2026 Vol. 46, No. 2
Display Method:
2026, 46(2): 021001.
doi: 10.11883/bzycj-2024-0511
Abstract:
A compressible multiphase flow numerical scheme, induced from the multi- component diffuse interface model with arbitrary number of materials, is established to simulate the interaction between distinct materials under extreme conditions. A robust, low dissipation and high efficiency reconstruction method, the MTBVD (muscl thinc boundary variation diminishing), is proposed with the aid of artificial intelligence technology, which can adaptively select the most suitable reconstruction method in the essential regions such as shock wave, contact discontinuity and material interface, and can achieve the minimum global numerical dissipation. Furthermore, it has a higher computational efficiency than the traditional BVD (boundary variation diminishing) scheme. The automatic geometric modeling and grid meshing based on global geographic information system, adaptive mesh refinement and large-scale parallel computing method are established to realize the whole numerical simulation of shock wave propagation in complex terrain and real urban environments. Our schemes allows for the effective simulation of intense blast wave scenarios on a large scale within intricate urban settings, employing billions of meshes, a pressure spectrum ranging from 103 Pa to 1015 Pa, and a minimum spacing size of 10 km. We have conducted multiple numerical simulations that demonstrate the propagation of blast waves through complex landscapes and urban areas, which corroborate our methodologies.
A compressible multiphase flow numerical scheme, induced from the multi- component diffuse interface model with arbitrary number of materials, is established to simulate the interaction between distinct materials under extreme conditions. A robust, low dissipation and high efficiency reconstruction method, the MTBVD (muscl thinc boundary variation diminishing), is proposed with the aid of artificial intelligence technology, which can adaptively select the most suitable reconstruction method in the essential regions such as shock wave, contact discontinuity and material interface, and can achieve the minimum global numerical dissipation. Furthermore, it has a higher computational efficiency than the traditional BVD (boundary variation diminishing) scheme. The automatic geometric modeling and grid meshing based on global geographic information system, adaptive mesh refinement and large-scale parallel computing method are established to realize the whole numerical simulation of shock wave propagation in complex terrain and real urban environments. Our schemes allows for the effective simulation of intense blast wave scenarios on a large scale within intricate urban settings, employing billions of meshes, a pressure spectrum ranging from 103 Pa to 1015 Pa, and a minimum spacing size of 10 km. We have conducted multiple numerical simulations that demonstrate the propagation of blast waves through complex landscapes and urban areas, which corroborate our methodologies.
2026, 46(2): 022101.
doi: 10.11883/bzycj-2025-0027
Abstract:
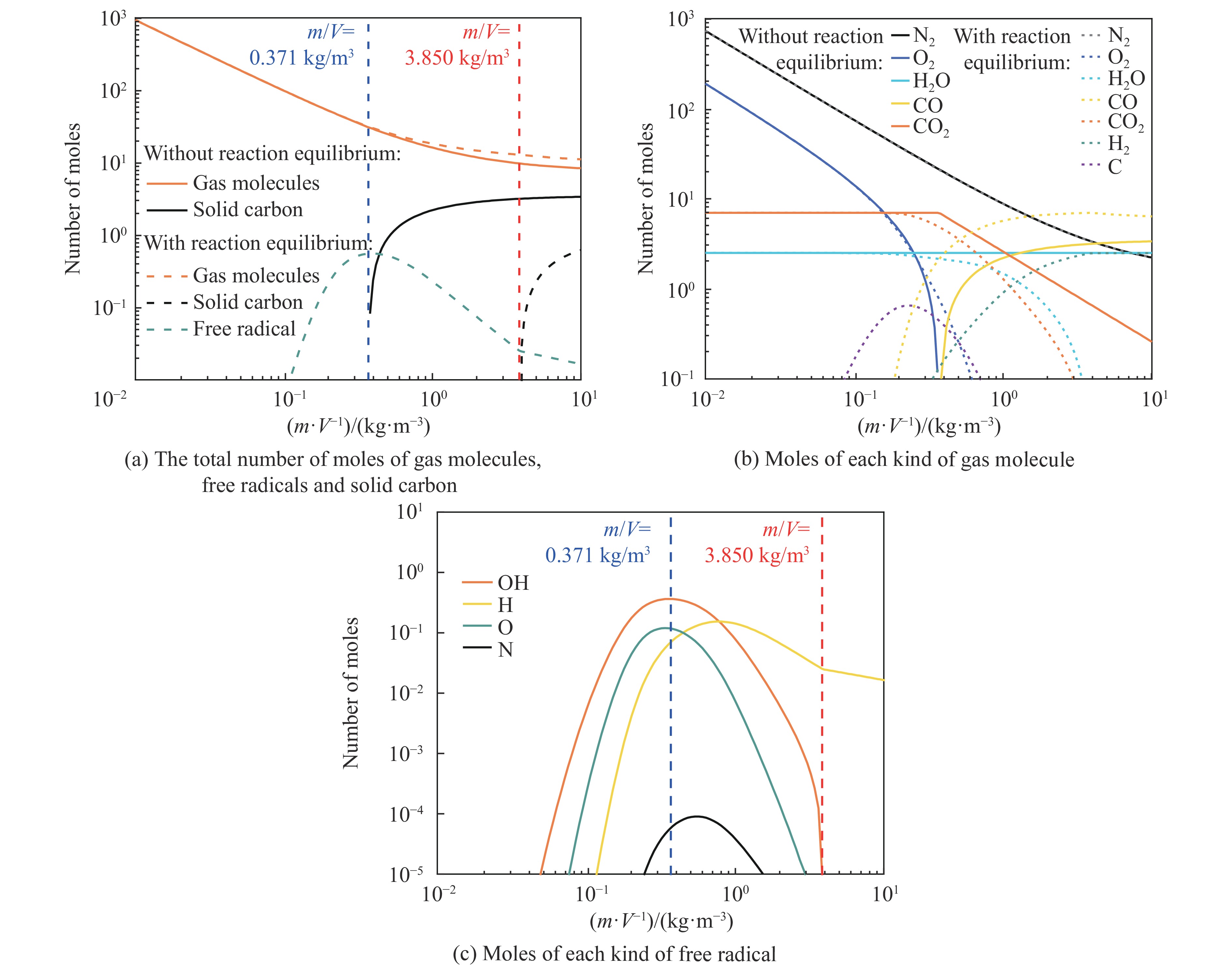
The quasi-static pressure thermodynamic model for confined explosions provides an effective characterization of pressure evolution with mass-to-volume ratio m/V, and derivation of physical quantities such as gas adiabatic index from products and temperature. However, the thermodynamic model based on detonation and combustion equations that neglects reaction equilibrium demonstrates growing deviations from the quasi-static pressure curve in UFC 3-340-02 blast-resistant design standard after carbon precipitates in detonation products, and existing research inadequately addresses the necessity of incorporating reaction equilibrium for various physical quantities in TNT confined explosion thermodynamic models. In order to investigate the influence of reaction equilibrium on thermodynamic calculation results, the model neglecting reaction equilibrium was modified based on the energy conservation equation of isochoric processes and the solid carbon precipitation phenomenon. The modified model has a consistency with the UFC curve for m/V≥0.371 kg/m3. Then, a comparative analysis was conducted on the results of thermodynamic models considering and not considering the reaction equilibrium based on the unified solution framework. The results indicate that incorporating chemical equilibrium into quasi-static pressure calculation introduces a maximum relative deviation below 20%, and critical thresholds alters, i.e., the m/V for carbon precipitation shifts from 0.371 to 3.850 kg/m3, and peak temperature transitions from 0.371 to 0.680 kg/m3. Significant divergence in mole numbers of product composition emerges progressively when m/V exceeds 0.1 kg/m3. Therefore, the reaction equilibrium-based thermodynamic model is a more rational choice for calculating quantities related to components and temperature in TNT confined explosions with m/V>0.1 kg/m3. Finally, a simplified calculation method for products, temperature, and pressure during the quasi-static phase of TNT confined explosions considering reaction equilibrium is proposed based on symbolic regression algorithm. The research contributes to a theoretical understanding of equilibrium effects on thermodynamic model results and the practical implementation of rapid parameter estimation in TNT confined explosion scenarios.
The quasi-static pressure thermodynamic model for confined explosions provides an effective characterization of pressure evolution with mass-to-volume ratio m/V, and derivation of physical quantities such as gas adiabatic index from products and temperature. However, the thermodynamic model based on detonation and combustion equations that neglects reaction equilibrium demonstrates growing deviations from the quasi-static pressure curve in UFC 3-340-02 blast-resistant design standard after carbon precipitates in detonation products, and existing research inadequately addresses the necessity of incorporating reaction equilibrium for various physical quantities in TNT confined explosion thermodynamic models. In order to investigate the influence of reaction equilibrium on thermodynamic calculation results, the model neglecting reaction equilibrium was modified based on the energy conservation equation of isochoric processes and the solid carbon precipitation phenomenon. The modified model has a consistency with the UFC curve for m/V≥0.371 kg/m3. Then, a comparative analysis was conducted on the results of thermodynamic models considering and not considering the reaction equilibrium based on the unified solution framework. The results indicate that incorporating chemical equilibrium into quasi-static pressure calculation introduces a maximum relative deviation below 20%, and critical thresholds alters, i.e., the m/V for carbon precipitation shifts from 0.371 to 3.850 kg/m3, and peak temperature transitions from 0.371 to 0.680 kg/m3. Significant divergence in mole numbers of product composition emerges progressively when m/V exceeds 0.1 kg/m3. Therefore, the reaction equilibrium-based thermodynamic model is a more rational choice for calculating quantities related to components and temperature in TNT confined explosions with m/V>0.1 kg/m3. Finally, a simplified calculation method for products, temperature, and pressure during the quasi-static phase of TNT confined explosions considering reaction equilibrium is proposed based on symbolic regression algorithm. The research contributes to a theoretical understanding of equilibrium effects on thermodynamic model results and the practical implementation of rapid parameter estimation in TNT confined explosion scenarios.
2026, 46(2): 022102.
doi: 10.11883/bzycj-2024-0404
Abstract:
To develop an engineering model based on the physical mechanism of the non-shock initiation reaction of structural charge, which can be used to describe the reaction evolution process and quantify the reaction intensity for evaluating weapons and ammunition safety. Considering the cavity expansion volume, a constrained charge combustion reaction evolution model was established in this paper, with fracture toughness and reaction pressure as the main parameters based on the main control mechanism of charge reaction crack propagation, which can describe the combustion gaseous product pressurization and shell constraint strength during combustion evolution. Relevant details for the control model establishment process were given. The model reliability of confined charge reaction combustion evolution was verified via the experiments of PBX-3 (87% HMX) explosive combustion reaction evolution under mass inertial confinement. The mass velocity time was recorded by PDV (photonic Doppler velocimetry) transducers, the pressure-time profiles were recorded via pressure transducers, and the experimental process was captured via a high-speed camera. The experimental results were compared with calculated results from the control model proposed in this work. The results show that the reaction pressurization process calculated via the model is roughly consistent with the pressure-increasing trend in the experiment (calculated by the mass velocity). The control model considering the structural venting effect can reflect the competition mechanism between combustion gas pressurization and venting in the pressure-increasing process, and the relationship between the pressure-increasing trend and the vent coefficient is in line with the mechanism analysis expectation. The results can support deepening the understanding of the accidental explosive combustion reaction evolution mechanism.
To develop an engineering model based on the physical mechanism of the non-shock initiation reaction of structural charge, which can be used to describe the reaction evolution process and quantify the reaction intensity for evaluating weapons and ammunition safety. Considering the cavity expansion volume, a constrained charge combustion reaction evolution model was established in this paper, with fracture toughness and reaction pressure as the main parameters based on the main control mechanism of charge reaction crack propagation, which can describe the combustion gaseous product pressurization and shell constraint strength during combustion evolution. Relevant details for the control model establishment process were given. The model reliability of confined charge reaction combustion evolution was verified via the experiments of PBX-3 (87% HMX) explosive combustion reaction evolution under mass inertial confinement. The mass velocity time was recorded by PDV (photonic Doppler velocimetry) transducers, the pressure-time profiles were recorded via pressure transducers, and the experimental process was captured via a high-speed camera. The experimental results were compared with calculated results from the control model proposed in this work. The results show that the reaction pressurization process calculated via the model is roughly consistent with the pressure-increasing trend in the experiment (calculated by the mass velocity). The control model considering the structural venting effect can reflect the competition mechanism between combustion gas pressurization and venting in the pressure-increasing process, and the relationship between the pressure-increasing trend and the vent coefficient is in line with the mechanism analysis expectation. The results can support deepening the understanding of the accidental explosive combustion reaction evolution mechanism.
2026, 46(2): 022103.
doi: 10.11883/bzycj-2025-0145
Abstract:
Hydrogen is a renewable, carbon-free energy carrier and an important chemical feedstock. However, its high burning velocity and low ignition energy render it more hazardous than conventional fuels. To effectively control the explosion intensity of hydrogen-air mixtures in confined spaces and elucidate the suppression mechanism of micron-sized water mist containing dimethyl methylphosphonate (O=P(CH3)(OCH3)2), a rectangular constant-volume combustion chamber was first constructed, and a schlieren optical system was employed to capture fine flame structures under the addition of the suppressant. Secondly, based on the kinetic models proposed by Jayaweera et al. and Jing et al., a coupled chemical kinetic mechanism for O=P(CH3)(OCH3)2 was developed and validated for accuracy. Lastly, the influence of O=P(CH3)(OCH3)2-containing fine water mist on flame instability structures, mean flame speed, explosion overpressure, and mean pressure rise rate was then investigated under different equivalence ratios, together with the chemical kinetic mechanism and pathways governing hydrogen-air deflagration suppression. Results indicate that water mist containing O=P(CH3)(OCH3)2 promotes the formation of cellular structures on the flame front, thereby inducing flame instability. At equivalence ratios of 0.8, 1.0, and 1.5, the O=P(CH3)(OCH3)2-laden water mist effectively reduces the average flame speed (with reductions ranging from 24.2% to 47.2%) and suppresses the formation of tulip flames, which are replaced by wrinkled flame structures. The mist suppresses the pressure rise rate by reducing the laminar flame speed, but simultaneously enhances flame instability, which tends to increase the pressure rise rate. The overall suppression performance (with pressure reduction ranging from 41.0% to 65.8%) results from the coupling of these two opposing effects. Additionally, the O=P(CH3)(OCH3)2-laden mist achieves effective explosion suppression by reducing the concentrations of H∙, O∙, and OH∙ radicals, with reductions exceeding 80%. The physical suppression arises from pre-flame cooling and dilution effects of the water mist, while the chemical suppression is attributed to the decomposition of O=P(CH3)(OCH3)2 into phosphorus-containing radicals such as HOPO∙, HOPO2∙, HPO2∙, PO(OH)2∙, and PO(H)(OH)∙. These species scavenge reactive H∙ and OH∙ radicals, promoting the formation of stable products like H2 and H2O, thereby interrupting the chain reactions in hydrogen-air explosions.
Hydrogen is a renewable, carbon-free energy carrier and an important chemical feedstock. However, its high burning velocity and low ignition energy render it more hazardous than conventional fuels. To effectively control the explosion intensity of hydrogen-air mixtures in confined spaces and elucidate the suppression mechanism of micron-sized water mist containing dimethyl methylphosphonate (O=P(CH3)(OCH3)2), a rectangular constant-volume combustion chamber was first constructed, and a schlieren optical system was employed to capture fine flame structures under the addition of the suppressant. Secondly, based on the kinetic models proposed by Jayaweera et al. and Jing et al., a coupled chemical kinetic mechanism for O=P(CH3)(OCH3)2 was developed and validated for accuracy. Lastly, the influence of O=P(CH3)(OCH3)2-containing fine water mist on flame instability structures, mean flame speed, explosion overpressure, and mean pressure rise rate was then investigated under different equivalence ratios, together with the chemical kinetic mechanism and pathways governing hydrogen-air deflagration suppression. Results indicate that water mist containing O=P(CH3)(OCH3)2 promotes the formation of cellular structures on the flame front, thereby inducing flame instability. At equivalence ratios of 0.8, 1.0, and 1.5, the O=P(CH3)(OCH3)2-laden water mist effectively reduces the average flame speed (with reductions ranging from 24.2% to 47.2%) and suppresses the formation of tulip flames, which are replaced by wrinkled flame structures. The mist suppresses the pressure rise rate by reducing the laminar flame speed, but simultaneously enhances flame instability, which tends to increase the pressure rise rate. The overall suppression performance (with pressure reduction ranging from 41.0% to 65.8%) results from the coupling of these two opposing effects. Additionally, the O=P(CH3)(OCH3)2-laden mist achieves effective explosion suppression by reducing the concentrations of H∙, O∙, and OH∙ radicals, with reductions exceeding 80%. The physical suppression arises from pre-flame cooling and dilution effects of the water mist, while the chemical suppression is attributed to the decomposition of O=P(CH3)(OCH3)2 into phosphorus-containing radicals such as HOPO∙, HOPO2∙, HPO2∙, PO(OH)2∙, and PO(H)(OH)∙. These species scavenge reactive H∙ and OH∙ radicals, promoting the formation of stable products like H2 and H2O, thereby interrupting the chain reactions in hydrogen-air explosions.
2026, 46(2): 022104.
doi: 10.11883/bzycj-2025-0123
Abstract:
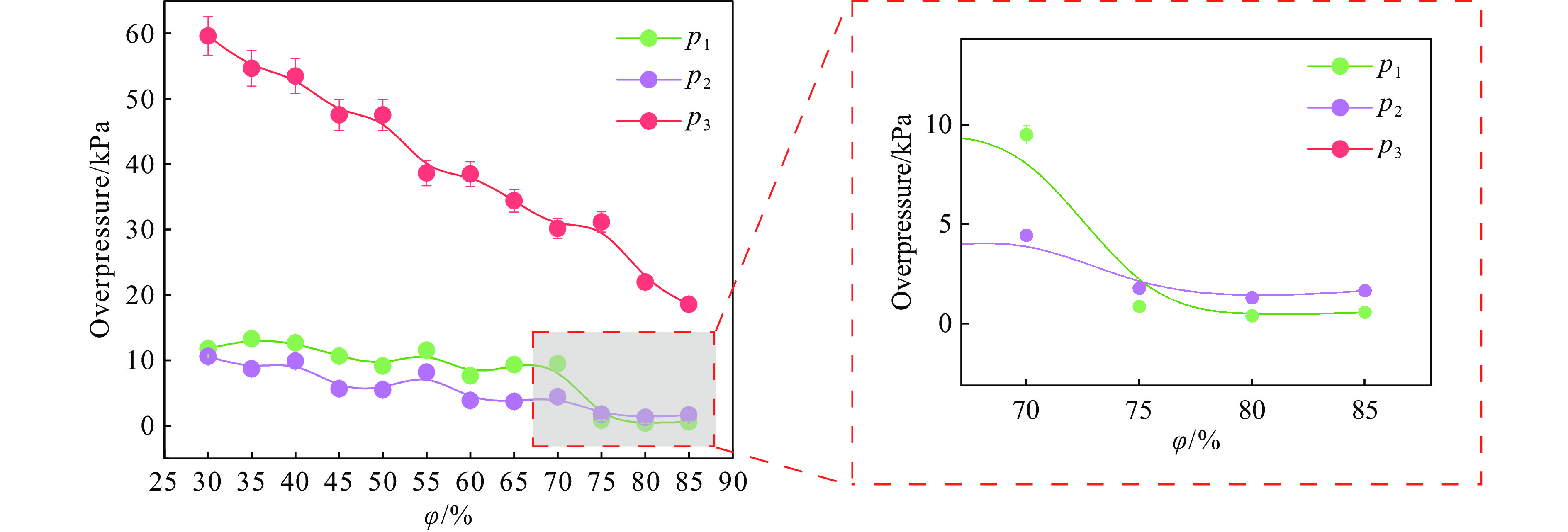
Renewable energy is addressing some of the key challenges facing global society today, and zero-carbon energy systems are the fundamental way to achieve carbon neutrality. Therefore, hydrogen and ammonia have gained great attention as zero-carbon energy sources. To further study the combustion characteristics of ammonia-hydrogen-air premixed gas flame inside and outside the duct, the influence of ammonia doped amount (φ) on the flame morphology and the evolution of pressure inside and outside the duct under stoichiometric ratio was explored with the help of high-speed photography and pressure sensor in the2000 -mm-long stainless steel duct with a 400-mm-long and 70-mm-wide observation window. The results show that φ significantly affects the pressure inside and outside the duct, and the time to reach the reverse flow phenomenon caused by the secondary explosion also increases. The pressure measuring point PS1 is set at 400 mm away from the explosion vent in the duct to collect data. The pressure curves in the duct under each working condition are presented as a three-peak structure, named p1, p2, and p3. The three pressure peaks are caused by the rupture of the explosion vent film, the gas venting in the duct, and the gas reverse generated by the secondary explosion outside the duct. The size of p1 depends on the tensile strength of the explosion venting membrane, and its amplitude is almost independent of the φ. p2 and p3 both increase with the increase of φ, and the p3 increase rate is the largest when φ is in 50%–65%. p2 changes from a single peak to a fluctuating pressure platform in the pressure curve diagram, and the time of the platform extends with the increase of φ. The pressure measurement point PS2 is set at the horizontal central axis, 500mm away from the explosion vent outside the duct, to collect data. And the peak pressure of the secondary explosion outside the duct (pout) decreases with the increase of the φ, and the time to reach pout increases. This study provides a theoretical basis for the utilization of ammonia and hydrogen energy.
Renewable energy is addressing some of the key challenges facing global society today, and zero-carbon energy systems are the fundamental way to achieve carbon neutrality. Therefore, hydrogen and ammonia have gained great attention as zero-carbon energy sources. To further study the combustion characteristics of ammonia-hydrogen-air premixed gas flame inside and outside the duct, the influence of ammonia doped amount (φ) on the flame morphology and the evolution of pressure inside and outside the duct under stoichiometric ratio was explored with the help of high-speed photography and pressure sensor in the
2026, 46(2): 022201.
doi: 10.11883/bzycj-2024-0488
Abstract:
Regarding the displacement response of clamped circular plates under multiple far-field blast loads, we proposes a novel theoretical modeling approach based on membrane theory energy equations, by simplifying multiple blast loads into linearly decaying pulse sequences, a theoretical displacement response model for clamped circular plates is established for the first time, considering both strain rate strengthening effects and cumulative hardening effects. The linear displacement field approximation is adopted for the initial loading phase, while a quadratic function displacement field assumption is introduced for subsequent loading phases, deriving recursive formulas for midpoint displacements under multiple blasts. Numerical validations were conducted using LS-DYNA for both double and triple blast scenarios. For double blast cases, theoretical predictions exhibited errors of 20%–30% compared to simulation results, while errors reduced to below 20% for triple blast conditions. The ASTM A415 steel circular plate model was used for the simulations, and the strain rate strengthening effect was described by the Cowper-Symonds model. Finite element models with quadrilateral shell elements demonstrated strong agreement with experimental data (errors<10%), confirming model reliability. The assumption of quadratic function displacement field for subsequent loading phases was verified by numerical displacement curves of the middle profiles of the plates. Further parametric analysis proved that the theoretical model is effective for different tangent modulus, which represents the strength of the strain strengthening effect. The model reveals that midpoint displacement can be characterized as a weighted square root function combining the final explosion’s individual displacement and prior cumulative displacement, with displacement increments from subsequent explosions decreasing as prior cumulative displacement increases.
Regarding the displacement response of clamped circular plates under multiple far-field blast loads, we proposes a novel theoretical modeling approach based on membrane theory energy equations, by simplifying multiple blast loads into linearly decaying pulse sequences, a theoretical displacement response model for clamped circular plates is established for the first time, considering both strain rate strengthening effects and cumulative hardening effects. The linear displacement field approximation is adopted for the initial loading phase, while a quadratic function displacement field assumption is introduced for subsequent loading phases, deriving recursive formulas for midpoint displacements under multiple blasts. Numerical validations were conducted using LS-DYNA for both double and triple blast scenarios. For double blast cases, theoretical predictions exhibited errors of 20%–30% compared to simulation results, while errors reduced to below 20% for triple blast conditions. The ASTM A415 steel circular plate model was used for the simulations, and the strain rate strengthening effect was described by the Cowper-Symonds model. Finite element models with quadrilateral shell elements demonstrated strong agreement with experimental data (errors<10%), confirming model reliability. The assumption of quadratic function displacement field for subsequent loading phases was verified by numerical displacement curves of the middle profiles of the plates. Further parametric analysis proved that the theoretical model is effective for different tangent modulus, which represents the strength of the strain strengthening effect. The model reveals that midpoint displacement can be characterized as a weighted square root function combining the final explosion’s individual displacement and prior cumulative displacement, with displacement increments from subsequent explosions decreasing as prior cumulative displacement increases.
2026, 46(2): 022202.
doi: 10.11883/bzycj-2024-0471
Abstract:
To accurately predict the explosion power fields in buildings, solving the failure of traditional empirical formulas often failing to account for complex environmental factor due to their inability to account for complex environmental factors, and that of numerical simulations inefficient for large-scale urban scenarios and do not meet the needs of rapid damage assessment. Addressing this challenge, an innovative prediction model for explosion power fields based on graph neural networks (GNN) was constructed using an end-to-end strategy. This model enabled rapid and precise forecasting of three-dimensional physical fields, including peak overpressure, peak impulse, and shock-wave arrival times on building surfaces. Compared with numerical simulations, the proposed GNN model demonstrated excellent predictive performance: it achieved a mean square error of 0.97% for predicting surface overpressure parameters of single buildings with varying geometries, and an average prediction error of 3.17% for complex geometric buildings and building communities. When applied to real-world urban settings, the model maintains an average prediction error of 1.29%, completing individual physical field predictions in under 0.6 seconds—three to four orders of magnitude faster than numerical simulations. Furthermore, the model's high-precision predictions allow for the reconstruction of overpressure time history curves at any building surface location and the accurate assessment of structural damage. The proposed GNN model offers a novel approach for rapidly and accurately predicting explosion power fields in urban buildings during blast events. This advancement significantly enhances the capabilities for explosion damage assessment and anti-explosion design in ultra-large-scale complex engineering scenarios, providing substantial engineering value.
To accurately predict the explosion power fields in buildings, solving the failure of traditional empirical formulas often failing to account for complex environmental factor due to their inability to account for complex environmental factors, and that of numerical simulations inefficient for large-scale urban scenarios and do not meet the needs of rapid damage assessment. Addressing this challenge, an innovative prediction model for explosion power fields based on graph neural networks (GNN) was constructed using an end-to-end strategy. This model enabled rapid and precise forecasting of three-dimensional physical fields, including peak overpressure, peak impulse, and shock-wave arrival times on building surfaces. Compared with numerical simulations, the proposed GNN model demonstrated excellent predictive performance: it achieved a mean square error of 0.97% for predicting surface overpressure parameters of single buildings with varying geometries, and an average prediction error of 3.17% for complex geometric buildings and building communities. When applied to real-world urban settings, the model maintains an average prediction error of 1.29%, completing individual physical field predictions in under 0.6 seconds—three to four orders of magnitude faster than numerical simulations. Furthermore, the model's high-precision predictions allow for the reconstruction of overpressure time history curves at any building surface location and the accurate assessment of structural damage. The proposed GNN model offers a novel approach for rapidly and accurately predicting explosion power fields in urban buildings during blast events. This advancement significantly enhances the capabilities for explosion damage assessment and anti-explosion design in ultra-large-scale complex engineering scenarios, providing substantial engineering value.
2026, 46(2): 023101.
doi: 10.11883/bzycj-2024-0324
Abstract:
To address the longstanding challenge of accurately evaluating the dynamic fracture toughness of ceramic materials, a new mode I dynamic fracture testing method was developed based on the conventional split-Hopkinson pressure bar (SHPB) technique. This approach introduced a miniature fracture specimen specifically designed to ensure pure mode I loading, along with a custom fixture system that enabled stable and repeatable dynamic fracture experiments on alumina ceramics with varying loading rates. The combined experimental-numerical method was used to obtain the variation of the mode I dynamic stress intensity factor at the crack tip under different loading rates. Fracture initiation time was obtained with high precision using the strain gauge method, allowing for the determination of mode I dynamic fracture toughness. To further validate the accuracy of the measured fracture initiation time, high-speed photography was employed to capture the entire failure process in real time and corroborate the onset of fracture of the tested specimens. The results show that as the applied loading rate increases from 0.45 TPa·m1/2·s−1 to 1.83 TPa·m1/2·s−1, the dynamic fracture toughness of alumina ceramics rises significantly from 8.39 MPa·m1/2 to 15.76 MPa·m1/2, indicating a pronounced strengthening effect induced by higher loading rates. Meanwhile, the crack initiation time decreases notably with increasing loading rate. Fractographic analysis using scanning electron microscopy reveals a clear fracture mode transition behavior. Under lower loading rates, the fracture of alumina ceramics predominantly exhibits intergranular fracture features. Under higher loading rates, the fracture shows a mixed-mode fracture involving both intergranular and transgranular features. This transition is attributed to the activation and propagation of more micro-defects under higher rates, resulting in increased microcracking. The emergence of this mixed fracture mode is associated with greater energy dissipation, which fundamentally contributes to the increase in mode I dynamic fracture toughness. The proposed method offers a robust framework for accurately assessing the mode I dynamic fracture properties of ceramic materials.
To address the longstanding challenge of accurately evaluating the dynamic fracture toughness of ceramic materials, a new mode I dynamic fracture testing method was developed based on the conventional split-Hopkinson pressure bar (SHPB) technique. This approach introduced a miniature fracture specimen specifically designed to ensure pure mode I loading, along with a custom fixture system that enabled stable and repeatable dynamic fracture experiments on alumina ceramics with varying loading rates. The combined experimental-numerical method was used to obtain the variation of the mode I dynamic stress intensity factor at the crack tip under different loading rates. Fracture initiation time was obtained with high precision using the strain gauge method, allowing for the determination of mode I dynamic fracture toughness. To further validate the accuracy of the measured fracture initiation time, high-speed photography was employed to capture the entire failure process in real time and corroborate the onset of fracture of the tested specimens. The results show that as the applied loading rate increases from 0.45 TPa·m1/2·s−1 to 1.83 TPa·m1/2·s−1, the dynamic fracture toughness of alumina ceramics rises significantly from 8.39 MPa·m1/2 to 15.76 MPa·m1/2, indicating a pronounced strengthening effect induced by higher loading rates. Meanwhile, the crack initiation time decreases notably with increasing loading rate. Fractographic analysis using scanning electron microscopy reveals a clear fracture mode transition behavior. Under lower loading rates, the fracture of alumina ceramics predominantly exhibits intergranular fracture features. Under higher loading rates, the fracture shows a mixed-mode fracture involving both intergranular and transgranular features. This transition is attributed to the activation and propagation of more micro-defects under higher rates, resulting in increased microcracking. The emergence of this mixed fracture mode is associated with greater energy dissipation, which fundamentally contributes to the increase in mode I dynamic fracture toughness. The proposed method offers a robust framework for accurately assessing the mode I dynamic fracture properties of ceramic materials.
2026, 46(2): 023102.
doi: 10.11883/bzycj-2025-0171
Abstract:
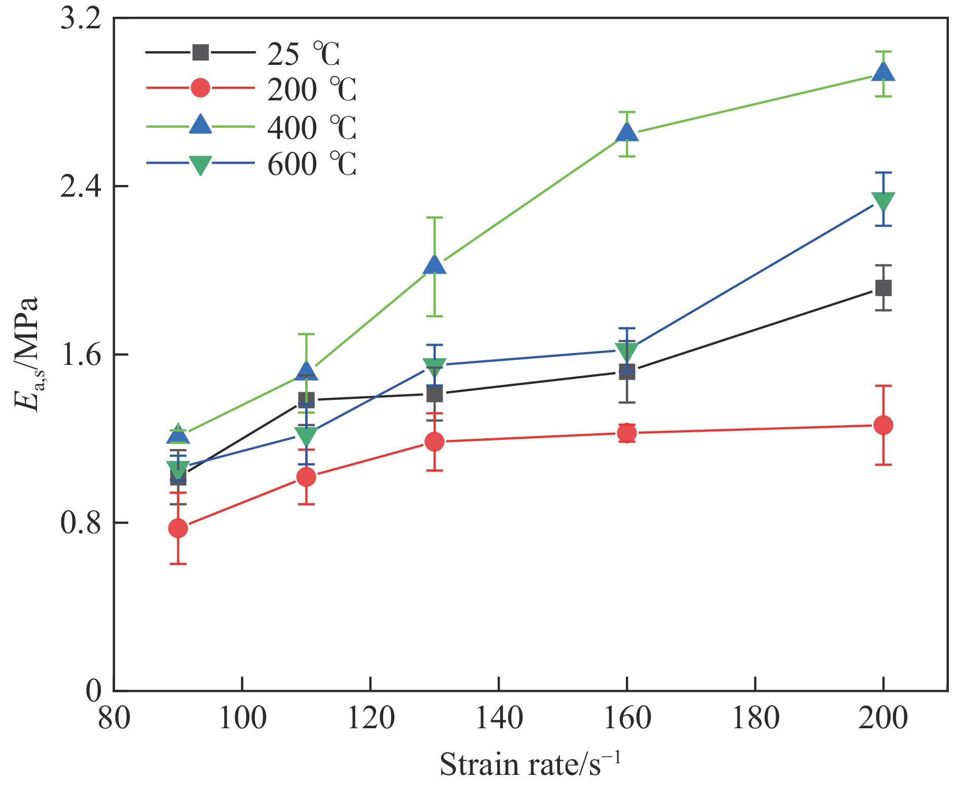
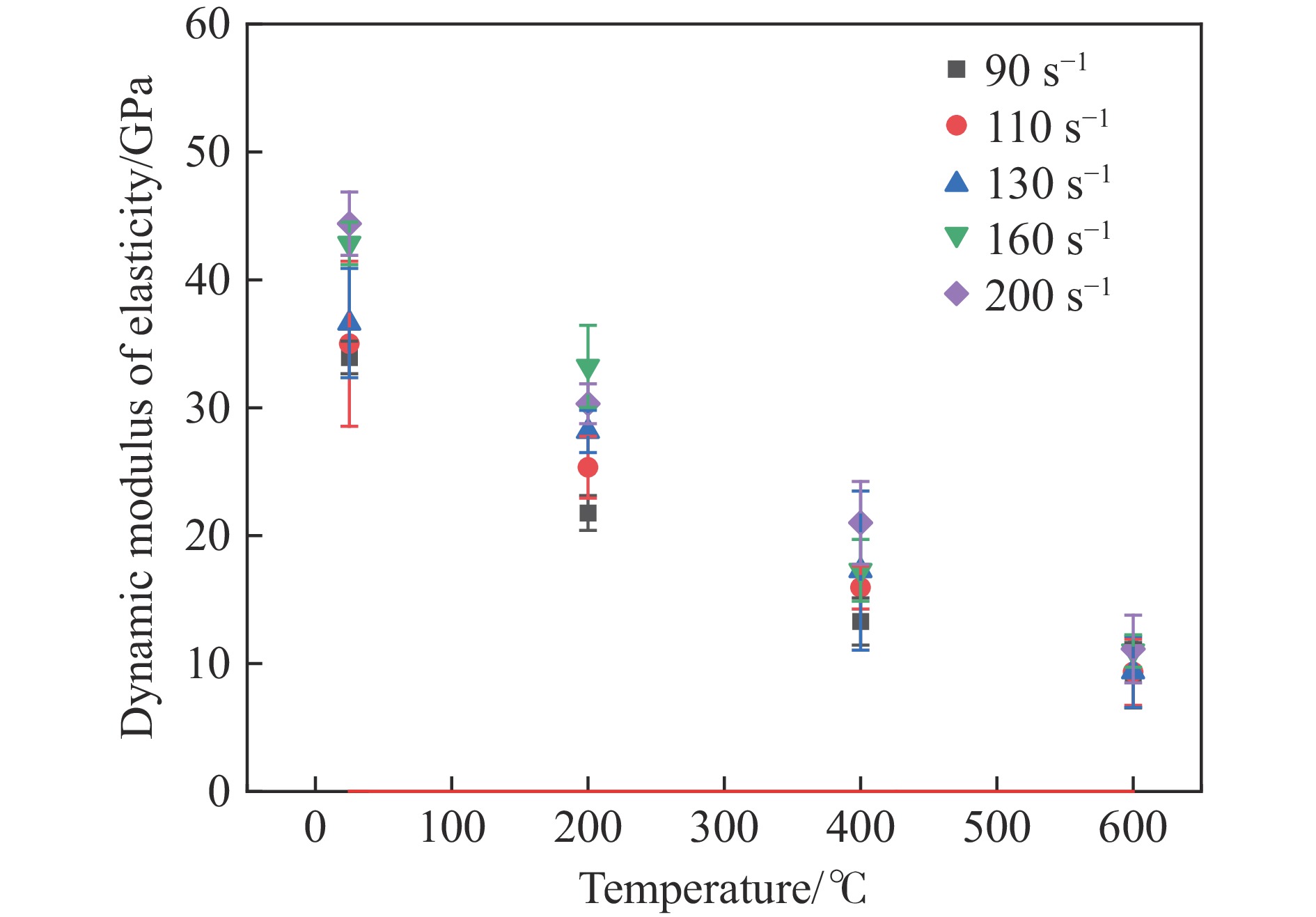
In order to investigate the dynamic mechanical properties of ultra-high performance concrete (UHPC) under coupled high-temperature and explosive impact effects, a 75 mm-diameter high-temperature split Hopkinson pressure bar (SHPB) apparatus was employed. Uniaxial compression tests were conducted on C140 UHPC specimens in the temperatures ranging from 25 ℃ to 600 ℃ and the strain rate ranging from 90 s−1 to 200 s−1. A systematic analysis was performed on the strength, strain, toughness, stress-strain relationship, and failure modes of the material under the combined condition of high temperature and impact loading. The influence of temperature and strain rate on the dynamic mechanical properties was revealed, and the yield surface of the Holmquist-Johnson-Cook (HJC) constitutive model was modified by incorporating thermal effects. The results indicate that UHPC exhibits a significant strain rate strengthening effect under high-temperature dynamic compression, while elevated temperatures simultaneously degrade its mechanical properties. The evolution of material strain capacity and toughness stems from the synergistic interaction between thermal and strain rate effects. At identical temperatures, increased strain rates exacerbate the damage of UHPC. When temperatures exceed 400 ℃, matrix degradation and steel fiber oxidation cause the material to exhibit overall brittle failure characteristics; however, its local core region remains integrity and retains notable residual load-bearing capacity. The modified HJC yield surface is suitable for describing the dynamic mechanical behavior of this material under coupled high-temperature and impact conditions. These findings provide theoretical foundations and data support for the safety design and evaluation of military and civil protective engineering.
In order to investigate the dynamic mechanical properties of ultra-high performance concrete (UHPC) under coupled high-temperature and explosive impact effects, a 75 mm-diameter high-temperature split Hopkinson pressure bar (SHPB) apparatus was employed. Uniaxial compression tests were conducted on C140 UHPC specimens in the temperatures ranging from 25 ℃ to 600 ℃ and the strain rate ranging from 90 s−1 to 200 s−1. A systematic analysis was performed on the strength, strain, toughness, stress-strain relationship, and failure modes of the material under the combined condition of high temperature and impact loading. The influence of temperature and strain rate on the dynamic mechanical properties was revealed, and the yield surface of the Holmquist-Johnson-Cook (HJC) constitutive model was modified by incorporating thermal effects. The results indicate that UHPC exhibits a significant strain rate strengthening effect under high-temperature dynamic compression, while elevated temperatures simultaneously degrade its mechanical properties. The evolution of material strain capacity and toughness stems from the synergistic interaction between thermal and strain rate effects. At identical temperatures, increased strain rates exacerbate the damage of UHPC. When temperatures exceed 400 ℃, matrix degradation and steel fiber oxidation cause the material to exhibit overall brittle failure characteristics; however, its local core region remains integrity and retains notable residual load-bearing capacity. The modified HJC yield surface is suitable for describing the dynamic mechanical behavior of this material under coupled high-temperature and impact conditions. These findings provide theoretical foundations and data support for the safety design and evaluation of military and civil protective engineering.
2026, 46(2): 023103.
doi: 10.11883/bzycj-2024-0520
Abstract:
Significant structural and layout disparities exist between the blended wing body (BWB) civil aircraft and conventional cylindrical fuselage metal aircraft. These differences render the impact resistance characteristics of the non-circular fuselage structure and the injury mechanisms for occupants unclear. To address this, a 460-seat BWB aircraft model was developed based on the pultruded rod stitched efficient unitized structure (PRSEUS) proposed by the National Aeronautics and Space Administration (NASA). The aircraft features a wingspan of 80 meters, a range of approximately 16,000 km, a cruising Mach number of 0.85, and a cruising altitude of 11 000 m. Three typical loading conditions were employed to evaluate the strength and stiffness of the BWB structure: critical maneuvering loads (2.5g positive overload and −1.0g negative overload) and cabin pressurization loads (double the cabin pressurization load). Through iterative structural design optimization, the model was confirmed to meet these typical loading requirements while demonstrating sufficient safety margins. The model incorporated all major structural components of the BWB configuration, including skin, frames, stringers, cargo floor, cabin floor, support columns, and fuselage ribs. In the finite element modeling process, elements with minimal influence on the crash response were reasonably simplified to reduce computational complexity. For instance, the outer wings and engines were simplified as concentrated mass points, and the cabin seats and passengers were modeled as concentrated masses fixed to the seat rails. The primary structural components, such as the skin, stringers, floor, and floor beams, were constructed from AS4 carbon fiber composite laminates and modeled using shell elements. The pultruded rods were made of AS4 carbon fiber composite and modeled using beam elements. The foam core of the frames and fuselage ribs were made of Rohacell-110-WF foam material and modeled using solid elements. The remaining structures were made of7075 aluminum alloy and modeled using shell elements. The final model had a total mass of 162.87 tons and consisted of 2 679 991 elements. Five vertical impact velocities ranging from 7.92 to 9.14 m/s were selected to analyze the cabin space integrity, acceleration response of the cabin floor, and the impact characteristics of the primary load-bearing structures. The results indicate that the cabin area of the lift-body fuselage remains largely intact under the different impact velocities. The primary damage occurs below the cabin floor, with compressive damage concentrated in the lower structures of the middle and aft fuselage. The survivable space is preserved. Compared to a round-section fuselage, the deformation of the BWB frames is relatively small, and upward bulging is not significant, making it challenging to form effective plastic hinges. During the crash, the acceleration load distribution of the blended wing body-integrated aircraft exhibits a decreasing trend from the central aisle to the sides of the fuselage, with peak acceleration loads being higher at the central aisle. Under all five crash conditions, passenger injury levels at various cabin positions fall within the serious but acceptable and safe regions. Regarding structural energy absorption, the frames are identified as the primary energy-absorbing structures, followed by the fuselage ribs. However, the cargo pillars do not effectively crush and absorb energy. For future crashworthiness design of BWB civil aircraft, the cargo structure should be a key consideration.
Significant structural and layout disparities exist between the blended wing body (BWB) civil aircraft and conventional cylindrical fuselage metal aircraft. These differences render the impact resistance characteristics of the non-circular fuselage structure and the injury mechanisms for occupants unclear. To address this, a 460-seat BWB aircraft model was developed based on the pultruded rod stitched efficient unitized structure (PRSEUS) proposed by the National Aeronautics and Space Administration (NASA). The aircraft features a wingspan of 80 meters, a range of approximately 16,000 km, a cruising Mach number of 0.85, and a cruising altitude of 11 000 m. Three typical loading conditions were employed to evaluate the strength and stiffness of the BWB structure: critical maneuvering loads (2.5g positive overload and −1.0g negative overload) and cabin pressurization loads (double the cabin pressurization load). Through iterative structural design optimization, the model was confirmed to meet these typical loading requirements while demonstrating sufficient safety margins. The model incorporated all major structural components of the BWB configuration, including skin, frames, stringers, cargo floor, cabin floor, support columns, and fuselage ribs. In the finite element modeling process, elements with minimal influence on the crash response were reasonably simplified to reduce computational complexity. For instance, the outer wings and engines were simplified as concentrated mass points, and the cabin seats and passengers were modeled as concentrated masses fixed to the seat rails. The primary structural components, such as the skin, stringers, floor, and floor beams, were constructed from AS4 carbon fiber composite laminates and modeled using shell elements. The pultruded rods were made of AS4 carbon fiber composite and modeled using beam elements. The foam core of the frames and fuselage ribs were made of Rohacell-110-WF foam material and modeled using solid elements. The remaining structures were made of
2026, 46(2): 023104.
doi: 10.11883/bzycj-2024-0470
Abstract:
In physics, a “source” denotes the origin of matter or energy, while a “sink” refers to the terminal point of matter or energy. By analogizing with the energy source problem in underground explosions, this study proposes an energy sink problem for ideal fluid cavity annihilation. A detailed analysis is conducted on the energy balance and adjustment mechanisms in the ideal fluid cavity annihilation problem, establishing the relationships among fluid pressure work, energy convergence, transmission and transformation. A characteristic energy factor is introduced to describe the “centripetal convergence” behavior of energy sinks. The characteristic energy factor for energy sinks incorporates the information on converged energy, geometric dimensions of cavities and physical properties of fluids, effectively characterizing the “convergence” behavior of energy sink problems and laying a theoretical foundation for the subsequent research on “energy sink” problems in solids. The physical mechanisms and mathematical foundations of the characteristic energy factor are analyzed, and its characteristics and advantages are expounded. Specifically, the introduction of the characteristic energy factor circumvents the need for complex stress-strain relationships, boundary conditions, and unknown internal material structures in traditional continuum mechanics, significantly simplifying the complexity of the problem. The characteristic energy factor is primarily applicable to the predictions of engineering disasters with large scales or well-defined failure zones (e.g., underground explosions, large-scale surrounding rock deformation, zonal disintegration or pendulum waves, and shear-slip rock bursts in ore pillars), whereas its applicability to highly localized engineering disasters with unknown failure zones (e.g., strain-type rock bursts) requires further investigation.
In physics, a “source” denotes the origin of matter or energy, while a “sink” refers to the terminal point of matter or energy. By analogizing with the energy source problem in underground explosions, this study proposes an energy sink problem for ideal fluid cavity annihilation. A detailed analysis is conducted on the energy balance and adjustment mechanisms in the ideal fluid cavity annihilation problem, establishing the relationships among fluid pressure work, energy convergence, transmission and transformation. A characteristic energy factor is introduced to describe the “centripetal convergence” behavior of energy sinks. The characteristic energy factor for energy sinks incorporates the information on converged energy, geometric dimensions of cavities and physical properties of fluids, effectively characterizing the “convergence” behavior of energy sink problems and laying a theoretical foundation for the subsequent research on “energy sink” problems in solids. The physical mechanisms and mathematical foundations of the characteristic energy factor are analyzed, and its characteristics and advantages are expounded. Specifically, the introduction of the characteristic energy factor circumvents the need for complex stress-strain relationships, boundary conditions, and unknown internal material structures in traditional continuum mechanics, significantly simplifying the complexity of the problem. The characteristic energy factor is primarily applicable to the predictions of engineering disasters with large scales or well-defined failure zones (e.g., underground explosions, large-scale surrounding rock deformation, zonal disintegration or pendulum waves, and shear-slip rock bursts in ore pillars), whereas its applicability to highly localized engineering disasters with unknown failure zones (e.g., strain-type rock bursts) requires further investigation.
2026, 46(2): 023105.
doi: 10.11883/bzycj-2025-0175
Abstract:
To investigate the shear-enhanced compaction effect and strain-rate effect on the equation of state (EoS) of concrete-like materials subjected to blast and impact loadings, high-fidelity numerical simulations were performed based on two types of EoS behavior tests for cement mortar, including hydrostatic compression tests and flyer-plate impact tests. These simulations employed the Kong-Fang hydro-elasto-plastic model for concrete-like materials and were implemented using the smoothed particle Galerkin (SPG) algorithm in LS-DYNA, enabling accurate reproduction of complex dynamic mechanical behaviors, including the shear-enhanced compaction effect and strain-rate effect. Based on the high-fidelity numerical simulations described above, a quantitative analysis was conducted to investigate the influence of the shear-enhanced compaction effect and strain-rate effect on EoS behavior of concrete-like materials, and the challenges associated with eliminating the shear-enhanced compaction and strain-rate coupling effects in flyer-plate impact tests were systematically identified. The results demonstrate that the Kong-Fang model, when combined with the SPG algorithm, can accurately simulate the complex dynamic mechanical behaviors of concrete-like materials, including shear-enhanced compaction effect and strain-rate effect. To achieve high-precision simulation of dynamic mechanical behaviors of concrete-like materials subjected to blast and impact loadings across high-medium-low pressure ranges, it is essential to establish an EoS with a wide-range pressure based on experimental data from EoS behavior tests. However, shear-enhanced compaction and strain-rate coupling effects should be eliminated when using flyer-plate impact test data to calibrate the EoS parameters. A paradox arises in the establishment of EoS with wide-range pressure for concrete-like materials, and the application of numerical iteration correction methodology may represent an effective approach to resolving this challenge. These findings provide a theoretical foundation for the future development of a numerical iteration correction methodology to eliminate the shear-enhanced compaction effect and strain-rate effect on the EoS of concrete-like materials, thereby facilitating the establishment of a high-precision EoS with a wide range of pressure for concrete-like materials subjected to impact and blast loadings.
To investigate the shear-enhanced compaction effect and strain-rate effect on the equation of state (EoS) of concrete-like materials subjected to blast and impact loadings, high-fidelity numerical simulations were performed based on two types of EoS behavior tests for cement mortar, including hydrostatic compression tests and flyer-plate impact tests. These simulations employed the Kong-Fang hydro-elasto-plastic model for concrete-like materials and were implemented using the smoothed particle Galerkin (SPG) algorithm in LS-DYNA, enabling accurate reproduction of complex dynamic mechanical behaviors, including the shear-enhanced compaction effect and strain-rate effect. Based on the high-fidelity numerical simulations described above, a quantitative analysis was conducted to investigate the influence of the shear-enhanced compaction effect and strain-rate effect on EoS behavior of concrete-like materials, and the challenges associated with eliminating the shear-enhanced compaction and strain-rate coupling effects in flyer-plate impact tests were systematically identified. The results demonstrate that the Kong-Fang model, when combined with the SPG algorithm, can accurately simulate the complex dynamic mechanical behaviors of concrete-like materials, including shear-enhanced compaction effect and strain-rate effect. To achieve high-precision simulation of dynamic mechanical behaviors of concrete-like materials subjected to blast and impact loadings across high-medium-low pressure ranges, it is essential to establish an EoS with a wide-range pressure based on experimental data from EoS behavior tests. However, shear-enhanced compaction and strain-rate coupling effects should be eliminated when using flyer-plate impact test data to calibrate the EoS parameters. A paradox arises in the establishment of EoS with wide-range pressure for concrete-like materials, and the application of numerical iteration correction methodology may represent an effective approach to resolving this challenge. These findings provide a theoretical foundation for the future development of a numerical iteration correction methodology to eliminate the shear-enhanced compaction effect and strain-rate effect on the EoS of concrete-like materials, thereby facilitating the establishment of a high-precision EoS with a wide range of pressure for concrete-like materials subjected to impact and blast loadings.
2026, 46(2): 023201.
doi: 10.11883/bzycj-2024-0497
Abstract:
Layered composite rock masses are widely found in mining, tunnel excavation, and slope stabilization engineering, representing a common geological structure in nature. Due to their formation conditions, the internal strength of layered composite rock masses often exhibits gradient variations. This study simulates layered composite rock masses using epoxy resin materials and employs a dynamic photoelasticity-digital image correlation integrated experimental system to conduct a visualized, detailed analysis of the propagation process of explosive stress waves in gradient media. To investigate the attenuation patterns and energy flux density evolution of explosive stress waves under both forward and reverse gradient conditions. By comparing the dynamic photoelastic stripe patterns, the study visually analyzes the transmission and reflection characteristics under different propagation paths, and uses digital image correlation to quantitatively assess the differences in the attenuation rates of explosive stress waves. The results indicate that the fringe order of the explosive stress wave remains unchanged in the forward propagation path, with significant reflection at the joint surface. In the reverse propagation path, the fringe order exhibits a decaying pattern, and the dynamic photoelastic fringes maintain good continuity at the joint surface. The explosive stress wave demonstrates better penetration in reverse gradient media. Changes in joints and materials within gradient media alter the rate of horizontal stress attenuation, with faster attenuation observed in positive gradient media. By introducing the Poynting vector to compare energy flux density, it was found that energy flux density decays faster in positive gradient materials at the same measurement points, and the propagation of explosive stress waves in positive gradient materials exhibits an energy-absorbing process.
Layered composite rock masses are widely found in mining, tunnel excavation, and slope stabilization engineering, representing a common geological structure in nature. Due to their formation conditions, the internal strength of layered composite rock masses often exhibits gradient variations. This study simulates layered composite rock masses using epoxy resin materials and employs a dynamic photoelasticity-digital image correlation integrated experimental system to conduct a visualized, detailed analysis of the propagation process of explosive stress waves in gradient media. To investigate the attenuation patterns and energy flux density evolution of explosive stress waves under both forward and reverse gradient conditions. By comparing the dynamic photoelastic stripe patterns, the study visually analyzes the transmission and reflection characteristics under different propagation paths, and uses digital image correlation to quantitatively assess the differences in the attenuation rates of explosive stress waves. The results indicate that the fringe order of the explosive stress wave remains unchanged in the forward propagation path, with significant reflection at the joint surface. In the reverse propagation path, the fringe order exhibits a decaying pattern, and the dynamic photoelastic fringes maintain good continuity at the joint surface. The explosive stress wave demonstrates better penetration in reverse gradient media. Changes in joints and materials within gradient media alter the rate of horizontal stress attenuation, with faster attenuation observed in positive gradient media. By introducing the Poynting vector to compare energy flux density, it was found that energy flux density decays faster in positive gradient materials at the same measurement points, and the propagation of explosive stress waves in positive gradient materials exhibits an energy-absorbing process.


PDF
Cited by
Read OL