Experimental study on dynamic mechanical properties of sandstone under coupled effects of bedding dip angle and anchoring methods
-
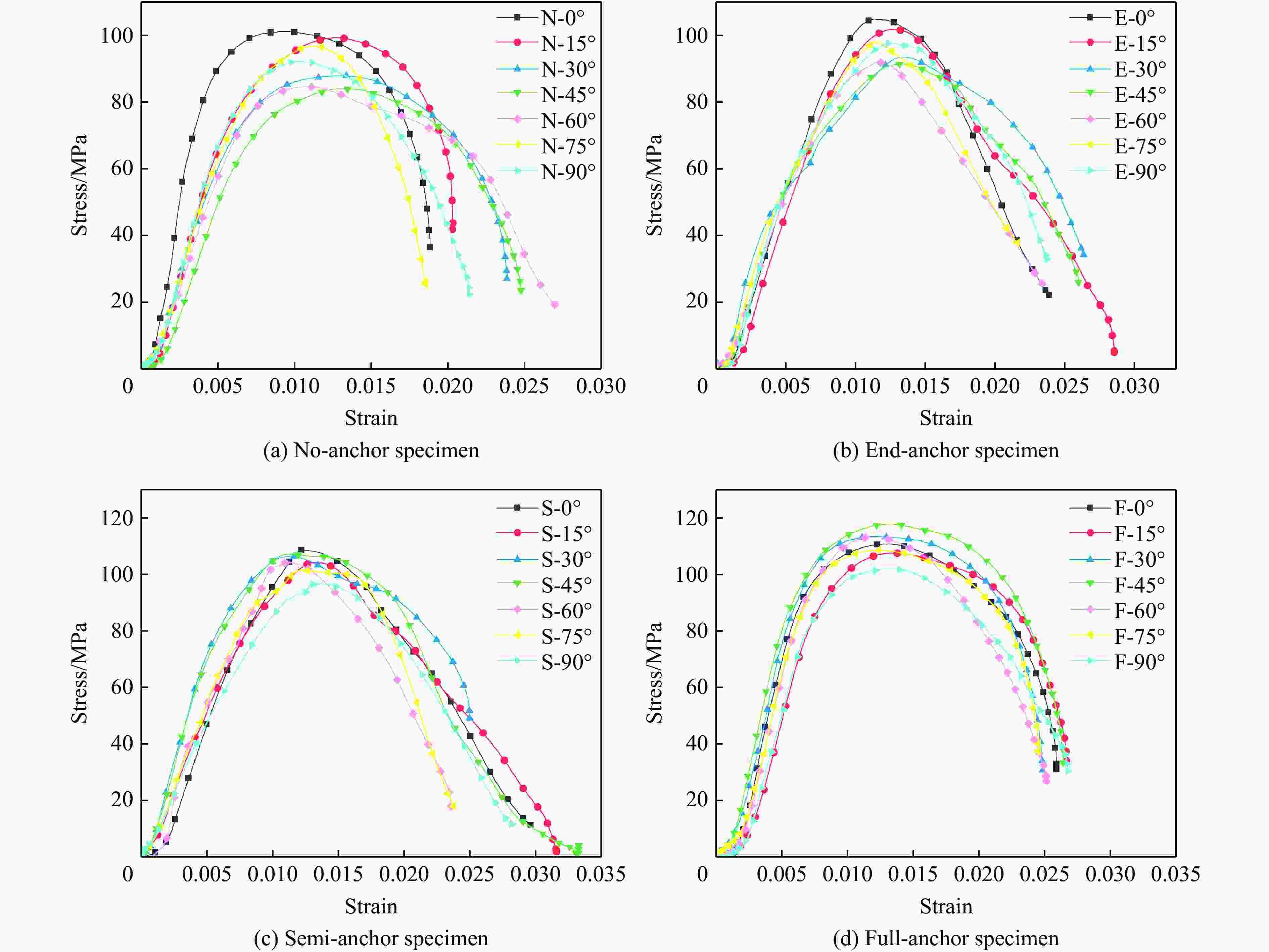
摘要: 为研究冲击荷载下锚固方式与层理倾角对岩体强度的影响规律,对无锚、端锚、半锚及全锚层理砂岩进行动态冲击试验研究,分析了不同锚固方式对层状砂岩动态力学特性、能量耗散规律及破裂分形特征的影响。研究结果表明:无锚试样强度随层理倾角增大,曲线表现先减小后增大,呈V形特征,试样在锚固后,强度得到明显提高,随锚固长度增大,曲线向倒V形特征转化;从能量方面来看,4类试样透射能变化规律均与强度变化规律相似,随层理倾角增大,反射能曲线呈倒V形特征,透射能逐渐减小,耗散能则逐渐增大,锚固方式仅影响了曲线整体水平;试样破坏后的碎屑具有明显分形特征,分形维数受层理倾角影响曲线均表现为倒V形特征,全锚试样破碎程度最小,无锚试样最剧烈,在此基础上计算了单位耗散能指数,曲线则呈现V形特征,全锚试样的单位耗散能指数曲线整体水平最高,表明其抗破坏能力最强。研究成果可为层状岩体工程锚固支护提供参考。Abstract: Layered rock masses were prone to bedding plane cracking or even large-scale collapse under impact loads such as blasting. In engineering practices, bolts or cables were commonly employed for anchoring support. To investigate the dynamic mechanical response of layered rock masses under impact loading and the effectiveness of bolt support, sandstone specimens with different bedding dip angles (0°, 15°, 30°, 45°, 60°, 75°, 90°) and bolt support methods (No-anchor, End-anchor, Semi-anchor, Full- anchor) were prepared. Dynamic impact tests were conducted using a split Hopkinson pressure bar system to analyze the coupling effects of bedding dip angle and bolt support method on the dynamic strength, energy evolution, and failure modes of the rock mass. Additionally, fractal theory was employed to quantitatively characterize the fracture characteristics of the specimens. The results indicate that the strength of unanchored specimens initially decreases and then increases with increasing bedding plane angle, exhibiting a V-shaped curve. After anchoring, the strength of specimens improves significantly, and as the anchor length increases, the curve transitions to an inverted V-shape. From an energy perspective, the transmitted energy trends of all four specimen types are similar to their strength trends. As the bedding plane angle increases, the reflected energy curve shows an inverted V-shape, the transmitted energy gradually decreases, while the dissipated energy increases. The anchoring method primarily affects the overall level of the curves. The fragments of the specimens after failure exhibit distinct fractal characteristics, with the fractal dimension curves showing an inverted V-shape influenced by the bedding plane angle. Full-anchor specimens display the least fragmentation, while No-anchor specimens experience the most severe damage. Based on this, the unit dissipated energy index was calculated, revealing a V-shaped curve. Full-anchor specimens exhibit the highest overall unit dissipated energy index, indicating their superior resistance to damage. The findings of this study can provide a reference for anchor support design in layered rock mass engineering.
-
Key words:
- impact load /
- anchoring method /
- bedding plane angle /
- mechanical response
-
表 1 黄砂岩相关静力学参数
Table 1. Related static parameters of yellow sandstone
层理倾角/(°) 含水率/% 密度/(g·mm−3) 波速/(m·s−1) 抗压强度/MPa 抗拉强度/MPa 弹性模量/GPa 内摩擦角/(°) 0 0.61 2.18 2423 58.3 4.89 8.32 35.67 15 0.53 2.21 2431 57.3 4.02 8.19 35.54 30 0.56 2.2 2460 52.8 3.32 8.21 33.05 45 0.63 2.17 2495 47.2 2.71 7.26 21.59 60 0.66 2.21 2517 44.1 2.16 7.17 14.51 75 0.59 2.19 2530 51.9 2.03 7.25 30.39 90 0.62 2.16 2577 57.3 1.91 8.22 32.36 表 2 锚固材料力学参数
Table 2. Mechanical parameters of anchorage material.
材料 抗拉强度/MPa 抗剪强度/MPa 抗压强度/MPa 弹性模量/GPa 泊松比 工程锚杆 200-600 260-600 − − − 试验锚杆 515 400 − − − 工程锚固剂 − − >60 >12 >0.2 试验锚杆剂 − − >63.7 14.3 0.22 -
[1] XU H C, ZHANG Y, ZHAO C W, et al. Creep Structure Effect of layered rock mass based on acoustic emission characteristics [J]. Shock and Vibration, 2021(18): 1–14. DOI: 10.1155/2021/7419741. [2] 周喻, 李程, 王文林, 等. 单轴压缩条件下含层理煤岩力学特性的细观研究 [J]. 中南大学学报(自然科学版), 2022, 53(10): 4036–47. DOI: 10.11817/j.issn.1672-7207.2022.10.023.ZHOU Y, LI C, WANG W L, et al. A meso-level study on mechanical properties of bedding coal under uniaxial compression [J]. Journal of Central South University (Science and Technology), 2022, 53(10): 4036–47. DOI: 10.11817/j.issn.1672-7207.2022.10.023. [3] 李地元, 邱加冬, 李夕兵. 冲击载荷作用下层状砂岩动态拉压力学特性研究 [J]. 岩石力学与工程学报, 2015, 34(10): 2091–2197. DOI: 10.13722/j.cnki.jrme.2015.0519.LI D Y, QIU J D, LI X B. Experimental study on dynamic tensile and compressive properties of bedding sandstone under impact loading [J]. Chinese Journal of Rock Mechanics and Engineering, 2015, 34(10): 2091–2197. DOI: 10.13722/j.cnki.jrme.2015.0519. [4] 张冬冬, 智奥龙, 李震, 等. 结构性效应对层状岩体力学特性与破坏特征的影响 [J]. 煤炭科学技术, 2022, 50(4): 124–131. DOI: 10.13199/j.cnki.cst.2021-0919.ZHANG D D, ZHI A L, LI Z, et al. Study of structural effect on mechanical properties and failure characters of layered rocks [J]. Coal Science and Technology, 2022, 50(4): 124–131. DOI: 10.13199/j.cnki.cst.2021-0919. [5] ZHANG T, XU W Y, HUANG W, et al. Experimental study on mechanical properties of multi-layered rock mass and statistical damage constitutive model under hydraulic-mechanical coupling [J]. European Journal of Environmental and Civil Engineering, 2020, 27(6): 2388–98. DOI: 10.1080/19648189.2020.1763841. [6] 田永超, 何璠, 殷源. 基于3D打印和FDEM算法的层状岩体力学特性研究 [J]. 岩石力学与工程学报, 2023, 42(S1): 3331–3343. DOI: 10.13722/j.cnki.jrme.2022.0624.TIAN Y C, HE F, YIN Y. Study on mechanical properties of layered rock mass based on 3D printing technology and FDEM algorithm [J]. Chinese Journal of Rock Mechanics and Engineering, 2023, 42(S1): 3331–3343. DOI: 10.13722/j.cnki.jrme.2022.0624. [7] FAN W B, ZHANG J W, YANG Y, et al. Study on the mechanical behavior and constitutive model of layered sandstone under triaxial dynamic loading [J]. Mathematics, 2023, 11(8). 1959. DOI: 10.3390/math11081959. [8] TIAN X C, TAO T J, XIE C J, et al. Study of impact dynamic characteristics and damage morphology of layered rock mass [J]. Geofluids, 2022(1): 1–13. DOI: 10.1155/2022/2835775. [9] LIU Y S, HE C S, WANG S M, et al. Dynamic splitting tensile properties and failure mechanism of layered slate [J]. Advances in Civil Engineering, 2020(1): 1–16. DOI: 10.1155/2020/1073608. [10] 康永水, 耿志, 刘泉声, 等. 我国软岩大变形灾害控制技术与方法研究进展 [J]. 岩土力学, 2022, 43(8): 2035–59. DOI: 10.16285/j.rsm.2021.1926.KANG Y S, GENG Z, LIU Q S, et al. Research progress on support technology and methods for soft rock with large deformation hazards in China [J]. Rock and Soil Mechanics, 2022, 43(8): 2035–59. DOI: 10.16285/j.rsm.2021.1926. [11] 杨龙, 陈健云, 苑晨阳. 预应力岩体锚固基础力学性能试验研究 [J]. 建筑结构, 2022, 52(S2): 2136–2341. DOI: 10.19701/j.jzjg.22S2584.YANG L, CHEN J Y, YUAN C Y. Experimental research on mechanical properties of prestressed pock mass anchorage foundation [J]. Building Structure, 2022, 52(S2): 2136–2341. DOI: 10.19701/j.jzjg.22S2584. [12] 孙克国, 许炜萍, 黄谦, 等. 预应力锚杆拉拔力学特性及临界锚固长度研究 [J]. 岩石力学与工程学报, 2024, 43(3): 653–669. DOI: 10.13722/j.cnki.jrme.2023.0832.SUN K G, XU W P, HUANG Q, et al. Study on pull-out mechanical characteristics and critical anchorage length of prestressed anchor bolts [J]. Chinese Journal of Rock Mechanics and Engineering, 2024, 43(3): 653–669. DOI: 10.13722/j.cnki.jrme.2023.0832. [13] 祖国利, 王俊, 宁建国, 等. 冲击载荷作用下预应力锚杆锚固阻裂效应试验研究 [J]. 岩土工程学报, 2023, 45(8): 1743–53. DOI: 10.11779/CJGE20221348.ZU G L, WANG J, NING J G, et al. Experimental study on anchoring crack-resistance effects of prestressed anchor under impact loads [J]. Chinese Journal of Geotechnical Engineering, 2023, 45(8): 1743–53. DOI: 10.11779/CJGE20221348. [14] 常聚才, 齐潮, 殷志强, 等. 动载作用下端锚锚固体力学响应特征研究 [J]. 岩土力学, 2022, 43(12): 3294–304. DOI: 10.16285/j.rsm.2022.0988.CHANG J C, QI C, YIN Z Q, et al. Study on mechanical response characteristics of end anchorage body under dynamic load [J]. Rock and Soil Mechanics, 2022, 43(12): 3294–304. DOI: 10.16285/j.rsm.2022.0988. [15] 王文杰, 刘超, 黄永祥, 等. 动静载下全长砂浆锚固玻璃钢锚杆受力及失效特征分析 [J]. 岩土力学, 2023, 44(12): 3617–28. DOI: 10.16285/j.rsm.2022.1984.WANG W J, LIU C, HUANG Y X, et al. Stress and failure characteristics of full-length mortar anchored GFRP bolts under dynamic and static loads [J]. Rock and Soil Mechanics, 2023, 44(12): 3617–28. DOI: 10.16285/j.rsm.2022.1984. [16] 郑罗斌, 王亮清, 朱林锋, 等. 锁定方式对锚固节理剪切特性影响的试验研究 [J]. 岩土力学, 2021, 42(4): 1056–64+87. DOI: 10.16285/j.rsm.2020.1050.ZHENG L B, WANG L Q, ZHU L F, et al. Experimental study on the effect of locking mode on shear characteristics of bolted rock joint [J]. Rock and Soil Mechanics, 2021, 42(4): 1056–64+87. DOI: 10.16285/j.rsm.2020.1050. [17] GONG Z C, YANG W D, WANG L, et al. Behavior of jointed rock specimens reinforced with bolts under uniaxial compression [J]. Journal of Testing and Evaluation, 2023, 51(2): 472–94. DOI: 10.1520/jte20220355. [18] ZHU W X, JING H W, YANG L J, et al. Strength and deformation behaviors of bedded rock mass under bolt reinforcement [J]. International Journal of Mining Science and Technology, 2018, 28(4): 593–9. DOI: 10.1016/j.ijmst.2018.03.006. [19] CHEN Y L, TENG J Y, SADIQ R A B, et al. Experimental study of bolt-anchoring mechanism for bedded rock mass [J]. International Journal of Geomechanics, 2020, 20(4). DOI: 10.1061/(asce)gm.1943-5622.0001561. [20] LI H Y, ZUO S Y, CHEN S W, et al. Orthotropic elastic model and its parameters in anchored layered rock mass under varying incident angles: development and validation [J]. International Journal of Geomechanics, 2023, 23(5). DOI: 10.1061/ijgnai.Gmeng-8031. [21] LI Y, LI C, ZHANG L, Z, et al. An experimental investigation on mechanical property and anchorage effect of bolted jointed rock mass [J]. Geosciences Journal, 2017, 21(2): 253–65. DOI: 10.1007/s12303-016-0043-8. [22] 邱鹏奇, 宁建国, 王俊, 等. 冲击动载作用下加锚岩体抗冲时效试验研究 [J]. 煤炭学报, 2021, 46(11): 3433–3444. DOI: 10.13225/j.cnki.jccs.2020.1354.QIU P Q, NING J G, WANG J, et al. Experimental study on EPRD (effectiveness for a given period to resistance dynamic load) of bolted rock under dynamic load [J]. Journal Of China Coal society, 2021, 46(11): 3433–3444. DOI: 10.13225/j.cnki.jccs.2020.1354. [23] 陈士海, 宫嘉辰, 胡帅伟. 爆破荷载下围岩及支护锚杆动力响应特征模型试验研究 [J]. 岩土力学, 2020, 41(12): 3910–8. DOI: 10.16285/j.rsm.2020.0425.CHEN S H, GONG J C, HU S W. Model test study on dynamic response characteristics of host rock mass and supporting bolt under blasting load [J]. Rock and Soil Mechanics, 2020, 41(12): 3910–8. DOI: 10.16285/j.rsm.2020.0425. [24] The Professional Standards Compilation Group of People’s Republic of China. Technical specification for testing method of rock dynamic properties: T/CSRME 001—2019 [S]. Beijing: Standards Press of China, 2019. [25] 常聚才, 齐潮, 殷志强, 等. 动载作用下全锚锚固体应力波传播及破坏特征 [J]. 煤炭学报, 2023, 48(5): 1996–2007. DOI: 10.13225/j.cnki.jccs.2023.0152.CHANG J C, QI C, YIN Z Q, et al. Propagation and failure characteristics of stress wave of full anchor solid under dynamic load [J]. Journal of China Coal Society, 2023, 48(5): 1996–2007. DOI: 10.13225/j.cnki.jccs.2023.0152. [26] 王斌, 宁勇, 冯涛, 等. 加锚砂岩单轴力学特性及屈曲型岩爆控制机制 [J]. 中南大学学报(自然科学版), 2019, 50(9): 2285–2294. DOI: 10.11817/j.issn.1672-7207.2019.09.025.WANG B, NING Y, FENG T, et al. Uniaxial mechanical characteristics of anchored sandstone and its mechanism of controlling buckling rock burst [J]. Journal of Central South University (Science and Technology), 2019, 50(9): 2285–2294. DOI: 10.11817/j.issn.1672-7207.2019.09.025. [27] 陈见行, 曾班全, 张俊文. 冲击荷载下加卸载效应对冲击性岩石力学特性的影响 [J]. 煤炭学报, 2024, 49(5): 2283–2297. DOI: 10.13225/j.cnki.jccs.2023.0572.CHEN J X, ZENG B Q, ZHANG J W. Influence of loading and unloading effect on mechanical properties of impact rock under impact load [J]. Journal of China Coal Society, 2024, 49(5): 2283–2297. DOI: 10.13225/j.cnki.jccs.2023.0572. [28] 唐礼忠, 王春, 程露萍, 等. 一维静载及循环冲击共同作用下矽卡岩力学特性试验研究 [J]. 中南大学学报(自然科学版), 2015, 46(10): 3898–3906. DOI: 10.11817/j.issn.1672-7207.2015.10.045.TANG L Z, WANG C, CHENG L P, et al. Experimental study of mechanical characteristics of skarn under one-dimensional coupled static and cyclic impact loads [J]. Journal of Central South University (Science and Technology), 2015, 46(10): 3898–3906. DOI: 10.11817/j.issn.1672-7207.2015.10.045. [29] 李杨杨, 张士川, 文志杰, 等. 循环载荷下煤样能量转化与碎块分布特征 [J]. 煤炭学报, 2019, 44(5): 1411–1420. DOI: 10.13225/j.cnki.jccs.2019.6034.LI Y Y, ZHANG S C, WENG Z J, et al. Energy conversion and fragment distribution characteristics of coal sample under uniaxial cyclic loading [J]. Journal of China Coal Society, 2019, 44(5): 1411–1420. DOI: 10.13225/j.cnki.jccs.2019.6034. [30] LU Y Y, YU Y, FENG G L, et al. Experimental study on dynamic mechanical response and crack control mechanism of anchored layered sandstone by DIC technology [J]. Measurement, 2025, 250(7): 117078. DOI: 10.1016/j.measurement.2025.117078. -


下载: