Prediction model for projectile ballistic characteristics in multi-layered spaced concrete thin targets based on CNN
-
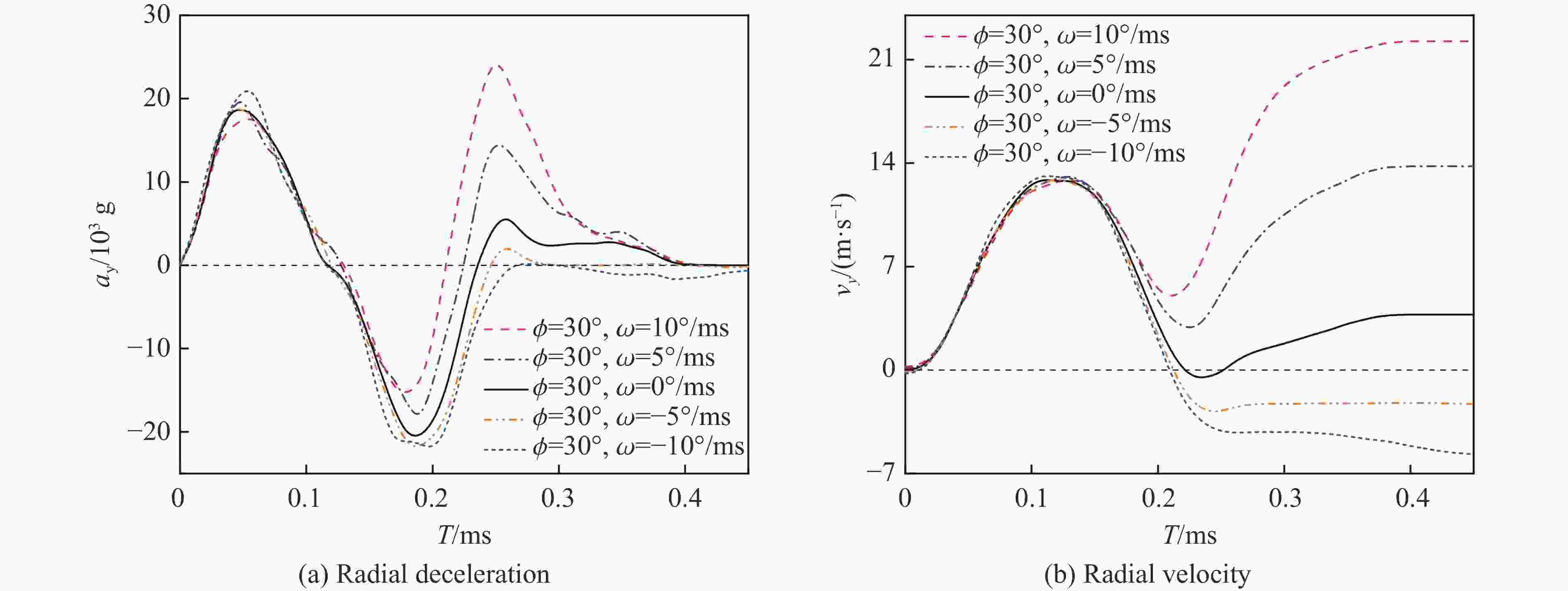
摘要: 针对传统弹道预测方法计算成本高、难以满足快速评估需求的问题,提出了基于卷积神经网络(convolutional neural network,CNN)的多层混凝土薄靶侵彻弹道高效预测模型。首先,基于经过试验验证的数值模拟方法,分析并明确了弹体角速度对弹道偏转的重要影响,进而将其作为重要的弹靶交会条件,通过系统调整初始参数,构建了包含127组工况的单层混凝土薄靶侵彻数据集。在此基础上,建立了以弹体参数、靶体参数、弹靶交会条件为输入,弹体靶后运动参数为输出的高精度单层靶侵彻弹道预测模型,并进一步结合弹体靶间飞行的刚体运动学方程,构建了完整的侵彻-飞行迭代预测框架,实现了多层间隔混凝土薄靶弹道特性的快速预测。研究结果表明:逆时针角速度增大会导致靶后径向剩余速度正向增大,弹道轨迹向上偏转,顺时针角速度则产生相反效应,弹体角速度是薄靶侵彻过程中不可忽略的重要参数;针对单层靶工况,预测模型训练集和测试集的平均均方误差值稳定在
0.0012 与0.0019 左右,表现出良好的预测性能;在多层靶预测中,模型在保证精度(剩余速度最大相对误差10.65%,姿态角最大绝对误差3.47°)的前提下,求解时间仅为传统数值模拟方法的0.05%。本研究不仅揭示了弹体角速度这一关键因素对侵彻弹道的影响规律,更提供了一种“数据驱动+物理方程融合”的建模新范式,可为武器毁伤效能评估与设计优化提供参考。Abstract: To overcome the high computational cost of traditional ballistic prediction methods and their inability to satisfy rapid assessment requirements, this study proposes an efficient predictive model for the penetration ballistics of multi-layer thin concrete targets based on a Convolutional Neural Network (CNN). First, a numerically simulated approach, validated by experiments, was employed to analyze and confirm the significant influence of projectile angular velocity on trajectory deflection, and this parameter was consequently identified as a key projectile–target engagement condition. By systematically varying the initial conditions, a dataset comprising 127 cases of single-layer thin concrete target penetration was constructed. On this basis, a high-accuracy ballistic prediction model for single-layer targets was developed, taking projectile parameters, target parameters, and engagement conditions as inputs, and post-impact projectile motion parameters as outputs. Furthermore, by incorporating rigid-body kinematic equations describing the projectile flight between successive targets, a complete iterative penetration–flight prediction framework was established, enabling rapid prediction of ballistic characteristics for multi-layer spaced thin concrete targets. The results indicate that an increase in counterclockwise angular velocity leads to a positive increase in the radial residual velocity behind the target and an upward deflection of the trajectory, whereas clockwise angular velocity produces the opposite effect. These findings demonstrate that projectile angular velocity is a critical and non-negligible factor in thin-target penetration. For single-layer target cases, the model exhibited strong predictive capability, with the mean MSE values of the training and test sets stabilizing at approximately0.0012 and0.0019 , respectively. For multi-layer target predictions, while maintaining high accuracy (with a maximum relative error of 10.65% in residual velocity and a maximum absolute error of 3.47° in attitude angle), the computational time of the proposed method was only about 0.05% of that required by conventional numerical simulation. This study not only elucidates the influence of the key factor-projectile angular velocity-on penetration ballistics, but also proposes a novel “data-driven and physics-equation fusion” modeling paradigm, providing an important methodological reference for weapon damage effectiveness assessment and design optimization. -
图 11 弹道轨迹对比
Figure 11. Comparison of ballistic trajectories[1]
密度ρ/(g·cm−3) 杨氏模量E/GPa 泊松比υ 屈服强度A/MPa 硬化参数 7.85 210 0.3 1314 1 密度ρ/(g·cm−3) 剪切模量G/GPa 损伤参数D1 损伤参数D2 残余应力强度参数Af 2.4 21.9 0.04 1.0 1.6 压缩屈服比gc* 拉伸屈服比gt* 抗压强度fc/MPa 失效面指数N 残余应力强度指数nf 0.53 0.7 40 0.76 0.27 表 4 弹体与靶体参数
Table 4. Projectile and target parameters
弹体参数 靶体参数 d/mm L/mm CRH m/g l/mm fc/MPa Ht/mm 30 180 4 520 95.58 40 100 表 5 侵彻数据集
Table 5. Penetration dataset
弹靶交会条件 靶后弹体动态特性 v/(m·s−1) ω/(°·ms−1) α/(°) φ/(°) vz/(m·s−1) vy/(m·s−1) β/(°) ω′/(°·ms−1) hy/mm 350 0 0 20 253 8.98 1.1 −4.4 6.15 400 0 0 30 298 14 −0.44 −12.8 11.51 500 0 0 20 416 2.81 −0.28 −5.92 2.61 850 0 0 30 769 4.14 3.95 −5.13 −2.66 700 −5 −3 30 614 4.28 −1.82 −2.37 14.12 700 5 −3 30 607 −22.1 −5.46 4.47 14.6 700 −5 3 30 597 25.8 4.38 −11.77 −5.85 700 5 3 30 605 8.29 2.24 −13.8 −6.63 700 −5 0 30 612 13.8 2.81 −8.33 0.58 700 5 0 30 617 −2.31 −0.79 −7 3.02 ··· ··· ··· ··· ··· ··· ··· ··· ··· 表 6 模型计算与试验结果对比
Table 6. Comparison of model calculations and experimental results
工况 靶体编号 剩余速度vr/(m·s−1) 靶后弹体姿态角β/(°) 试验结果[1] 模型预测结果 相对误差/% 试验结果[1] 模型预测结果 绝对误差/° a 1-1 700 697 −0.43 −5.11 −6.91 −1.8 1-2 602 579 −3.82 −12.75 −9.28 3.47 b 2-1 624 628 0.64 −1.73 −3.38 −1.65 2-2 531 559 5.27 −4.65 −3.31 1.34 c 3-1 409 426 4.16 −11.81 −9.64 2.17 3-2 310 335 8.06 −10.99 −11.7 −0.71 d 4-1 428 426 −0.47 −3.36 −5.94 −2.58 4-2 263 291 10.65 −5.37 −7.05 −1.68 e 5-1 576 603 4.69 −4.69 −7.15 −2.46 5-2 472 504 6.78 −9.46 −7.18 2.28 -
[1] 李鹏程, 张先锋, 刘闯, 等. 攻角和入射角对弹体侵彻混凝土薄靶弹道特性影响规律研究 [J]. 爆炸与冲击, 2022, 42(11): 113302. DOI: 10.11883/bzycj-2021-0435.LI P C, ZHANG X F, LIU C, et al. Study on the influence of attack angle and incident angle on ballistic characteristics of projectiles penetration into thin concrete targets [J]. Explosion and Shock Waves, 2022, 42(11): 113302. DOI: 10.11883/bzycj-2021-0435. [2] 吴普磊, 李鹏飞, 董平, 等. 攻角对弹体斜侵彻多层混凝土靶弹道偏转影响的数值模拟及试验验证 [J]. 火炸药学报, 2018, 41(2): 202–207. DOI: 10.14077/j.issn.1007-7812.2018.02.017.WU P L, LI P F, DONG P, et al. Numerical simulation and experimental verification on the influence of angle of attack on ballistic deflection of oblique penetrating multi-layer concrete targets for projectile [J]. Chinese Journal of Explosives & Propellants, 2018, 41(2): 202–207. DOI: 10.14077/j.issn.1007-7812.2018.02.017. [3] 马兆芳, 段卓平, 欧卓成, 等. 弹体斜侵彻贯穿薄混凝土靶姿态变化实验和理论研究 [J]. 兵工学报, 2015, 36(S1): 248–254.MA Z F, DUAN Z P, OU Z C, et al. The experimental and theoretical research on attitude of projectile obliquely penetrating into thin concrete target [J]. Acta Armamentarii, 2015, 36(S1): 248–254. [4] CHEN X W, FAN S C, LI Q M. Oblique and normal perforation of concrete targets by a rigid projectile [J]. International Journal of Impact Engineering, 2004, 30(6): 617–637. DOI: 10.1016/j.ijimpeng.2003.08.003. [5] DUAN Z P, LI S R, MA Z F, et al. Attitude deflection of oblique perforation of concrete targets by a rigid projectile [J]. Defence Technology, 2020, 16(3): 596–608. DOI: 10.1016/j.dt.2019.09.009. [6] 冯杰. 弹体非正侵彻混凝土薄靶姿态偏转数值模拟研究 [D]. 北京: 北京理工大学, 2016: 35–36. [7] 王玉岚, 李建光. 弹体侵彻岩石深度的神经网络模型 [J]. 电网与水力发电进展, 2007, 23(3): 63–67. DOI: 10.3969/j.issn.1674-3814.2007.06.016.WANG Y L, LI J G. Neural network model of penetration depth of projectiles into rock [J]. Power System and Clean Energy, 2007, 23(3): 63–67. DOI: 10.3969/j.issn.1674-3814.2007.06.016. [8] 李建光, 李永池, 王玉岚. 人工神经网络在弹体侵彻混凝土深度中的应用 [J]. 中国工程科学, 2007, 9(8): 77–81. DOI: 10.3969/j.issn.1009-1742.2007.08.016.LI J G, LI Y C, WANG Y L. Penetration depth of projectiles into concrete using artificial neural network [J]. Strategic Study of CAE, 2007, 9(8): 77–81. DOI: 10.3969/j.issn.1009-1742.2007.08.016. [9] HOSSEINI M, DALVAND A. Neural network approach for estimation of penetration depth in concrete targets by ogive-nose steel projectiles [J]. Latin American Journal of Solids and Structures, 2015, 12(3): 492–506. DOI: 10.1590/1679-78251200. [10] 常慧珠. 基于BP神经网络的侵彻深度预测模型 [D]. 太原: 中北大学, 2024: 79–90. DOI: 10.27470/d.cnki.ghbgc.2024.001581. [11] GONZALEZ-CARRASCO I, GARCIA-CRESPO A, RUIZ-MEZCUA B, et al. Dealing with limited data in ballistic impact scenarios: an empirical comparison of different neural network approaches [J]. Applied Intelligence, 2011, 35(1): 89–109. DOI: 10.1007/s10489-009-0205-8. [12] 张树霞, 赵捍东, 韩志高. 基于PSO-SVM的侵彻效果预测方法 [J]. 中北大学学报(自然科学版), 2015, 36(2): 166–170,175. DOI: 10.3969/j.issn.1673-3193.2015.02.015.ZHANG S X, ZHAO H D, HAN Z G. Method of penetrate result prediction based on PSO-SVM [J]. Journal of North University of China (Natural Science Edition), 2015, 36(2): 166–170,175. DOI: 10.3969/j.issn.1673-3193.2015.02.015. [13] 潘强, 张继春, 肖清华, 等. 动能弹对混凝土靶侵彻深度的PSO-SVM预测 [J]. 高压物理学报, 2018, 32(2): 025102. DOI: 10.11858/gywlxb.20170577.PAN Q, ZHANG J C, XIAO Q H, et al. Prediction of penetration depth of projectiles into concrete targets based on PSO-SVM [J]. Chinese Journal of High Pressure Physics, 2018, 32(2): 025102. DOI: 10.11858/gywlxb.20170577. [14] 李萌, 武海军, 董恒, 等. 基于机器学习的混凝土侵彻深度预测模型 [J]. 兵工学报, 2023, 44(12): 3771–3782. DOI: 10.12382/bgxb.2023.0291.LI M, WU H J, DONG H, et al. Machine learning-based models for predicting the penetration depth of concrete [J]. Acta Armamentarii, 2023, 44(12): 3771–3782. DOI: 10.12382/bgxb.2023.0291. [15] 张磊, 吴昊, 赵强, 等. 基于数据挖掘技术的地下工程目标毁伤效应计算方法 [J]. 爆炸与冲击, 2021, 41(3): 031101. DOI: 10.11883/bzycj-2020-0114.ZHANG L, WU H, ZHAO Q, et al. Calculation method of damage effects of underground engineering objectives based on data mining technology [J]. Explosion and Shock Waves, 2021, 41(3): 031101. DOI: 10.11883/bzycj-2020-0114. [16] QIN S, LIU H, WANG J H, et al. Physics-data coupling-driven method to predict the penetration depth into concrete targets [J]. Theoretical and Applied Mechanics Letters, 2024, 14(3): 100495. DOI: 10.1016/j.taml.2024.100495. [17] 秦帅, 刘浩, 陈力, 等. 融合先验知识的混凝土侵彻深度试验数据异常点检测算法 [J]. 爆炸与冲击, 2024, 44(3): 031406. DOI: 10.11883/bzycj-2023-0287.QIN S, LIU H, CHEN L, et al. Outlier detection algorithms for penetration depth data of concrete targets combined with prior knowledge [J]. Explosion and Shock Waves, 2024, 44(3): 031406. DOI: 10.11883/bzycj-2023-0287. [18] KHAN M, JAVED M F, OTHMAN N A, et al. Predicting penetration depth in ultra-high-performance concrete targets under ballistic impact: an interpretable machine learning approach augmented by deep generative adversarial network [J]. Results in Engineering, 2025, 25: 103909. DOI: 10.1016/j.rineng.2024.103909. [19] 张帅. 弹丸侵彻钢筋混凝土多层靶板的数值模拟分析 [D]. 南京: 南京理工大学, 2018: 97–117. [20] 梁俊宣, 刘闯, 李鹏程, 等. 入射角与攻角对弹体侵彻混凝土薄靶偏转特性的影响 [J]. 爆炸与冲击, 2025. DOI: 10.11883/bzycj-2025-0129.LIANG J X, LIU C, LI P C, et al. Research on the influence of trajectory and pitch angle on the deflection characteristics of projectiles into thin concrete targets [J]. Explosion and Shock Waves, 2025. DOI: 10.11883/bzycj-2025-0129. [21] 李磊, 张先锋, 吴雪, 等. 不同硬度30CrMnSiNi2A钢的动态本构与损伤参数 [J]. 高压物理学报, 2017, 31(3): 239–248. DOI: 10.11858/gywlxb.2017.03.005.LI L, ZHANG X F, WU X, et al. Dynamic constitutive and damage parameters of 30CrMnSiNi2A steel with different hardnesses [J]. Chinese Journal of High Pressure Physics, 2017, 31(3): 239–248. DOI: 10.11858/gywlxb.2017.03.005. [22] RIEDEL W, THOMA K, HIERMAIER S, et al. Penetration of reinforced concrete by BETA-B-500 numerical analysis using a new macroscopic concrete model for hydrocodes [C]//9th International Symposium on Interaction of the Effects of Munitions with Structures. Berlin: ISIEMS, 1999. [23] 吴昊, 岑国华, 程月华, 等. 基于战斗部侵彻动爆一体化效应的遮弹层设计 [J]. 爆炸与冲击, 2025, 45(5): 053301. DOI: 10.11883/bzycj-2024-0244.WU H, CEN G H, CHENG Y H et al. Design of shield based on integrated effect of penetration and moving charge explosion of warheads [J]. Explosion and Shock Waves, 2025, 45(5): 053301. DOI: 10.11883/bzycj-2024-0244. [24] 聂铮玥, 彭永, 陈荣, 等. 侵彻条件下岩石类材料RHT模型参数敏感性分析 [J]. 振动与冲击, 2021, 40(14): 108–116. DOI: 10.13465/j.cnki.jvs.2021.14.015.NIE Z Y, PENG Y, CHEN R, et al. Sensitivity analysis of RHT model parameters for rock materials under penetrating condition [J]. Journal of Vibration and Shock, 2021, 40(14): 108–116. DOI: 10.13465/j.cnki.jvs.2021.14.015. [25] LI M, WU H, CHENG Y H. A modified bond-based peridynamic approach for rigid projectile perforation on concrete slabs [J]. International Journal of Impact Engineering, 2025, 195: 105102. DOI: 10.1016/j.ijimpeng.2024.105102. -


下载: