Influence of ammonia content on ammonia-hydrogen-air premixed gas duct-vented explosions
-
摘要: 为了深入研究氨气-氢气-空气预混气体火焰在管道内外的燃烧特性,在长
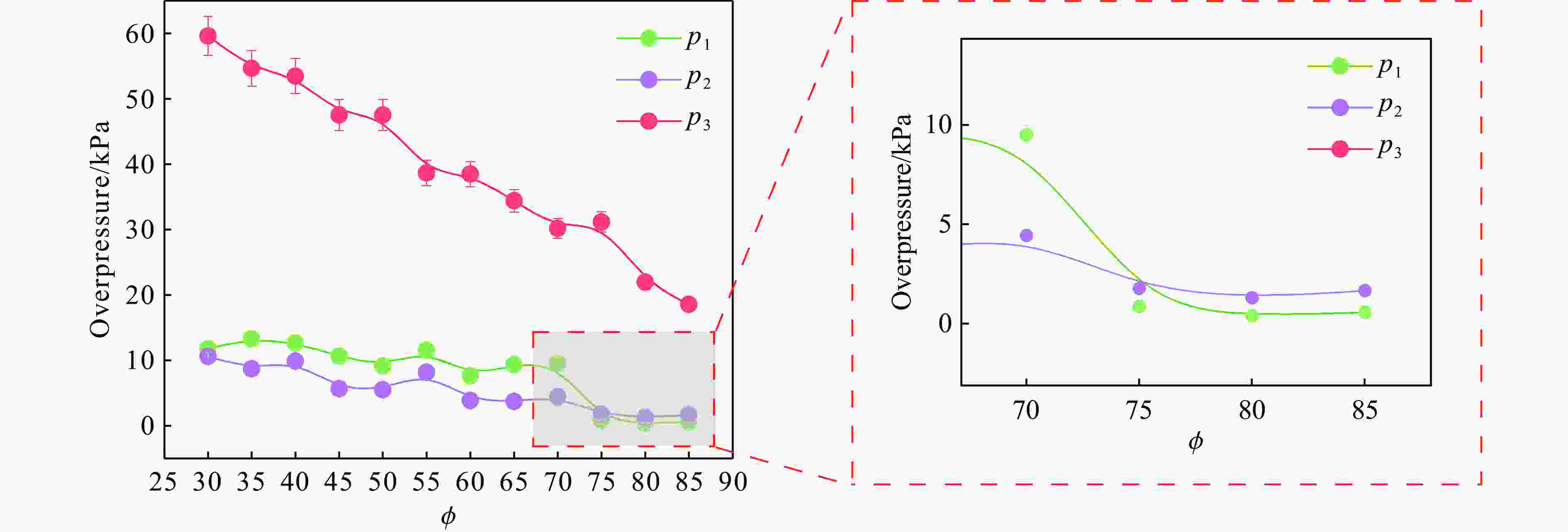
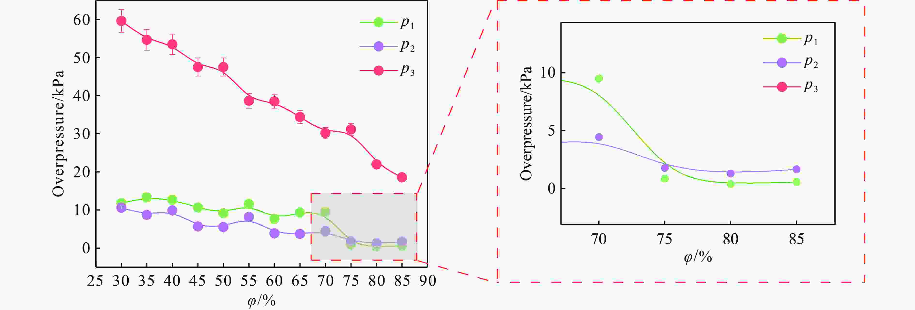
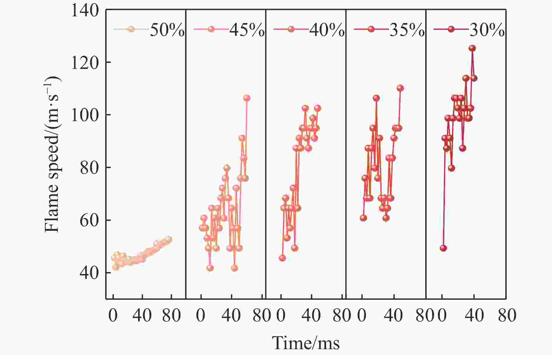
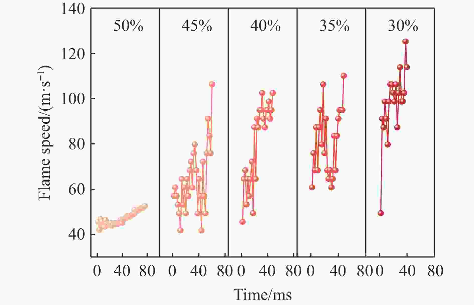
2000 mm的不锈钢管道中开设尺寸为400 mm×70 mm的观察窗,借助高速摄影和压力传感器,测试分析了化学计量比(Ф=1)的条件下掺氨量(φ)在30%~85%范围内对火焰形态和管道内外压力演化的影响。结果表明,掺氨量(φ)会显著影响管道中火焰的传播过程以及压力时程曲线。管道内火焰的传播速度随掺氨量的增加而降低,到达由二次爆炸引起的回流现象的时间也随之延长;管内距离泄爆口400 mm处设置压力测点PS1采集数据,各工况下管道内压力曲线均呈现p1、p2和p3的三峰结构,3个压力峰分别由泄爆口薄膜破裂、管内气体泄放以及管外二次爆炸产生的气体回流引起,p1的大小取决于泄爆膜的抗拉强度,其幅值几乎与掺氨量(φ)无关,p2和p3均随着掺氨量(φ)的增加而升高,其中p3升高速率最大;管外距离泄爆口500 mm处设置压力测点PS2采集数据,管外二次爆炸压力峰值(pout)随着掺氨量(φ)的增加而降低,到达pout的时间则随之延长。Abstract: Renewable energy is addressing some of the key challenges facing global society today, and zero-carbon energy systems are the fundamental way to achieve carbon neutrality. Therefore, hydrogen and ammonia have gained great attention as zero-carbon energy sources. To further study the combustion characteristics of ammonia-hydrogen-air premixed gas flame inside and outside the duct, the influence of ammonia doped amount (φ) on the flame morphology and the evolution of pressure inside and outside the duct under stoichiometric ratio was explored with the help of high-speed photography and pressure sensor in a2000 mm stainless steel duct with a 400-mm-long and 70-mm-wide observation window. The results show that φ significantly affects the pressure inside and outside the duct, and the time to reach the reverse flow phenomenon caused by the secondary explosion also increases. The pressure measuring point PS1 is set at 400 mm away from the explosion vent in the duct to collect data. The pressure curves in the duct under each working condition are presented as a three-peak structure, named p1, p2, and p3. The three pressure peaks are caused by the rupture of the explosion vent film, the gas venting in the duct, and the gas reverse generated by the secondary explosion outside the duct. The size of p1 depends on the tensile strength of the explosion venting membrane, and its amplitude is almost independent of the φ. p2 and p3 both increase with the increase of φ, and the p3 increase rate is the largest when φ is in 50%-65%. p2 changes from a single peak to a fluctuating pressure platform in the pressure curve diagram, and the time of the platform extends with the increase of φ. The pressure measurement point PS2 is set at the horizontal central axis, 500mm away from the explosion vent outside the duct, to collect data. And the peak pressure of the secondary explosion outside the duct (pout) decreases with the increase of the φ, and the time to reach pout increases. This study provides a theoretical basis for the utilization of ammonia and hydrogen energy.-
Key words:
- explosion venting /
- dynamic pressure change /
- overpressure /
- flame pattern
-
表 1 PCB 113B24压电式压力传感器参数
Table 1. Parameters of PCB 113B24 piezoelectric pressure sensor
技术指标 参数范围 量程 0~13.79 kPa 最大压力 68.95 MPa 分辨率 0.035 pPa 谐振频率 ≥500 kHz 上升时间 ≤1 μs 非线性度 ≤1% 放电时间常数 ≤1.4Pa/(m·s−2) 加速度灵敏度 >100 s 表 2 联能CY-YD-202压电式压力传感器参数
Table 2. Parameters of CY-YD-202 piezoelectric pressure sensor
技术指标 参数范围 量程 0~10 MPa 过载能力 120% 参考压力灵敏度 32.3pC/105 Pa 自振频率 >100 kHz 电容 43.3 pF 工作温度 -10~80 ℃ 非线性 <1.5%FS 绝缘电阻 >1012 Ω 表 3 配制气体方案
Table 3. Schemes of gas distribution
NO Φ φ V(NH3)/% V(H2)/% V(air)/% 1 1 85 19.61 3.46 78.25 2 80 18.71 4.68 77.94 3 75 17.79 5.93 77.61 4 70 16.84 7.22 77.27 5 65 15.86 8.54 76.93 6 60 14.85 9.90 76.58 7 55 13.81 11.30 76.21 8 50 12.75 12.75 75.83 9 45 11.65 14.23 75.45 10 40 10.51 15.77 75.05 11 35 9.34 17.35 74.64 12 30 8.13 18.98 74.21 -
[1] VALERA-MEDINA A, XIAO H, OWEN-JONES M, et al. Ammonia for power [J]. Progress in Energy and Combustion Science, 2018, 69: 63–102. DOI: 10.1016/j.pecs.2018.07.001. [2] ORUC O, DINCER I. Assessing the potential of thermo-chemical water splitting cycles: A bridge towards clean and sustainable hydrogen generation [J]. Fuel, 2021, 286: 119325. DOI: 10.1016/j.fuel.2020.119325. [3] ISLAM A, ISLAM T, MAHMUD H, et al. Accelerating the green hydrogen revolution: A comprehensive analysis of technological advancements and policy interventions [J]. International Journal of Hydrogen Energy, 2024, 67: 458–486. DOI: 10.1016/j.ijhydene.2024.04.142. [4] AZIZ M, JUANGSA F B, IRHAMNA A R, et al. Ammonia utilization technology for thermal power generation: A review [J]. Journal of the Energy Institute, 2023, 111: 101365. DOI: 10.1016/j.joei.2023.101365. [5] WU Z J, YU Y, XIE W, et al. Optimization of the flame characteristics of H2–O2 coaxial injection applied to hydrogen-fueled argon cycle engines [J]. International Journal of Hydrogen Energy, 2021, 46(27): 14780–14789. DOI: 10.1016/j.ijhydene.2021.01.197. [6] VAN DEN SCHOOR F, VERPLAETSEN F, BERGHMANS J. Calculation of the upper flammability limit of methane/hydrogen/air mixtures at elevated pressures and temperatures [J]. International Journal of Hydrogen Energy, 2008, 33(4): 1399–1406. DOI: 10.1016/j.ijhydene.2008.01.002. [7] SU B, DONG H W, LUO Z M, et al. Effects of H2/CO ratio and CO2 dilution on the explosion behavior and flame evolution of syngas/air mixtures [J]. International Journal of Hydrogen Energy, 2024, 69: 451–465. DOI: 10.1016/j.ijhydene.2024.04.360. [8] ICHIKAWA Y, OTAWARA Y, KOBAYASHI H, et al. Flame structure and radiation characteristics of CO/H2/CO2/air turbulent premixed flames at high pressure [J]. Proceedings of the Combustion Institute, 2011, 33(1): 1543–1550. DOI: 10.1016/j.proci.2010.05.068. [9] LEE M C, YOON J, JOO S, et al. Gas turbine combustion characteristics of H2/CO synthetic gas for coal integrated gasification combined cycle applications [J]. International Journal of Hydrogen Energy, 2015, 40(34): 11032–11045. DOI: 10.1016/j.ijhydene.2015.06.086. [10] WANG L, JIANG Y, PAN L W, et al. Lagrangian investigation and chemical explosive mode analysis of extinction and re-ignition in H2/CO/N2 syngas non-premixed flame [J]. International Journal of Hydrogen Energy, 2016, 41(8): 4820–4830. DOI: 10.1016/j.ijhydene.2016.01.043. [11] SU B, LUO Z M, KRIETSCH A, et al. Quantitative investigation of explosion behavior and spectral radiant characteristics of free radicals for syngas/air mixtures [J]. International Journal of Hydrogen Energy, 2024, 50: 1359–1368. DOI: 10.1016/j.ijhydene.2023.10.280. [12] KOJIMA Y, YAMAGUCHI M. Ammonia as a hydrogen energy carrier [J]. International Journal of Hydrogen Energy, 2022, 47(54): 22832–22839. DOI: 10.1016/j.ijhydene.2022.05.096. [13] SUN S C, JIANG Q Q, ZHAO D Y, et al. Ammonia as hydrogen carrier: Advances in ammonia decomposition catalysts for promising hydrogen production [J]. Renewable and Sustainable Energy Reviews, 2022, 169: 112918. DOI: 10.1016/j.rser.2022.112918. [14] LAMB K E, DOLAN M D, KENNEDY D F. Ammonia for hydrogen storage; A review of catalytic ammonia decomposition and hydrogen separation and purification [J]. International Journal of Hydrogen Energy, 2019, 44(7): 3580–3593. DOI: 10.1016/j.ijhydene.2018.12.024. [15] YU Z, ZHANG H W. End-gas autoignition and knocking combustion of ammonia/hydrogen/air mixtures in a confined reactor [J]. International Journal of Hydrogen Energy, 2022, 47(13): 8585–8602. DOI: 10.1016/j.ijhydene.2021.12.181. [16] ZHANG F Y, ZHANG G X, WANG Z C, et al. Experimental investigation on combustion and emission characteristics of non-premixed ammonia/hydrogen flame [J]. International Journal of Hydrogen Energy, 2024, 61: 25–38. DOI: 10.1016/j.ijhydene.2024.02.281. [17] WU Z J, ZHANG G Y, WANG C X, et al. Numerical investigation on the flame propagation process of ammonia/hydrogen blends under engine-related conditions [J]. International Journal of Hydrogen Energy, 2024, 60: 1041–1053. DOI: 10.1016/j.ijhydene.2024.02.186. [18] TINGAS E A, GKANTONAS S, MASTORAKOS E, et al. The mechanism of propagation of NH3/air and NH3/H2/air laminar premixed flame fronts [J]. International Journal of Hydrogen Energy, 2024, 78: 1004–1015. DOI: 10.1016/j.ijhydene.2024.06.289. [19] ICHIKAWA A, NAITO Y, HAYAKAWA A, et al. Burning velocity and flame structure of CH4/NH3/air turbulent premixed flames at high pressure [J]. International Journal of Hydrogen Energy, 2019, 44(13): 6991–6999. DOI: 10.1016/j.ijhydene.2019.01.193. [20] KURATA O, IKI N, INOUE T, et al. Development of a wide range-operable, rich-lean low-NOx combustor for NH3 fuel gas-turbine power generation [J]. Proceedings of the Combustion Institute, 2019, 37: 4587–4595. DOI: 10.1016/j.proci.2018.09.012. [21] LIANG H, YAN X Q, SHI E H, et al. Flame evolution and pressure dynamics of premixed stoichiometric ammonia/hydrogen/air in a closed duct [J]. Fuel, 2024, 363: 130983. DOI: 10.1016/j.fuel.2024.130983. [22] LHUILLIER C, BREQUIGNY P, LAMOUREUX N, et al. Experimental investigation on laminar burning velocities of ammonia/hydrogen/air mixtures at elevated temperatures [J]. Fuel, 2020, 263: 116653. DOI: 10.1016/j.fuel.2019.116653. [23] ZHENG K, SONG Z Y, SONG C, et al. Investigation on the explosion of ammonia/hydrogen/air in a closed duct by experiments and numerical simulations [J]. International Journal of Hydrogen Energy, 2024, 79: 1267–1277. DOI: 10.1016/j.ijhydene.2024.07.124. [24] VEIGA-LÓPEZ F, MÉVEL R. Detonation properties and nitrogen oxide production in ammonia–hydrogen–air mixtures [J]. Fuel, 2024, 370: 131794. DOI: 10.1016/j.fuel.2024.131794. [25] WANG J G, GUO J, YANG F Q, et al. Effects of hydrogen concentration on the vented deflagration of hydrogen-air mixtures in a 1-m3 vessel [J]. International Journal of Hydrogen Energy, 2018, 43(45): 21161–21168. DOI: 10.1016/j.ijhydene.2018.09.108. [26] SHRESTHA K P, LHUILLIER C, BARBOSA A A, et al. An experimental and modeling study of ammonia with enriched oxygen content and ammonia/hydrogen laminar flame speed at elevated pressure and temperature [J]. Proceedings of the Combustion Institute, 2021, 38(2): 2163–2174. DOI: 10.1016/j.proci.2020.06.197. [27] CHEN X, LIU Q M, JING Q, et al. Flame front evolution and laminar flame parameter evaluation of buoyancy-affected ammonia/air flames [J]. International Journal of Hydrogen Energy, 2021, 46(77): 38504–38518. DOI: 10.1016/j.ijhydene.2021.09.099. [28] LI Y C, BI M S, ZHOU Y H, et al. Characteristics of hydrogen-ammonia-air cloud explosion [J]. Process Safety and Environmental Protection, 2021, 148: 1207–1216. DOI: 10.1016/j.psep.2021.02.037. [29] YANG X F, YANG W, LIU C L, et al. Experimental study on the deformation and oscillation of premixed syngas/air flames in closed ducts [J]. Process Safety and Environmental Protection, 2023, 179: 373–383. DOI: 10.1016/j.psep.2023.09.011. [30] CAO W G, LIU Y F, CHEN R K, et al. Pressure release characteristics of premixed hydrogen-air mixtures in an explosion venting device with a duct [J]. International Journal of Hydrogen Energy, 2021, 46(12): 8810–8819. DOI: 10.1016/j.ijhydene.2020.12.052. [31] WANG Q, ZHU W Y, YANG R, et al. Impact of ammonia content on explosion of methane-air premixed gas duct with varying equivalence ratios [J]. Flow, Turbulence and Combustion, 2025, 115: 763–780. DOI: 10.1007/s10494-025-00647-6. [32] ZHU W Y, WANG Q, LI R, et al. Experimental study on the equivalence ratio effects in ammonia-hydrogen-air premixed gas duct-vented explosions [J]. International Journal of Hydrogen Energy, 2024, 88: 977–985. DOI: 10.1016/j.ijhydene.2024.09.262. [33] 朱文艳, 汪泉, 张军, 等. 泄爆条件对管内气粉两相混合体系燃爆特性的影响 [J]. 爆炸与冲击, 2024, 44(7): 075402. DOI: 10.11883/bzycj-2024-0024.ZHU W Y, WANG Q, ZHANG J, et al. Influence of explosion venting conditions on the deflagration characteristics of gas-powder two-phase mixture system in pipe [J]. Explosion and Shock Waves, 2024, 44(7): 075402. DOI: 10.11883/bzycj-2024-0024. [34] PONIZY B, CLAVERIE A, VEYSSIÈRE B. Tulip flame-the mechanism of flame front inversion [J]. Combustion and Flame, 2014, 161(12): 3051–3062. DOI: 10.1016/j.combustflame.2014.06.001. [35] ZHU X R, ROBERTS W L, GUIBERTI T F. UV-visible chemiluminescence signature of laminar ammonia-hydrogen-air flames [J]. Proceedings of the Combustion Institute, 2023, 39(4): 4227–4235. DOI: 10.1016/j.proci.2022.07.021. [36] KUZNETSOV M, FRIEDRICH A, STERN G, et al. Medium-scale experiments on vented hydrogen deflagration [J]. Journal of Loss Prevention in the Process Industries, 2015, 36: 416–428. DOI: 10.1016/j.jlp.2015.04.013. [37] QIU D Y, CHEN X F, HAO L J, et al. Partial suppression of acetaminophen dust explosion by synergistic multiphase inhibitors [J]. Process Safety and Environmental Protection, 2023, 172: 262–272. DOI: 10.1016/j.psep.2023.02.021. [38] CHAO J, BAUWENS C R, DOROFEEV S B. An analysis of peak overpressures in vented gaseous explosions [J]. Proceedings of the Combustion Institute, 2011, 33(2): 2367–2374. DOI: 10.1016/j.proci.2010.06.144. [39] HISKEN H, ENSTAD G A, MIDDHA P, et al. Investigation of concentration effects on the flame acceleration in vented channels [J]. Journal of Loss Prevention in the Process Industries, 2015, 36: 447–459. DOI: 10.1016/j.jlp.2015.04.005. [40] GUO J, WANG C J, LIU X Y. Experimental study on duct-vented explosion of hydrogen-air mixtures in a wide range of equivalence ratio [J]. Industrial and Engineering Chemistry Research, 2016, 55(35): 9518–9523. DOI: 10.1021/acs.iecr.6b02029. [41] XIAO H H, SUN J H, CHEN P. Experimental and numerical study of premixed hydrogen/air flame propagating in a combustion chamber [J]. Journal of Hazardous Materials, 2014, 268: 132–139. DOI: 10.1016/j.jhazmat.2013.12.060. [42] WANG C H, GUO J, ZHANG K, et al. Experiments on duct-vented explosion of hydrogen-methane-air mixtures: effects of equivalence ratio [J]. Fuel, 2022, 308: 122060. DOI: 10.1016/j.fuel.2021.122060. [43] TOMLIN G, JOHNSON D M, CRONIN P, et al. The effect of vent size and congestion in large-scale vented natural gas/air explosions [J]. Journal of Loss Prevention in the Process Industries, 2015, 35: 169–181. DOI: 10.1016/j.jlp.2015.04.014. [44] 杜赛枫, 张凯, 陈昊, 等. 破膜压力对氢-空气预混气体燃爆特性的影响 [J]. 爆炸与冲击, 2023, 43(2): 025401. DOI: 10.11883/bzycj-2022-0174.DU S F, ZHANG K, CHEN H, et al. Effects of vent burst pressure on explosion characteristics of premixed hydrogen-air gases [J]. Explosion and Shock Waves, 2023, 43(2): 025401. DOI: 10.11883/bzycj-2022-0174. [45] TANG G, JIN P F, BAO Y L, et al. Experimental investigation of premixed combustion limits of hydrogen and methane additives in ammonia [J]. International Journal of Hydrogen Energy, 2021, 46(39): 20765–20776. DOI: 10.1016/j.ijhydene.2021.03.154. [46] 陈昊, 郭进, 王金贵, 等. 破膜压力对氢气-甲烷-空气泄爆的影响 [J]. 爆炸与冲击, 2022, 42(11): 115401. DOI: 10.11883/bzycj-2021-0418.CHEN H, GUO J, WANG J G, et al. Effects of vent burst pressure on hydrogen-methane-air deflagration in a vented duct [J]. Explosion and Shock Waves, 2022, 42(11): 115401. DOI: 10.11883/bzycj-2021-0418. [47] GUO J, SUN X X, RUI S C, et al. Effect of ignition position on vented hydrogen-air explosions [J]. International Journal of Hydrogen Energy, 2015, 40(45): 15780–15788. DOI: 10.1016/j.ijhydene.2015.09.038. -


下载: