Study of the characteristics of fuel spurt caused by high-velocity fragment impact the fuel tank
-
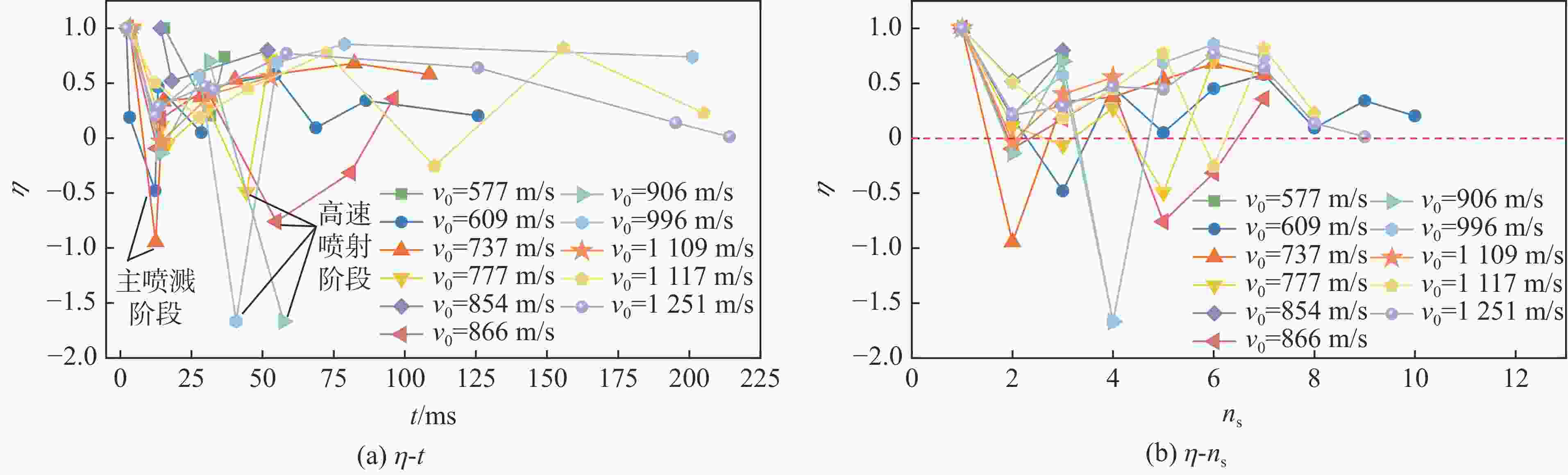
摘要: 高速破片撞击燃油箱时产生液压水锤效应,其引发的燃油喷溅可能导致燃油箱引燃甚至爆炸,从而降低高价值目标的生存能力。为研究液压水锤效应导致的燃油喷溅特性,进行了高速破片撞击模拟燃油箱的试验,测试并分析了喷溅燃油的速度特性和空间分布特性;提出了液团初始运动速度v0与液团发散速度的概念,在此基础上建立了描述喷溅燃油时空分布的理论模型;根据侵彻孔口的裂纹情况和孔边缘金属材料的形状变化,并考虑液体内压力分布的影响,对流量系数Cv的取值进行分类:当v0≤737 m/s时,Cv的取值范围为0.60~0.70;当737 m/s<v0<906 m/s时,Cv的取值范围为0.25~0.55;当v0≥906 m/s时,Cv的取值范围为0.75~0.95。研究表明,燃油喷溅轴向距离的理论计算结果与试验结果平均误差在15%以内,修正后的径向距离理论计算结果与试验结果误差在5%左右,即理论模型计算结果可较好复现试验结果。Abstract: When a high-velocity fragment impacted the fuel tank, hydrodynamic ram occurred. The fuel spurt caused by hydrodynamic ram may result in the ignition or even explosion of the fuel tank, thus threatening the survivability of the high-value target. To study the characteristics of fuel spurt caused by the hydrodynamic ram event, an experiment of a high-velocity fragment impacting a simulated fuel tank was conducted, and the characteristics of velocity and spatial distribution of the fuel spurt were tested and analyzed. In order to quantitatively describe the initial motion velocity of the fuel spurt and the attenuation process of its movement in the air, the specific volume unit within the fuel was defined as fuel mass. The concepts of initial motion velocity v0 and dispersion velocity of the fuel mass were proposed. The process of fuel mass spurting from the penetration orifices was simplified into three stages: (1) the fuel mass was about to spurt out, (2) the fuel mass spurted from the penetration orifices; (3) the fuel mass was moving in the air and gradually became atomized. On this basis, the theoretical model of the distribution of fuel spurt was established. According to the cracks at the penetration orifices and the shape change of the material at the edge of the orifices, the value of the coefficient of discharge was classified, and the influence of the distribution of pressure in the fuel was also taken into account during the calculation. When v0≤737 m/s, the range of Cv is from 0.60 to 0.70. When 737 m/s<v0<906 m/s, Cv ranges from 0.25 to 0.55. When v0≥906 m/s, Cv ranges from 0.75 to 0.95. The research showed that the average error between the calculation results of the fuel spurt axial distance and the experimental results was less than 15%. The error between the calculation results of the corrected theoretical model of radial distance and the experimental results was about 5%. The calculated results of the theoretical model were in good agreement with the experimental results.
-
Key words:
- high-velocity impact /
- fuel tank /
- hydrodynamic ram /
- fuel spurt
-
表 1 破片撞击燃油箱的液体喷溅速度试验结果
Table 1. Test results of liquid spurt velocity of fragment impacting the fuel tank
v0/(m·s−1) ur/(m·s−1) ud/(m·s−1) vs/(m·s−1) 第1次喷溅 第2次喷溅 577 71 506 56 44 609 92 517 79 94 737 163 574 48 94 777 150 627 43 39 854 253 601 54 26 866 220 646 32 35 906 265 641 45 51 996 284 712 100 78 1109 308 801 50 51 1117 324 793 112 55 1251 340 911 113 89 表 2 破片撞击速度与液体喷溅速度试验与理论结果
Table 2. Experimental and theoretical results of the velocity of fragment and liquid spurt
v0/(m·s−1) vs1/(m·s−1) 误差/% vs2/(m·s−1) 误差/% 试验结果 理论结果 试验结果 理论结果 609 79 82.79 4.80 94 79.78 −17.99 737 48 46.78 −2.54 94 100.12 12.75 777 43 42.890 −0.24 39 48.51 22.11 854 54 53.92 −0.15 26 26.85 1.57 866 32 29.57 −7.61 35 34.63 −1.16 906 45 45.11 0.25 51 62.08 24.61 996 100 111.89 11.89 78 59.85 −18.15 1109 50 59.02 18.04 51 49.57 −2.87 1117 112 118.78 6.06 55 75.23 18.06 1251 113 118.29 4.68 89 79.59 −8.33 -
[1] DISIMILE P J, DAVIS J M, PYLES J M. Qualitative assessment of a transient spray caused by a hydrodynamic ram event [J]. Journal of Flow Visualization and Image Processing, 2007, 14(3): 287–303. DOI: 10.1615/JFlowVisImageProc.v14.i3.30. [2] YANG H Q. A multiphase and multiphysics CFD technique for fuel spurt prediction with cavitation and fluid-structure interaction [C]//Proceedings of the 22nd AIAA Computational Fluid Dynamics Conference. Dallas: AIAA, 2015. DOI: 10.2514/6.2015-3419. [3] ARTERO-GUERRERO J A, VARAS D, PERNAS-SÁNCHEZ J, et al. Experimental analysis of an attenuation method for hydrodynamic ram effects [J]. Materials & Design, 2018, 155: 451–462. DOI: 10.1016/j.matdes.2018.06.020. [4] JI Y Z Y, LI X D, ZHOU L W, et al. Experimental and numerical study on the cumulative damage of water-filled containers impacted by two projectiles [J]. Thin-Walled Structures, 2019, 135: 45–64. DOI: 10.1016/j.tws.2018.10.043. [5] SELVARATHINAM A S, STEWART M W, ENGELSTAD S P, et al. Application of progressive damage failure analysis to large aircraft composite structures [C]//Proceedings of 2018 AIAA/ASCE/AHS/ASC Structures, Structural Dynamics, and Materials Conference. Kissimmee: AIAA, 2018. DOI: 10.2514/6.2018-2235. [6] DISIMILE P J, SWANSON L A, TOY N. The hydrodynamic ram pressure generated by spherical projectiles [J]. International Journal of Impact Engineering, 2009, 36(6): 821–829. DOI: 10.1016/j.ijimpeng.2008.12.009. [7] DISIMILE P J, TOY N. Liquid spurt caused by hydrodynamic ram [J]. International Journal of Impact Engineering, 2015, 75: 65–74. DOI: 10.1016/j.ijimpeng.2014.08.001. [8] LINGENFELTER A J, LIU D, REEDER M F. Time resolved flow field measurements of orifice entrainment during a hydrodynamic ram event [J]. Journal of Visualization, 2017, 20(1): 63–74. DOI: 10.1007/s12650-016-0378-2. [9] BESTARD J, BUCK M, KOCHER B, et al. Hydrodynamic ram model development - survivability analysis requirements [C]//Proceedings of the 53rd AIAA/ASME/ASCE/AHS/ASC Structures, Structural Dynamics and Materials Conference. Honolulu: AIAA, 2012. DOI: 10.2514/6.2012-1504. [10] YANG H Q, YANG S, DISIMILE P. A validation study of hydrodynamic RAM and fuel spurt using CFD tool [C]//Proceedings of AIAA SCITECH 2020 Forum. Orlando: AIAA, 2020. DOI: 10.2514/6.2020-0356. [11] 赵一霖, 严立, 来霄毅, 等. 新一代四机并联火箭发动机喷流热环境数值研究 [J]. 空天防御, 2023, 6(1): 109–116. DOI: 10.3969/j.issn.2096-4641.2023.01.017.ZHAO Y L, YAN L, LAI X Y, et al. Numerical study on thermal environment of a new generation of four-parallel rocket engine jet [J]. Air & Space Defense, 2023, 6(1): 109–116. DOI: 10.3969/j.issn.2096-4641.2023.01.017. [12] 安国琛, 李仁俊, 臧月进, 等. 基于有限元方法的液体火箭发动机主动冷却技术研究 [J]. 空天防御, 2018, 1(3): 56–60. DOI: 10.3969/j.issn.2096-4641.2018.03.011.AN G C, LI R J, ZANG Y J, et al. Active cooling technology of liquid rocket engine based on finite element [J]. Air & Space Defense, 2018, 1(3): 56–60. DOI: 10.3969/j.issn.2096-4641.2018.03.011. [13] KELLER J B, MIKSIS M. Bubble oscillations of large amplitude [J]. The Journal of the Acoustical Society of America, 1980, 68(2): 628–633. DOI: 10.1121/1.384720. [14] CHEN A R, LI X D, ZHOU L W, et al. Study of liquid spurt caused by hydrodynamic ram in liquid-filled container [J]. International Journal of Impact Engineering, 2020, 144: 103658. DOI: 10.1016/j.ijimpeng.2020.103658. [15] CHEN A R, LI X D, ZHOU L W, et al. Experimental study on the cavity evolution and liquid spurt of hydrodynamic ram [J]. Defence Technology, 2022, 18(11): 2008–2022. DOI: 10.1016/j.dt.2021.09.002. [16] 陈安然, 李向东, 周兰伟, 等. 液压水锤效应引起液体喷溅特性及其影响因素试验研究 [J]. 国防科技大学学报, 2021, 43(5): 144–152. DOI: 10.11887/j.cn.202105017.CHEN A R, LI X D, ZHOU L W, et al. Experimental study on the characteristics and influencing factors of liquid spurt caused by hydrodynamic ram [J]. Journal of National University of Defense Technology, 2021, 43(5): 144–152. DOI: 10.11887/j.cn.202105017. [17] STRUTT J W. VI. On the capillary phenomena of jets [J]. Proceedings of the Royal Society of London, 1879, 29(196–199): 71–97. DOI: 10.1098/RSPL.1879.0015. [18] SALVADOR F J, SANTIAGO R, CRIALESI-ESPOSITO M, et al. Analysis on the effects of turbulent inflow conditions on spray primary atomization in the near-field by direct numerical simulation [J]. International Journal of Multiphase Flow, 2018, 102: 49–63. DOI: 10.1016/j.ijmultiphaseflow.2018.01.019. [19] XIE H Z, SONG L B, XIE Y Z, et al. An experimental study on the macroscopic spray characteristics of biodiesel and diesel in a constant volume chamber [J]. Energies, 2015, 8(6): 5952–5972. DOI: 10.3390/en8065952. [20] FRANC J P. The Rayleigh-Plesset equation: a simple and powerful tool to understand various aspects of cavitation [M]//D’AGOSTINO L, SALVETTI M V. Fluid Dynamics of Cavitation and Cavitating Turbopumps. Vienna: Springer, 2007: 1–41. DOI: 10.1007/978-3-211-76669-9_1. [21] SALVADOR F J, SANTIAGO R, CRIALESI-ESPOSITO M, et al. Analysis on the effects of turbulent inflow conditions on spray primary atomization in the near-field by direct numerical simulation [J]. International Journal of Multiphase Flow, 2018, 102: 49–63. DOI: 10.1016/j.ijmultiphaseflow.2018.01.019. [22] 刘延俊. 液压与气压传动[M]. 机械工业出版社, 2007: 21–31. [23] CROWE C T, SCHWARZKOPF J D, SOMMERFELD M, et al. Multiphase flows with droplets and particles [M]. Boca Raton: CRC Press, 2011: 57–103. [24] BRIFFA F E J, DOMBROWSKI N. Entrainment of air into a liquid spray [J]. AIChE Journal, 1966, 12(4): 708–717. DOI: 10.1002/aic.690120416. [25] LEE S Y, TANKIN R S. Study of liquid spray (water) in a condensable environment (steam) [J]. International Journal of Heat and Mass Transfer, 1984, 27(3): 363–374. DOI: 10.1016/0017-9310(84)90283-7. [26] MUGELE R A, EVANS H D. Droplet size distribution in sprays [J]. Industrial & Engineering Chemistry, 1951, 43(6): 1317–1324. DOI: 10.1021/ie50498a023. -


下载: