Dynamic characteristics and damage constitutive model of high-temperature bedding sandstone under cyclic impact
-
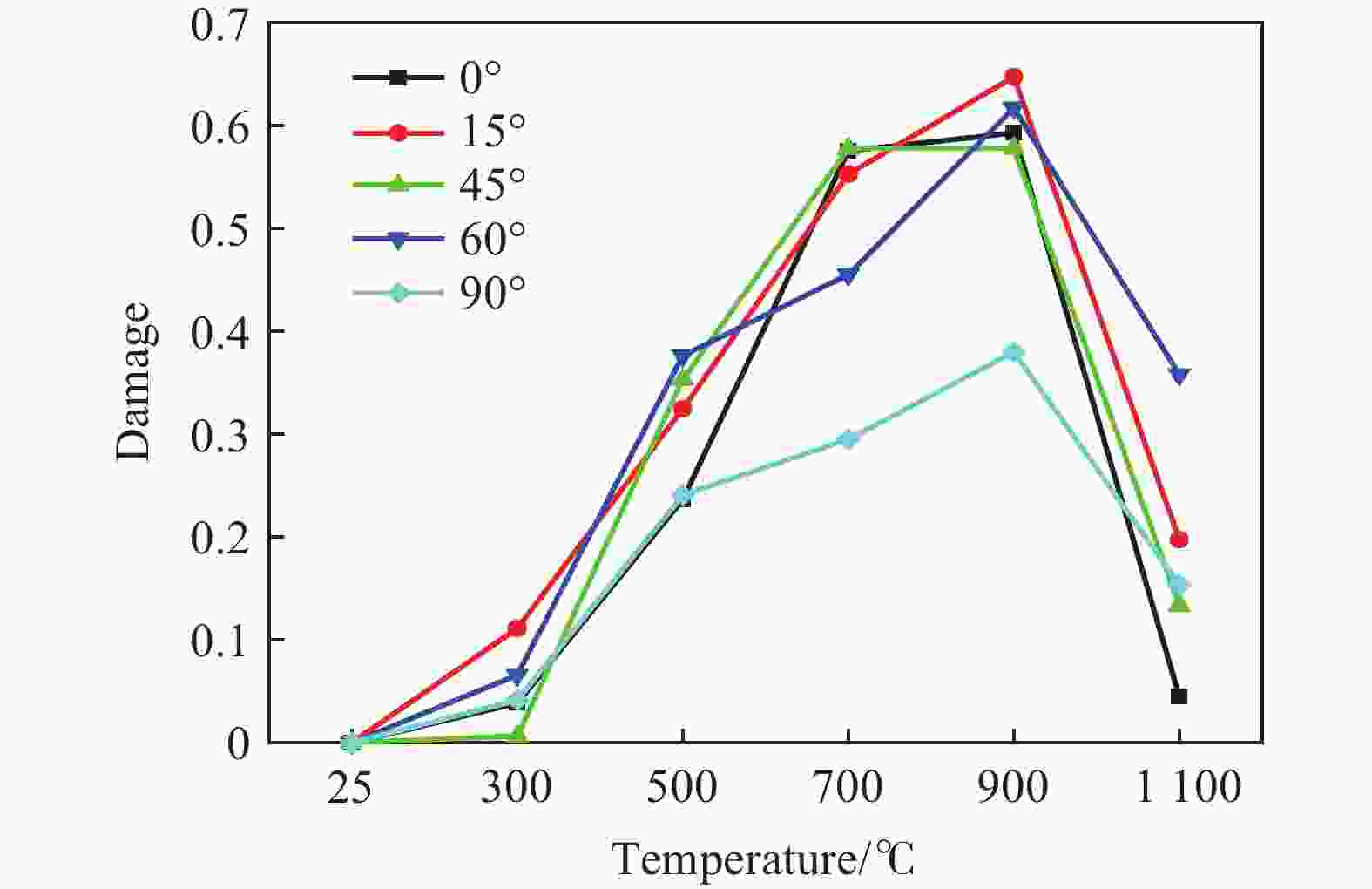
摘要: 为研究循环冲击下高温层理砂岩的动力学特性及动态损伤本构模型,首先对高温(300~
1100 ℃)作用后层理砂岩的物理特性进行测试;其次利用霍普金森压杆(split Hopkinson pressure bar,SHPB)装置开展了循环冲击下高温层理砂岩动力学特性研究;最后,基于层理岩石黏弹性损伤元件模型,构建了考虑高温-冲击荷载耦合损伤的层理岩石动态本构模型,并通过实验数据对模型进行了验证。结果表明:砂岩主要矿物晶体石英的变晶温度处于500~700 ℃之间。温度越高,砂岩表观颜色越深,质量越小,波速和峰值应力先减小后增大。温度对0°、45°层理砂岩造成的损伤更大,900 ℃时损伤最为显著。在1300 V冲击电压下,层理砂岩的峰值应力随冲击次数的增加呈现先升后降的趋势。冲击荷载使高温后的0°层理砂岩更容易破坏,而45°和60°层理砂岩表现出较强的抗冲击能力。模型预测曲线与试验曲线相差较小,表明该模型在描述高温层理砂岩循环冲击力学特性方面具有良好的适用性。Abstract: To investigate the dynamic characteristics and dynamic damage constitutive model of high-temperature bedding sandstone under cyclic impact, the physical properties of bedding sandstone after exposure to 300−1100 ℃ were first examined, and the influence of temperature on the color, mineral composition, mass and wave velocity of the specimens was recorded. Second, the dynamic characteristics of high-temperature bedding sandstone under cyclic impact were studied with a split Hopkinson pressure bar (SHPB) apparatus, and the dynamic responses of bedding sandstone at different strain rates and impact numbers were analyzed. Finally, on the basis of the visco-elastic damage element model for bedding rock, a dynamic constitutive model that accounts for high-temperature-impact-load coupling damage was established and verified against experimental data. The results show that the crystallization temperature of the dominant mineral quartz lies between 500 ℃ and 700 ℃; the higher the temperature, the darker the apparent color of the rock and the lower its mass. With increasing temperature, the wave velocity and peak stress first decrease and then increase. Temperature inflicts greater damage on 0° and 45° bedding sandstone, and the damage is most pronounced at 900 ℃. Under an impact voltage of1300 V, the peak stress of bedding sandstone increases and then decreases with increasing impact number. Impact loading renders 0° bedding sandstone more susceptible to failure after high-temperature exposure, whereas 45° and 60° bedding sandstone exhibit strong impact resistance. The difference between the predicted and experimental curves is small, indicating that the model satisfactorily describes the cyclic-impact mechanical behavior of high-temperature bedding sandstone. The findings provide a valuable theoretical reference for the prevention and control of rock dynamic disasters in complex deep geothermal engineering environments.-
Key words:
- rock dynamics /
- high temperature /
- bedding sandstone /
- cyclic impact /
- constitutive model
-
表 1 高温后砂岩基质部分的主要矿物成分
Table 1. Major mineral compositions of sandstone matrix fractions after high temperatures
温度/℃ 物质 质量分数/% 25 石英 47.2 钠长石 31.2 钙长石 10.5 钾长石 4.4 高岭石 6.7 500 石英 66.5 钠长石 33.5 700 石英 62.6 钠长石 37.4 900 石英 55.7 钠长石 44.3 1100 石英 62.1 钠长石 37.9 表 2 高温处理后砂岩层理部分的主要矿物成分
Table 2. Major mineral compositions of sandstone bedding fractions after high temperatures
温度/℃ 物质 质量分数/% 25 石英 26.9 钠长石 20.1 钙长石 11.4 钾长石 6.1 高岭石 35.5 500 石英 42.1 钠长石 36.5 高岭石 21.4 700 石英 62.7 钠长石 37.3 900 石英 65.2 钠长石 34.8 1100 石英 73.5 钠长石 26.5 表 3 主要矿物的熔融温度范围
Table 3. Melting temperature ranges of major minerals
物质 温度/℃ 状态 钠长石 950~ 1100 熔融 石英 ≥ 1350 熔融 表 4 循环冲击后试件的损伤
Table 4. The damage of specimens after cyclic impact
层理角度/(°) 一次冲击峰值应力/MPa 临界破坏强度/MPa 损伤 0 21.97 17.56 0.20 15 20.78 16.25 0.21 45 26.04 12.42 0.52 60 23.41 10.66 0.54 90 38.87 26.57 0.31 表 5 $ \mathrm{\mathit{A}}(T) $和$ \mathrm{\mathit{B}}(T) $与温度的关系
Table 5. Relationship of $ \mathit{\mathrm{\mathit{A}}}(T) $ and $ \mathit{\mathit{\mathrm{\mathit{B}}}}(T) $ with temperature
温度/℃ A(T) B(T) 温度/℃ A(T) B(T) 25 1.000 1.000 700 1.888 0.791 300 1.155 1.598 900 2.012 0.799 500 1.644 1.069 1100 1.333 1.023 -
[1] 朱合华, 蔡武强, 梁文灏. GZZ岩体强度三维分析理论与深埋隧道应力控制设计分析方法 [J]. 岩石力学与工程学报, 2023, 42(1): 1–27. DOI: 10.13722/j.cnki.jrme.2022.0667.ZHU H H, CAI W Q, LIANG W H. GZZ strength-based three-dimensional analysis theory and stress-controlled design method in deep tunneling [J]. Chinese Journal of Rock Mechanics and Engineering, 2023, 42(1): 1–27. DOI: 10.13722/j.cnki.jrme.2022.0667. [2] LI H Z, GUO G L, ZHENG N S. High-temperature effects of the surrounding rocks around the combustion space area in SMFM-CRIP : a case study in China [J]. Energy Sources, Part A: Recovery, Utilization, and Environmental Effects, 2018, 40(17): 2021–2036. DOI: 10.1080/15567036.2018.1486915. [3] 刘辉. 循环热冲击作用下干热岩力学特性及损伤机理研究 [D]. 江苏徐州: 中国矿业大学, 2022. DOI: 10.27623/d.cnki.gzkyu.2022.000056.LIU H. Mechanical properties and damage mechanism of hot dry rock under cyclic thermal shock [D]. Xuzhou, Jiangsu, China: China University of Mining and Technology, 2022. DOI: 10.27623/d.cnki.gzkyu.2022.000056. [4] 吴星辉, 李鹏, 郭奇峰, 等. 热损伤岩石物理力学特性演化机制研究进展 [J]. 工程科学学报, 2022, 44(5): 827–839. DOI: 10.13374/j.issn2095-9389.2020.12.23.007.WU X H, LI P, GUO Q F, et al. Research progress on the evolution of physical and mechanical properties of thermally damaged rock [J]. Chinese Journal of Engineering, 2022, 44(5): 827–839. DOI: 10.13374/j.issn2095-9389.2020.12.23.007. [5] 吴秋红, 夏宇浩, 赵延林, 等. 不同温度及冷却速率下花岗岩动态拉伸力学特性 [J]. 煤炭学报, 2023, 48(5): 2179–2193. DOI: 10.13225/j.cnki.jccs.2023.0127.WU Q H, XIA Y H, ZHAO Y L, et al. Effects of high temperature and cooling rate on dynamic tensile mechanical properties of granite [J]. Journal of China Coal Society, 2023, 48(5): 2179–2193. DOI: 10.13225/j.cnki.jccs.2023.0127. [6] 蒋浩鹏, 姜谙男, 杨秀荣. 基于Weibull分布的高温岩石统计损伤本构模型及其验证 [J]. 岩土力学, 2021, 42(7): 1894–1902. DOI: 10.16285/j.rsm.2020.1461.JIANG H P, JIANG A N, YANG X R. Statistical damage constitutive model of high temperature rock based on Weibull distribution and its verification [J]. Rock and Soil Mechanics, 2021, 42(7): 1894–1902. DOI: 10.16285/j.rsm.2020.1461. [7] 贾宝新, 陈国栋, 刘丰溥. 高温下岩石损伤本构模型及其验证 [J]. 岩土力学, 2022, 43(S2): 63–73. DOI: 10.16285/j.rsm.2021.1973.JIA B X, CHEN G D, LIU F P. Damage constitutive model of rock under high temperature and its verification [J]. Rock and Soil Mechanics, 2022, 43(S2): 63–73. DOI: 10.16285/j.rsm.2021.1973. [8] RONG G, PENG J, CAI M, et al. Experimental investigation of thermal cycling effect on physical and mechanical properties of bedrocks in geothermal fields [J]. Applied Thermal Engineering, 2018, 141: 174–185. DOI: 10.1016/j.applthermaleng.2018.05.126. [9] KIM T, JEON S. Experimental study on shear behavior of a rock discontinuity under various thermal, hydraulic and mechanical conditions [J]. Rock Mechanics and Rock Engineering, 2019, 52(7): 2207–2226. DOI: 10.1007/s00603-018-1723-7. [10] ZHANG Q, LI X C, BAI B, et al. The shear behavior of sandstone joints under different fluid and temperature conditions [J]. Engineering Geology, 2019, 257: 105143. DOI: 10.1016/j.enggeo.2019.05.020. [11] MA L J, ZHOU L, ZHU Z M, et al. Study on fracture characteristics of mode Ⅱ fractured rocks under different heat treatments [J]. Fatigue and Fracture of Engineering Materials and Structures, 2025, 48(6): 2633–2648. DOI: 10.1111/ffe.14630. [12] 许梦飞, 姜谙男, 蒋腾飞, 等. 考虑循环爆破效应的Hoek-Brown弹塑性损伤模型及其工程应用 [J]. 岩石力学与工程学报, 2020, 39(S1): 2683–2692. DOI: 10.13722/j.cnki.jrme.2019.1062.XU M F, JIANG A N, JIANG T F, et al. A cumulative blasting damage model of rock based on Hoek-Brown criterion and its engineering application [J]. Chinese Journal of Rock Mechanics and Engineering, 2020, 39(S1): 2683–2692. DOI: 10.13722/j.cnki.jrme.2019.1062. [13] 詹金武, 周亚来, 王雨, 等. 高温-冷却-冲击循环下花岗岩物理损伤及力学劣化试验研究 [J]. 岩土力学, 2024, 45(8): 2362–2372, 2386. DOI: 10.16285/j.rsm.2023.1429.ZHAN J W, ZHOU Y L, WANG Y, et al. Experimental study on physical damage and mechanical degradation of granite subjected to high-temperature cooling impact cycling [J]. Rock and Soil Mechanics, 2024, 45(8): 2362–2372, 2386. DOI: 10.16285/j.rsm.2023.1429. [14] 杨科, 许日杰, 刘帅, 等. 冲击载荷下煤样动力学响应特性与损伤本构模型 [J]. 振动与冲击, 2024, 43(9): 139–148. DOI: 10.13465/j.cnki.jvs.2024.09.017.YANG K, XU R J, LIU S, et al. Dynamic response characteristics and damage constitutive model of coal samples under impact load [J]. Journal of Vibration and Shock, 2024, 43(9): 139–148. DOI: 10.13465/j.cnki.jvs.2024.09.017. [15] 张蓉蓉, 沈永辉, 马冬冬, 等. 循环冲击作用下冻融红砂岩动力学特性与损伤机理 [J]. 爆炸与冲击, 2024, 44(8): 081443. DOI: 10.11883/bzycj-2023-0449.ZHANG R R, SHEN Y H, MA D D, et al. Dynamic characteristics and damage mechanism of freeze-thaw treated red sandstone under cyclic impact [J]. Explosion and Shock Waves, 2024, 44(8): 081443. DOI: 10.11883/bzycj-2023-0449. [16] 赵洪宝, 吉东亮, 刘绍强, 等. 冲击荷载下复合岩体动力响应力学特性及本构模型研究 [J]. 岩石力学与工程学报, 2023, 42(1): 88–99. DOI: 10.13722/j.cnki.jrme.2022.0523.ZHAO H B, JI D L, LIU S Q, et al. Study on dynamic response and constitutive model of composite rock under impact loading [J]. Chinese Journal of Rock Mechanics and Engineering, 2023, 42(1): 88–99. DOI: 10.13722/j.cnki.jrme.2022.0523. [17] 王志亮, 汪大为, 汪书敏, 等. 循环冲击下大理岩的损伤力学行为及能量耗散特性 [J]. 爆炸与冲击, 2024, 44(4): 043104. DOI: 10.11883/bzycj-2023-0243.WANG Z L, WANG D W, WANG S M, et al. Dynamic behaviors and energy dissipation characteristics of marble under cyclic impact loading [J]. Explosion and Shock Waves, 2024, 44(4): 043104. DOI: 10.11883/bzycj-2023-0243. [18] WANG X S, GUO L J, XU Z Y, et al. Dynamic response and damage evolution of red sandstone with confining pressure under cyclic impact loading [J]. Fatigue and Fracture of Engineering Materials and Structures, 2023, 46(3): 1078–1092. DOI: 10.1111/FFE.13920. [19] LU H, CHEN Q L, MA X T. Investigation into dynamic behaviors of high-temperature sandstone under cyclic impact loading using DIC technology [J]. Applied Sciences, 2022, 12(18): 9247. DOI: 10.3390/APP12189247. [20] 王伟, 刘泽, 牛庆合, 等. 循环冲击作用下砂岩裂缝扩展及渗透率响应特征 [J]. 爆炸与冲击, 2025, 45(6): 061421. DOI: 10.11883/bzycj-2024-0346.WANG W, LIU Z, NIU Q H, et al. Characteristics of fracture propagation and permeability response of sandstone under cyclic impact effect [J]. Explosion and Shock Waves, 2025, 45(6): 061421. DOI: 10.11883/bzycj-2024-0346. [21] 雷小磊, 汪海波, 段继超, 等. 循环荷载作用下石灰岩动态力学响应特征与损伤演化机制 [J]. 振动与冲击, 2025, 44(10): 30–40,57. DOI: 10.13465/j.cnki.jvs.2025.10.004.LEI X L, WANG H B, DUAN J C, et al. Dynamic mechanical response characteristics and damage evolution mechanism of limestone under cyclic loading [J]. Journal of Vibration and Shock, 2025, 44(10): 30–40,57. DOI: 10.13465/j.cnki.jvs.2025.10.004. [22] 刘冬桥, 郭允朋, 李杰宇, 等. 基于耗散能演化的层状黄砂岩损伤本构模型及其验证 [J]. 工程科学学报, 2024, 46(5): 784–799. DOI: 10.13374/j.issn2095-9389.2023.06.18.002.LIU D Q, GUO Y P, LI J Y, et al. Damage constitutive model for layered yellow sandstone based on dissipative energy evolution and its verification [J]. Chinese Journal of Engineering, 2024, 46(5): 784–799. DOI: 10.13374/j.issn2095-9389.2023.06.18.002. [23] 宋战平, 程昀, 杨腾添, 等. 循环荷载下硬质层理砂岩疲劳损伤机制试验研究 [J]. 岩土工程学报, 2024, 46(3): 490–499. DOI: 10.11779/CJGE20230267.SONG Z P, CHENG Y, YANG T T, et al. Experimental study on fatigue damage evolution mechanism of hard layered sandstone under cyclic loading [J]. Chinese Journal of Geotechnical Engineering, 2024, 46(3): 490–499. DOI: 10.11779/CJGE20230267. [24] 邓华锋, 李涛, 李建林, 等. 层状岩体各向异性声学和力学参数计算方法研究 [J]. 岩石力学与工程学报, 2020, 39(S1): 2725–2732. DOI: 10.13722/j.cnki.jrme.2019.1174.DENG H F, LI T, LI J L, et al. Study on calculation method of anisotropic acoustic and mechanical parameters of layered rock [J]. Chinese Journal of Rock Mechanics and Engineering, 2020, 39(S1): 2725–2732. DOI: 10.13722/j.cnki.jrme.2019.1174. [25] 王刚, 郑金叶, 刘义鑫, 等. 不同温度作用下砂岩微观结构变化与演化规律实验研究 [J]. 岩石力学与工程学报, 2024, 43(3): 600–610. DOI: 10.13722/j.cnki.jrme.2023.0681.WANG G, ZHENG J Y, LIU Y X, et al. Experimental study on the microstructure change and evolution law of sandstone under different temperatures [J]. Chinese Journal of Rock Mechanics and Engineering, 2024, 43(3): 600–610. DOI: 10.13722/j.cnki.jrme.2023.0681. [26] 唐梦奇, 黎香荣, 刘国文, 等. X射线衍射K值法测定氧化铁皮中游离α-SiO2的含量 [J]. 岩矿测试, 2015, 34(5): 565–569. DOI: 10.15898/j.cnki.11-2131/td.2015.05.011. [27] 张毅, 李皋, 王希勇, 等. 川西须家河组致密砂岩高温后微组构特征及对力学性能的影响 [J]. 岩石力学与工程学报, 2021, 40(11): 2249–2259. DOI: 10.13722/j.cnki.jrme.2021.0135.ZHANG Y, LI G, WANG X Y, et al. Microfabric characteristics of tight sandstone of Xujiahe formation in western Sichuan after high temperature and the effect on mechanical properties [J]. Chinese Journal of Rock Mechanics and Engineering, 2021, 40(11): 2249–2259. DOI: 10.13722/j.cnki.jrme.2021.0135. [28] SOBOLEV R N, MAL’TSEV V V, VOLKOVA E A. Experimental investigation of the melting of minerals and rocks [J]. Russian Metallurgy (Metally), 2021, 2021(2): 102–108. DOI: 10.1134/S0036029521020269. [29] BERNASCONI A, MARINONI N, PAVESE A, et al. Feldspar and firing cycle effects on the evolution of sanitary-ware vitreous body [J]. Ceramics International, 2014, 40(5): 6389–6398. DOI: 10.1016/j.ceramint.2013.11.139. [30] 夏才初, 孙宗颀. 工程岩体节理力学 [M]. 上海: 同济大学出版社, 2002: 87–93.XIA C C, SUN Z Q. Engineering rock mass joints mechanics [M] Shanghai: Tongji University Press, 2002: 87–93. [31] 欧雪峰, 张学民, 张聪, 等. 冲击加载下板岩压缩破坏层理效应及损伤本构模型研究 [J]. 岩石力学与工程学报, 2019, 38(S2): 3503–3511. DOI: 10.13722/j.cnki.jrme.2019.0391.OU X F, ZHANG X M, ZHANG C, et al. Study on bedding effect and damage constitutive model of slate under compressive dynamic loading [J]. Chinese Journal of Rock Mechanics and Engineering, 2019, 38(S2): 3503–3511. DOI: 10.13722/j.cnki.jrme.2019.0391. [32] 黄达, 张永发, 朱谭谭, 等. 砂岩拉-剪力学特性试验研究 [J]. 岩土工程学报, 2019, 41(2): 272–276. DOI: 10.11779/CJGE201902004.HUANG D, ZHANG Y F, ZHU T T, et al. Experimental study on tension-shear mechanical behavior of sandstone [J]. Chinese Journal of Geotechnical Engineering, 2019, 41(2): 272–276. DOI: 10.11779/CJGE201902004. -


下载: