全国重点实验室自主开放基金(YSX2024ZZYS001);
详细信息
    作者简介:

    朱 擎(1997- ),男,博士生,zq953783236@163.com

    通讯作者:

    李述涛(1984- ),男,博士,高级工程师,list16@tsinghua.org.cn

  • 中图分类号: O385

Calculation model for the thickness limit of high-strength steel-concrete composite structures under the impact of slender thin-walled projectiles

  • 摘要: 针对细长薄壁弹冲击下的高强钢-混凝土复合结构厚度极限计算问题,开展了细长薄壁弹冲击复合靶试验,基于试验结果分析了复合结构防护机理和弹体结构的破坏模式;在原有厚度极限计算模型的基础上,考虑了弹体结构强度这一关键因素,提出了新的厚度极限计算模型,并对相关参数经验性进行了讨论。研究结果表明:高强钢-混凝土复合结构的防护机理在于高强钢提供材料强度,混凝土背板提供支撑刚度,二者优势互补;由于细长薄壁弹体在冲击过程中易发生压缩胀裂破坏,计算模型必须考虑弹体结构强度对冲击效应的影响;复合结构的设计需同时兼顾高强钢力学性能和复合结构厚度极限2个方面。此外,本文计算模型存在参数具有经验性、计算结果偏保守等不足,后续研究还需对该模型加以修正。
  • 图  1  试验弹体和复合靶体

    Figure  1.  Projectile and composite target

    图  2  5 mm高强钢-90 mm C60钢筋混凝土复合靶破坏情况

    Figure  2.  Damage situation of 5 mm high-strength steel-90 mm C60 composite target

    图  3  10 mm高强钢-120 mm C60钢筋混凝土复合靶破坏情况

    Figure  3.  Damage situation of 10 mm high-strength steel-120 mm C60 reinforced concrete composite target

    图  4  弹体破坏情况和冲击过程

    Figure  4.  The damage conditions of the projectile and the impact process

    图  5  弹体结构的破坏模式

    Figure  5.  Failure modes of projectile structure

    图  6  高强钢-混凝土复合结构的破坏/抵抗模式

    Figure  6.  Failure/resistance modes of high - strength steel - concrete composite structures

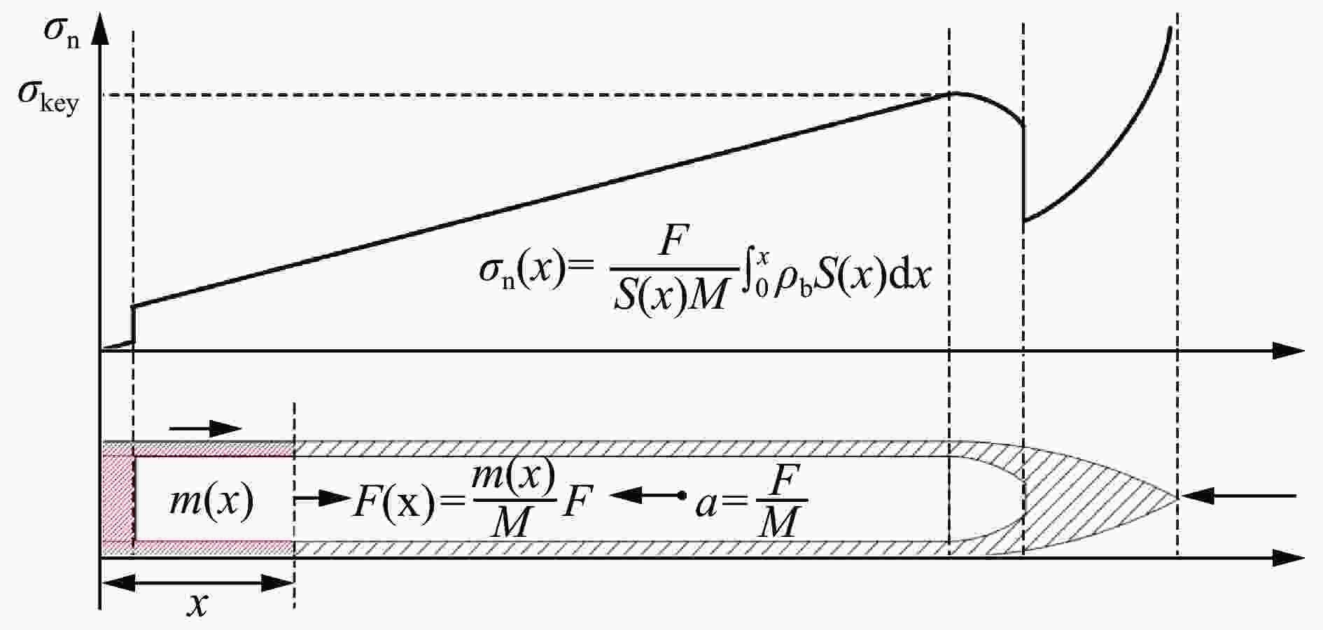
    图  7  弹体结构轴向应力分布

    Figure  7.  Axial stress distribution in the projectile structure

    图  8  弹体结构破坏下的厚度极限分析模型

    Figure  8.  Analytical modeling of thickness limits under damage of projectile structures

    图  9  弹筒与塞块速度时程曲线的3种情况

    Figure  9.  3 cases of the velocity time course curves of the cartridge and the block

    图  10  速度和位移时程曲线理论预测结果

    Figure  10.  Theoretical prediction results of velocity and displacement time-history curves

    图  11  弹体轴向应力分布理论计算结果

    Figure  11.  Theoretical calculation results of projectile axial stress distribution

    图  12  不同冲击速度下高强钢冲切比

    Figure  12.  The punching ratio of high-strength steel plates under different impact velocitie

    图  13  不同冲击速度下高强钢与C60混凝土板的厚度极限

    Figure  13.  The thickness limits of the high strenght steel and the C60 reinforced concrete backplates at different impact velocities

    表  1  试验值和理论预测值的对比

    Table  1.   Comparison between the experimental values and the theoretically predicted values

    靶体 弹速/(m·s−1) 冲切深度/mm 弹体剩余长度/mm
    实测值 理论值 实测值 理论值
    5 mm钢-90 mm C60钢筋混凝土 350 5.4
    10 mm钢-120 mm C60钢筋混凝土 350 3.75 4.3 170.4 172
    下载: 导出CSV
  • [1] 任辉启, 穆朝民, 刘瑞朝, 等. 精确制导武器侵彻效应与工程防护 [M]. 北京: 科学出版社, 2016: 27–30.
    [2] 杨秀敏, 邓国强. 常规钻地武器破坏效应的研究现状和发展 [J]. 后勤工程学院学报, 2016, 32(5): 1–9. DOI: 10.3969/j.issn.1672-7843.2016.05.001.

    YANG X M, DENG G Q. The research status and development of damage effect of conventional earth penetration weapon [J]. Journal of Logistical Engineering University, 2016, 32(5): 1–9. DOI: 10.3969/j.issn.1672-7843.2016.05.001.
    [3] 赖建中, 何勇, 任辉启. UHPC防护工程材料研究进展 [J]. 防护工程, 2023, 45(1): 1–7. DOI: 10.3969/j.issn.1674-1854.2023.01.001.

    LAI J Z, HE Y, REN H Q. Progress of UHPC protective engineering material research [J]. Protective Engineering, 2023, 45(1): 1–7. DOI: 10.3969/j.issn.1674-1854.2023.01.001.
    [4] 徐世烺, 吴平, 周飞, 等. 活性粉末混凝土抗多次侵彻实验研究及数值预测 [J]. 爆炸与冲击, 2021, 41(6): 063301. DOI: 10.11883/bzycj-2020-0165.

    XU S L, WU P, ZHOU F, et al. Experimental investigation and numerical prediction on resistance of reactive powder concrete to multiple penetration [J]. Explosion and Shock Waves, 2021, 41(6): 063301. DOI: 10.11883/bzycj-2020-0165.
    [5] 吴平, 周飞, 李庆华, 等. 超高韧性水泥基复合材料—纤维混凝土组合靶体抗两次打击试验研究 [J]. 爆炸与冲击, 2022, 42(3): 033301. DOI: 10.11883/bzycj-2021-0178.

    WU P, ZHOU F, LI Q H, et al. Experimental study on the resistance of the ultra high toughness cementitious composites material-fiber concrete composite targets subjected to twice projectiles impact [J]. Explosion and Shock Waves, 2022, 42(3): 033301. DOI: 10.11883/bzycj-2021-0178.
    [6] LAI J Z, WANG H F, YANG H R, et al. Dynamic properties and SPH simulation of functionally graded cementitious composite subjected to repeated penetration [J]. Construction and Building Materials, 2017, 146: 54–65. DOI: 10.1016/j.conbuildmat.2017.04.023.
    [7] LAI J Z, YANG H R, WANG H F, et al. Properties and modeling of ultra-high-performance concrete subjected to multiple bullet impacts [J]. Journal of Materials in Civil Engineering, 2018, 30(10): 04018256. DOI: 10.1061/(ASCE)MT.1943-5533.0002462.
    [8] LAI J Z, GUO X J, ZHU Y Y. Repeated penetration and different depth explosion of ultra-high performance concrete [J]. International Journal of Impact Engineering, 2015, 84: 1–12. DOI: 10.1016/j.ijimpeng.2015.05.006.
    [9] 赖建中, 朱耀勇, 徐升, 等. 超高性能水泥基复合材料抗多次侵彻性能研究 [J]. 爆炸与冲击, 2013, 33(6): 601–607. DOI: 10.11883/1001-1455(2013)06-0601-07.

    LAI J Z, ZHU Y Y, XU S, et al. Resistance of ultra-high-performance cementitious composites to multiple impact penetration [J]. Explosion and Shock Waves, 2013, 33(6): 601–607. DOI: 10.11883/1001-1455(2013)06-0601-07.
    [10] BRUHL J C, VARMA A H, JOHNSON W H. Design of composite SC walls to prevent perforation from missile impact [J]. International Journal of Impact Engineering, 2015, 75: 75–87. DOI: 10.1016/j.ijimpeng.2014.07.015.
    [11] KIM K, LEE K, SHIN J, et al. A study on the resistance of SC walls subjected to missile impact using large-scale impact tests [J]. International Journal of Impact Engineering, 2020, 139: 103507. DOI: 10.1016/j.ijimpeng.2020.103507.
    [12] KIM K S, MOON I H, CHOI H J, et al. A preliminary study on the local impact behavior of Steel-plate Concrete walls [J]. Annals of Nuclear Energy, 2017, 102: 210–219. DOI: 10.1016/j.anucene.2016.12.006.
    [13] GUO Q Q, XUE X, GUO C W. Design of steel-concrete composite panels under low-velocity impact: local punching failure [J]. International Journal of Impact Engineering, 2023, 182: 104770. DOI: 10.1016/j.ijimpeng.2023.104770.
    [14] GUO Q Q, WANG Z Y, CHEN J, et al. Dynamic response and failure mode of steel-concrete composite panels under low-velocity impact [J]. International Journal of Impact Engineering, 2022, 162: 104128. DOI: 10.1016/j.ijimpeng.2021.104128.
    [15] ZHANG Z, GUO Q Q, DOU X Q, et al. Experimental investigation on the dynamic response of half steel-concrete composite slabs under low-velocity impact [J]. Thin-Walled Structures, 2024, 196: 111451. DOI: 10.1016/j.tws.2023.111451.
    [16] XU Z, LI Z C, LIU X, et al. An improved formula for perforation of the steel plate reinforced concrete subjected to the rigid missile [J]. Mechanical Engineering Journal, 2020, 7(3): 19–00374. DOI: 10.1299/mej.19-00374.
    [17] FENG J, LI W B, DING C F, et al. Numerical and analytical investigations on projectile perforation on steel–concrete–steel sandwich panels [J]. Results in Engineering, 2020, 8: 100164. DOI: 10.1016/j.rineng.2020.100164.
    [18] REMENNIKOV A, GAN E C J, NGO T, et al. The development and ballistic performance of protective steel-concrete composite barriers against hypervelocity impacts by explosively formed projectiles [J]. Composite Structures, 2019, 207: 625–644. DOI: 10.1016/j.compstruct.2018.09.060.
    [19] CHENG Y H, WU H, JIANG P F, et al. Ballistic resistance of high-strength armor steel against ogive-nosed projectile impact [J]. Thin-Walled Structures, 2023, 183: 110350. DOI: 10.1016/j.tws.2022.110350.
    [20] CHENG Y H, ZHOU F, WU H, et al. Resistance of composite target against combined effects of large caliber projectile penetration and successive charge explosion [J]. International Journal of Impact Engineering, 2022, 168: 104288. DOI: 10.1016/j.ijimpeng.2022.104288.
    [21] ZHAI Y X, WU H, FANG Q. Impact resistance of armor steel/ceramic/UHPC layered composite targets against 30CrMnSiNi2A steel projectiles [J]. International Journal of Impact Engineering, 2021, 154: 103888. DOI: 10.1016/j.ijimpeng.2021.103888.
    [22] 程月华, 吴昊, 谭可可, 等. 装甲钢/UHPC复合靶体抗侵彻性能试验与数值模拟研究 [J]. 爆炸与冲击, 2022, 42(5): 053302. DOI: 10.11883/bzycj-2021-0278.

    CHENG Y H, WU H, TAN K K, et al. Experimental and numerical studies on penetration resistance of armor steel/UHPC composite target [J]. Explosion and Shock Waves, 2022, 42(5): 053302. DOI: 10.11883/bzycj-2021-0278.
    [23] 朱擎, 李述涛, 陈叶青, 等. 高强钢-钢筋混凝土复合防护结构厚度极限计算方法 [J]. 力学学报, 2024, 56(7): 2077–2090. DOI: 10.6052/0459-1879-23-209.

    ZHU Q, LI S T, CHEN Y Q, et al. Calculation of the thickness limit of high-strength steel-reinforced concrete composite protective structures [J]. Chinese Journal of Theoretical and Applied Mechanics, 2024, 56(7): 2077–2090. DOI: 10.6052/0459-1879-23-209.
    [24] 余同希, 邱信明. 冲击动力学 [M]. 北京: 清华大学出版社, 2011: 193–194.
    [25] 王礼立. 应力波基础 [M]. 2版. 北京: 国防工业出版社, 2005: 210–272.
    [26] 屈明, 陈小伟, 陈刚. 细长薄壁弹体撞击钢靶屈曲的数值分析 [J]. 爆炸与冲击, 2008, 28(2): 116–123. DOI: 10.11883/1001-1455(2008)02-0116-08.

    QU M, CHEN X W, CHEN G. Numerical study on dynamic plastic buckling of deep penetrating projectile [J]. Explosion and Shock Waves, 2008, 28(2): 116–123. DOI: 10.11883/1001-1455(2008)02-0116-08.
    [27] 陈小伟, 张方举, 徐艾民, 等. 细长薄壁弹体的屈曲和靶体等效分析 [J]. 爆炸与冲击, 2007, 27(4): 296–305. DOI: 10.11883/1001-1455(2007)04-0296-10.

    CHEN X W, ZHANG F J, XU A M, et al. Buckling analysis of earth penetrating warhead and equivalent conditions of targets [J]. Explosion and Shock Waves, 2007, 27(4): 296–305. DOI: 10.11883/1001-1455(2007)04-0296-10.
    [28] 陈小伟. 动能深侵彻弹的力学设计(Ⅰ): 侵彻/穿甲理论和弹体壁厚分析 [J]. 爆炸与冲击, 2005, 25(6): 499–505. DOI: 10.11883/1001-1455(2005)06-0499-07.

    CHEN X W. Mechanics of structural design of EPW (Ⅰ): the penetration/perforation theory and the analysis on the cartridge of projectile [J]. Explosion and Shock Waves, 2005, 25(6): 499–505. DOI: 10.11883/1001-1455(2005)06-0499-07.
    [29] 陈小伟, 金建明. 动能深侵彻弹的力学设计(Ⅱ): 弹靶的相关力学分析与实例 [J]. 爆炸与冲击, 2006, 26(1): 71–78. DOI: 10.11883/1001-1455(2006)01-0071-08.

    CHEN X W, JIN J M. Mechanics of structural design of EPW (Ⅱ): analyses on the design of EPW projectiles, concrete targets and example [J]. Explosion and Shock Waves, 2006, 26(1): 71–78. DOI: 10.11883/1001-1455(2006)01-0071-08.
    [30] 陈小伟, 张方举, 杨世全, 等. 动能深侵彻弹的力学设计(Ⅲ): 缩比实验分析 [J]. 爆炸与冲击, 2006, 26(2): 105–114. DOI: 10.11883/1001-1455(2006)02-0105-10.

    CHEN X W, ZHANG F J, YANG S Q, et al. Mechanics of structural design of EPW (Ⅲ): investigations on the reduced-scale tests [J]. Explosion and Shock Waves, 2006, 26(2): 105–114. DOI: 10.11883/1001-1455(2006)02-0105-10.
    [31] 陈小伟, 穿甲/侵彻力学的理论建模与分析-下册 [M]. 北京: 科学出版社, 2019.
    [32] 焦文俊, 陈小伟. 长杆高速侵彻问题研究进展 [J]. 力学进展, 2019, 49: 201904. DOI: 10.6052/1000-0992-17-021.

    JIAO W J, CHEN X W. Review on long-rod penetration at hypervelocity [J]. Advances in Mechanics, 2019, 49: 201904. DOI: 10.6052/1000-0992-17-021.
    [33] 隋树元, 王树山. 终点效应学 [M]. 北京, 国防工业出版社, 2000: 120-165.
  • 加载中
图(13) / 表(1)
计量
  • 文章访问数:  442
  • HTML全文浏览量:  54
  • PDF下载量:  76
  • 被引次数: 0
出版历程
  • 收稿日期:  2025-01-22
  • 修回日期:  2025-05-29
  • 网络出版日期:  2025-06-04

目录

    /

    返回文章
    返回